CONSERVAREA ENERGIEI PROBLEME REZOLVATE Lansm un corp pe
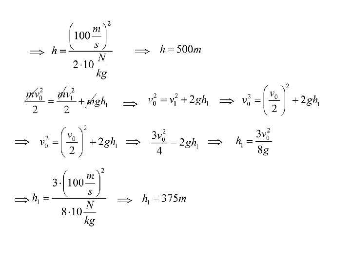
CONSERVAREA ENERGIEI. PROBLEME REZOLVATE Lansăm un corp , pe verticală, în sus, cu viteza v 0=100 m/s. Care este înălţimea la care ajunge corpul? La ce înălţime viteza corpului devine jumătate din viteza iniţială? (g=10 N/kg) C B h h 1 A
Un corp cu masa m se află pe un plan înclinat cu unghiul de 300 si lungime l=1 km. Dăm drumul corpului să se mişte din vârful planului. Neglijând frecarea, să se calculeze viteza cu care corpul ajunge la baza planului (g=10 m/s 2). A h l 300 B
O bilă cu masa m începe să coboare o panta cu înălţimea de 2 m cu viteza iniţială de 3 m/s. a) Cu ce viteză ajunge jos la baza planului? b) Dacă întâlneşte o nouă pantă, până la ce înălţime va urca? (se neglijează frecarea , g=10 N/kg) C A h v v 02 B A: B: C: H
Un mobil cu masa m se mişcă liber pe un suport orizontal. Să se calculeze forţa de frecare ce acţionează asupra mobilului dacă pe distanţa Δd=5 m, viteza lui scade de la v 0=25 m/s la v=5 m/s. Ff v 0 Ff Δd v
La fuziunea unui kg de He se produce o energie de 6, 6 x 1014 J. a) În cât timp o hidrocentrală cu puterea de 220 Mw ar produce această energie. b) Ce volum de apă ar trebui să cadă dacă înălţimea barajului este de 100 m. (Gazeta de fizică-chimie, Nr. 2/1977) (legea conservării energiei-energia E se provine din energia obţinută prin caderea apei de la înălţimea h)
De la înălţimea h=9, 8 m se lansează în sus şi în jos câte un corp cu viteza iniţială de 4, 9 m/s. a) Să se afle cu ce viteză ajung corpurile la suprafaţa pământului. b) La ce înălţime maximă ajunge primul corp.
Un corp elastic cade de la înălţimea de 100 m. În urma cocnirii cu solul, corpul pierde 20% din energia sa. Neglijând frecarea cu aerul să se calculeze: a) viteza corpului, în timpul urcării, după prima ciocnire cu solul, la înălţimea de 50 m; b) înălţimea maximă atinsă după a doua cicnire cu solul(g=10 N/kg). (Gazeta de fizică-chimie, Nr. 6/1986) (înainte de prima ciocnire) (după de prima ciocnire)
După 2 cicniri cu solul: La înălţimea maximă h, corpul se opreşte:
Un corp este aruncat cu viteza v 0=16 m/s vertical în sus. La ce înălţime energia sa cinetică este egală cu cea potenţială? La ce înălţime maximă ajunge corpul? (PROBLEME DE FIZICĂ pentru clasele IX-X, A. Hristev, D. Borşan, D. Manda, M. Sandu, l. Georgescu, N. Gherbanovschi, EDP-Bucureşti, 1983) În punctul B:
Un corp este aruncat pe verticală în sus de la suprafața Pământului cu o viteza v 0=20 m/s. Care este înălțimea maximă la care se ridică corpul și în cât timp atinge acesta înălțime? (g=10 N/kg) ( Probleme de fizica date la examene, A. Hristev, Ed. Tehnica, Bucuresti, 1984) (în timpul urcării viteza este încetinită până la zero)
O praştie lansează o piatră de jos în sus, de la nivelul solului. Piatra are masa m=20 g şi viteza iniţială v 0=8 m/s. Se consideră g=10 N/kg. Se cere: a) înălţimea maximă la care ajunge piatra; b) energia potenţială a sistemului piatră-Pământ, la înălţimea h=1, 6 m; c) energia cinetica a pietrei , la h=1, 6 m; d) energia potentiala maxima de deformare a elasticului prastiei. ( Fizică-400 de probleme şi 40 de teste grilă pentru elevii claselor VI-VIII-D. Bacrău -Ed. Corint-Bucureşti 2003) Sistemul piatră-Pământ este izolat. Energia mecanică se conservă. În B viteza este egală co zero:
Se aplică legea conservării energiei.
Pentru a ridica un corp cu masa m=2 kg la înălţimea h=1 m se acţionează o forţă F=85 N. Se cere: a) lucrul mecanic pentru ridicarea corpului; b) energia potenţială a corpului ridicat ; c) viteza cu care ajunge corpul la înălţimea h.
Un corp alunecă pe un plan înclinat de unghi α=450 , iniţial fiind în repaus. După ce parcurge o distanţa d=0, 36 m, corpul capătă viteza v=2 m/s. Care este coeficientul de frecare? (Probleme de fizică pentru clasele IX-X-D. Manda, M. sandu, L. Georgescu, N. Gherbanovschi-EDP, Bucureşti, 1983) (triunghiuri asemenea) (b=h – triunghi dreptunghic isoscel)
Ce lungime l trebuie să aibă un plan înclinat, de pantă p=0, 04, pentru ca viteza atinsă la baza planului de un corp care alunecă liber în jos, iniţial fiind în repaus, să fie v=4 m/s? Coeficientul de frecare la alunecare este μ=0, 02. Se dă: p=h/l, iar g=10 N/kg. (Probleme de fizică pentru clasele IX-X-D. Manda, M. sandu, L. Georgescu, N. Gherbanovschi-EDP, Bucureşti, 1983) Ff Gn G Gt a
Un cub de lemn de latura l=10 cm, este străpuns de jos în sus de un glonţ de masă m=10 g, care viteza v 0=100 m/s la intrare şi v=95 m/s la ieşire din cub. Ce forţa se va exercita asupra cubului? (PROBLEME DE FIZICĂ pentru clasele IX-X, A. Hristev, D. Borşan, D. Manda, M. Sandu, l. Georgescu, N. Gherbanovschi, EDP-Bucureşti, 1983) Se aplică legea acţiunii şi reacţiunii:
Un automobil merge cu viteza v 0=72 km/h. Înainte de obstacol şoferul frânează astfel încât roţile patinează. Ştiind coeficientul de frecare la alunecare μ=0, 2, să se afle distanţa de frânare. (g=10 N/kg) (PROBLEME DE FIZICĂ pentru clasele IX-X, A. Hristev, D. Borşan, D. Manda, M. Sandu, l. Georgescu, N. Gherbanovschi, EDP-Bucureşti, 1983) Se aplică legea conservării energiei:
Un corp cu masa m=40 kg, este suspendat ca în figură. Să se afle: a) Forțele ce se exercită datorită greutății corpului de masă m în bara BC și cablul AB, dacă AB=0, 3 și AC=0, 4 m; b) Timpul în care corpul ajunge la sol și viteza cu care atinge solul în ipoteza că firul de susținere se rupe sub efectul greutății iar înălțimea la care se află corpul față de sol este h=10 m; c) Înalțimea față de sol la care energia cinetică a corpului în cădere liberă este egală cu un sfert din energia lui potențialî în acel moment, măsurată față de sol. (g=10 N/kg) ( Probleme de fizica date la examene, A. Hristev, Ed. Tehnica, Bucuresti, 1984) (triunghiuri cu laturi paralele)
( în timpul coborârii viteza este crescătoare )
Dintr-un turn cu înălțimea h=50 m, un corp este aruncat vertical în sus cu viteza inițială v 0=25 m/s. Neglijând frecarea cu aerul și considerând accelerația gravitațională g=10 N/kg , se cere: a) Înălțimea maximă H la care se ridică corpul; b) Viteza vc cu care corpul atinge pământul. c) Timpul tc la care corpul atinge pământul; (Probleme de fizică date la examene, Hristev A, Ed. Tehnică, București, 1984)
(la urcare viteza scade de la v 0 la 0)
(la coborâre viteza crește de la 0 la vc)
(Probleme de fizică date la examene, Hristev A, Ed. Tehnică, București, 1984)
- Slides: 31