COMPUESTOS NITROGENADOS AMINAS Son compuestos nitrogenados derivados del




































- Slides: 36
COMPUESTOS NITROGENADOS. AMINAS: Son compuestos nitrogenados derivados del amoniaco.
• Los compuestos de nitrógeno se encuentran en : aminoácidos, péptidos, proteínas, material genético (ADN, ARN), hormonas, vitaminas y neurotransmisores
• Producen efectos fisiológicos muy variados : Estimulación del sistema nervioso central (Nicotina), anfetaminas
• La benzocaína, tetracaína, xilocaína, procaína son anestésicos locales tipo amina.
• Los barbitúricos deprimen la actividad del SNC (compuestos con acción hipnótica y sedante) tienen grupo amino
Por el número de radicales pueden ser: Pueden representarse así: RNH 2 R 2 NH y R 3 N
Estructura Nombre R-NH 2 Aminas primarias R-NH-R' Aminas secundarias RNR'R'' Aminas terciarias
NOMENCLATURA: Común: • Se nombran especificando los grupos alquilo y añadiendo el sufijo AMINA. • Cuando hay grupos idénticos se usa di o tri.
• Cuando hay grupos distintos se mencionan en orden alfabetico: CH 3 NHCH 2 CH 3 etilmetilamina Ej. Haga la estructura de la propilamina, dietilamina, Etilmetilpropilamina
UIQPA: • Identifique y numere la cadena más larga dando prioridad al grupo amina • Coloque la posición del grupo amino • Designe y ubique todos los demás grupos con prefijos. • Ej: Haga la estructura del 2 -etil-4 -metil-1 heptanamina
• En el caso de encontrarse un grupo –OH o un grupo carbonilo o carboxilo, el grupo amino se nombra como un sustituyente. Ej. Haga la estructura del: • 2 -aminobutanal
• La amina aromática base es la ANILINA – Ej. Haga la estructura de: 2 -cloroanilina
Aminas heterocíclicas • Pirrol: Imidazol:
PROPIEDADES FISICAS: • Las aminas más pequeñas son similares al amoníaco en cuanto a basicidad y otras propiedades. • Son moderadamente polares; sus puntos de ebullición son mayores a los de los alcanos pero inferiores a los de los alcoholes.
PROPIEDADES FISICAS: • Las aminas primarias y secundarias forman puentes de hidrógeno entre sí y con el agua. • Las aminas terciarias no forman puentes de hidrógeno entre ellas, pero sí con el agua, su punto de ebullición es menor que las primarias y secundarias de peso molecular semejante
PROPIEDADES FISICAS: • El punto de ebullición y de fusión aumenta a medida que aumenta el peso molecular • Algunos de los productos de la putrefacción son diaminoalcanos y tienen olores muy desagradables y su nombre se debe a su procedencia.
• Ej: • NH 2(CH 2)4 NH 2 putrescina NH 2(CH 2)5 NH 2 cadaverina
PROPIEDADES FISICAS: • Las aminas más pequeñas son solubles. • Mientras más carbonos tienen pierden solubilidad.
PROPIEDADES QUIMICAS: • Basicidad: Son receptoras de protones en solución acuosa producen OH. • CH 3 NH 2 + HOH CH 3 NH 3 OH
Formación de sales: • Tienen capacidad de formar sales al reaccionar con los ácidos. • CH 3 CH 2 NH 2 +HCl CH 3 CH 2 NH 3 Cl Cloruro de etilamonio
• CH 3 NH 2 +HNO 3 CH 3 NO 3 Nitrato de metil amonio • Las sales son sólidos inodoros, no volátiles, solubles en agua, insolubles en compuestos orgánicos. • Ejercicio: Haga la ecuación cuando reacciona etilamina con HCl y diga el nombre del producto
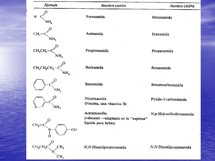
AMIDAS. • Son derivados • nitrogenados de ácidos carboxílicos. El grupo amida está formada por un grupo carbonilo y un grupo amino. O R-C-NH 2
• Las amidas se pueden preparar haciendo reaccionar un ácido carboxílico con amoniaco o una amina. • R-COOH + RNH 2 R-CONHR + H 2 O
Cuando el nitrógeno de la función amida está unido a: • Dos hidrógenos la amida es primaria • Un hidrógeno y a un radical alquilo (R), la amida es secundaria • Dos radicales alquilo la amida es terciaria PRIMARIA SECUNDARIA TERCIARIA
• La sustitución del OH por NH 2 amida • • primaria Ej. R-CO-NH 2 CH 3 -CO-NH 2 Acetamida ó etanamida
• Sustitución del -OH por –NHR amida • • • secundaria. Ej. R-CO-N-RH CH 3 CH 2 -CONH-CH 2 CH 3 IUPAC: N-etilpropanamida COMUN: N-etilpropionamida
• Sustitución del –OH por el NR 2 amida • terciaria R-CO-N-R 2 UIPAC: COMUN: CH 3 -CO-N-(CH 3)2 N, N-dimetiletanamida N, N-dimetilacetamida
• El enlace amida es muy estable y se encuentra en las proteínas, nylon y otros polímeros industriales.
PROPIEDADES FÍSICAS: • Sólo la metanamida es líquida, las demás son sólidas • Pto Fusión: 1° > 2° > 3° • Las amidas disustituídas (3°) no pueden formar puentes de hidrógeno entre sí por lo que tienen puntos de ebullición y fusión más bajos.
• La actividad antibacteriana de las sulfamidas • Algunos medicamentos antidiabéticos son sulfonamidas como: carbutamida, tolbutamida y sulfonamidas
NEUROTRANSMISORES: • Es un compuesto químico que transmite un impulso procedente de una célula nerviosa hacia una célula blanco (otra neurona, célula muscular o glandular).