Consideraes de Energia energia dissipada na forma de



































- Slides: 35
Considerações de Energia energia dissipada na forma de calor pelo atrito!
Movimento Harmônico Forçado — Ressonância A solução da equação diferencial linear acima é dada pela soma de duas partes, a primeira parte sendo a solução da equação diferencial homogênea resolvida na Seção precedente e a segunda parte sendo qualquer solução particular. Como vimos, a solução da equação homogênea representa uma oscilação que eventualmente decai.
Tentaremos uma solução da forma Se esta função tentativa for correta teremos f a diferença de fase ou ângulo de fase (q-q’) Dividindo a segunda equação pela primeira e usando a identidade Elevando-se ao quadrado as Equações somando e lembrando a identidade
Se: Então:
Fator de qualidade:
Análogos Elétrico-Mecânicos
Movimento sob a ação de uma Força Periódica não Senoidal
Movimento Geral de uma Partícula em Três Dimensões Momentum Linear
Momentum Angular D(r x p) p’ r’ N r p Dp
O Princípio do Trabalho
Forças Conservativas e Campos de Forças F dr Quando a força F for uma função das coordenadas de posição apenas, dizemos que ela define um campo de forças estático. Quando a integral independe do caminho este é um campo conservativo.
A Função Energia Potencial para o Movimento Tridimensional forças não conservativas
Gradiente e o Operador Del em Mecânica
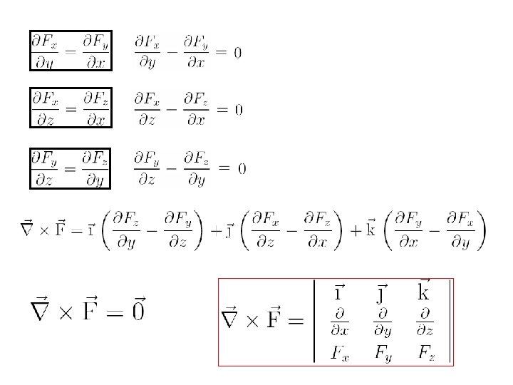
Condições para a Existência de uma Função Potencial
Coordenadas cilíndricas Gradiente Rotacional Divergência
Coordenadas cilíndricas Gradiente Rotacional Divergência
Forças do Tipo Separável Integração fácil!
Movimento de um Projétil em um Campo Gravitacional Uniforme z Sem Resistência do Ar v 0 g separável => conservativa
dividindo contida em um plano parábola z y x
Resistência do Ar Linear
Plano y=bx t=>∞
O Oscilador Harmônico em duas e três dimensões
O oscilador bi-dimensional
B -A f A -B caso geral
O Oscilador Harmônico Tri-dimensional
Oscilador não Isotrópico
Movimento de Partículas Carregadas em Campos Elétricos e Magnéticos Exemplo: Ex = Ey = 0, e E = Ez.
Exemplo:
d/dt
z B a v 0 x b A y
O Pêndulo Simples y Ty x Tx mg Não é o melhor referencial para tratar o problema, pois existe aceleração em x e y!
O Pêndulo Simples Deduzindo pela energia potencial: q l S P O nq e s g m mg q
Esta apresentação foi desenvolvida por Gustavo de Almeida Magalhães Sáfar no Departamento de Física do Instituto de Ciências Exatas da Universidade Federal de Minas Gerais.