Contare e sommare In quante regioni diviso il

  • Slides: 78
Download presentation
Contare e sommare

Contare e sommare

In quante regioni è diviso il piano ?

In quante regioni è diviso il piano ?

1

1

2 1

2 1

2 4 1 3

2 4 1 3

2 4 1 3 7 6 5

2 4 1 3 7 6 5

2 4 1 11 3 7 6 5 9 8 10

2 4 1 11 3 7 6 5 9 8 10

n=0 1 n=1 1 + 1 n=2 1 + 2 n=3 1 + 2

n=0 1 n=1 1 + 1 n=2 1 + 2 n=3 1 + 2 + 3 n=4 1 + 2 + 3 + 4

Quante rette sono necessarie per separare le facce?

Quante rette sono necessarie per separare le facce?

Digressione : Data Mining negative data positive data training set

Digressione : Data Mining negative data positive data training set

training set negative data positive data

training set negative data positive data

training set negative data positive data

training set negative data positive data

fine digressione

fine digressione

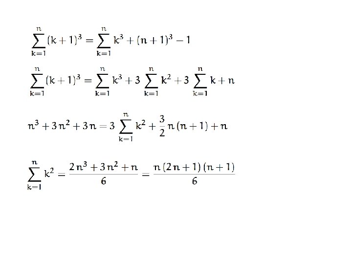
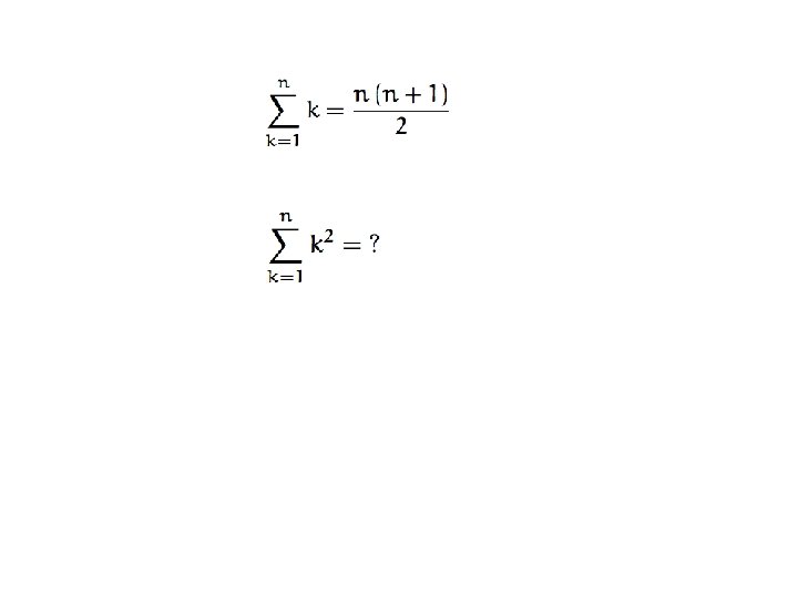
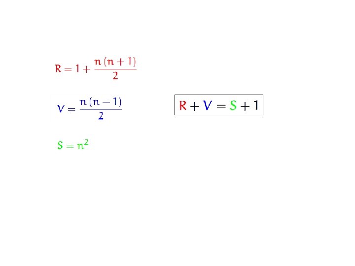
Contiamo anche i vertici e i segmenti

Contiamo anche i vertici e i segmenti

1 V S R 0 0 1

1 V S R 0 0 1

2 1 V S R 0 0 0 1 1 2

2 1 V S R 0 0 0 1 1 2

2 4 1 2 1 4 3 3 V S R 0 0 1

2 4 1 2 1 4 3 3 V S R 0 0 1 4 1 2 4

2 4 1 2 1 4 3 5 6 5 8 3 7 7

2 4 1 2 1 4 3 5 6 5 8 3 7 7 6 9 V S R 0 0 1 3 0 1 4 9 1 2 4 7

2 4 1 2 16 1 4 3 5 8 3 7 9 7

2 4 1 2 16 1 4 3 5 8 3 7 9 7 13 14 6 6 5 12 9 10 8 11 11 15 V S R 0 0 1 3 6 0 1 4 9 16 1 2 4 7 11 10

2 4 1 2 16 1 4 3 8 3 13 5 7 9

2 4 1 2 16 1 4 3 8 3 13 5 7 9 14 6 6 5 12 9 10 8 11 11 15 10

2 4 1 2 16 1 4 5 6 12 8 10 11 3

2 4 1 2 16 1 4 5 6 12 8 10 11 3 8 3 7 6 5 15 9 11 10 13 14 9

2 2 1 4 11 3 10 6 5 8 9

2 2 1 4 11 3 10 6 5 8 9

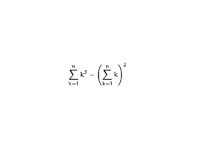
PRIMO METODO

PRIMO METODO

SECONDO METODO

SECONDO METODO

1 2 3 4 2 4 6 8 10 12 3 6 9 4

1 2 3 4 2 4 6 8 10 12 3 6 9 4 8 12 5 10 15 6 12 18 12 16 20 24 5 15 20 25 30 6 18 24 30 36

1 2 3 4 2 4 6 8 10 12 3 6 9 4

1 2 3 4 2 4 6 8 10 12 3 6 9 4 8 12 5 10 15 6 12 18 12 16 20 24 5 15 20 25 30 6 18 24 30 36

1 2 3 4 2 4 6 8 10 12 3 6 9 4

1 2 3 4 2 4 6 8 10 12 3 6 9 4 8 12 5 10 15 6 12 18 12 16 20 24 5 15 20 25 30 6 18 24 30 36

1 2 3 4 2 4 6 8 10 12 3 6 9 4

1 2 3 4 2 4 6 8 10 12 3 6 9 4 8 12 5 10 15 6 12 18 12 16 20 24 5 15 20 25 30 6 18 24 30 36

1 2 3 4 2 4 6 8 10 12 3 6 9 4

1 2 3 4 2 4 6 8 10 12 3 6 9 4 8 12 5 10 15 6 12 18 12 16 20 24 5 15 20 25 30 6 18 24 30 36

1 2 3 4 2 4 6 8 10 12 3 6 9 4

1 2 3 4 2 4 6 8 10 12 3 6 9 4 8 12 5 10 15 6 12 18 12 16 20 24 5 15 20 25 30 6 18 24 30 36

1 2 3 4 2 4 6 8 10 12 3 6 9 4

1 2 3 4 2 4 6 8 10 12 3 6 9 4 8 12 5 10 15 6 12 18 12 16 20 24 5 15 20 25 30 6 18 24 30 36

1 2 3 4 2 4 6 8 10 12 3 6 9 4

1 2 3 4 2 4 6 8 10 12 3 6 9 4 8 12 5 10 15 6 12 18 12 16 20 24 5 15 20 25 30 6 18 24 30 36

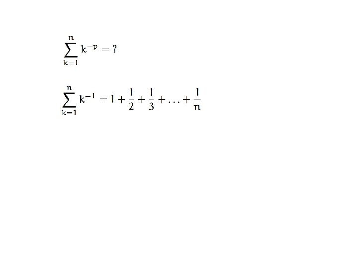
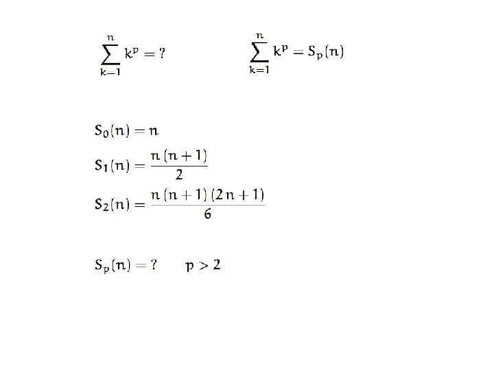
numeri armonici

numeri armonici

costante di Eulero - Mascheroni

costante di Eulero - Mascheroni

10 cm 1 cm ? 1 m 123 metri e 67 centimetri 83 centimetri

10 cm 1 cm ? 1 m 123 metri e 67 centimetri 83 centimetri

idea di Eulero zeri della funzione in fattorizzazione

idea di Eulero zeri della funzione in fattorizzazione

INTERI 0 1 2 3 4 5 6 2 PRIMI 3 45 5 7

INTERI 0 1 2 3 4 5 6 2 PRIMI 3 45 5 7 11 13 FATTORIZZAZIONE DI UN INTERO IN PRIMI

INTERI 0 1 2 3 4 5 6 2 PRIMI 3 150 5 7

INTERI 0 1 2 3 4 5 6 2 PRIMI 3 150 5 7 11 13 FATTORIZZAZIONE DI UN INTERO IN PRIMI

45 = però i termini divergono …. 150

45 = però i termini divergono …. 150

= identità di Eulero serie armonica! i termini divergono ancora…. funzione di Riemann

= identità di Eulero serie armonica! i termini divergono ancora…. funzione di Riemann

probabilità che un numero a caso non sia divisibile per un numero p 1

probabilità che un numero a caso non sia divisibile per un numero p 1 p 2 p 3 p 4 p 5 p due numeri a caso entrambi divisibili per p uno divisibile per p e l’altro no nessuno divisibile per p non hanno p come fattore comune

probabilità che due numeri scelti a caso non abbiano p come fattore comune probabilità

probabilità che due numeri scelti a caso non abbiano p come fattore comune probabilità che due numeri scelti a caso siano coprimi simulazione: 100. 000 numeri a caso fra 1 e un miliardo: 60868 coprimi

n=1 -> 3. 08007, n=2 -> 3. 12711, n=3 -> 3. 13615, n=4 ->

n=1 -> 3. 08007, n=2 -> 3. 12711, n=3 -> 3. 13615, n=4 -> 3. 139, n=5 -> 3. 14016, n=6 -> 3. 14072, n=7 -> 3. 14102, n=8 -> 3. 1412 n=1 -> 3. 13017, n=2 -> 3. 13991, n=3 -> 3. 14116, n=4 -> 3. 14149, n=5 -> 3. 14154, n=6 -> 3. 14157, n=7 -> 3. 14158, n=8 -> 3. 14159