Complex Numbers the Complex Plane Demoivres Theorem Complex
Complex Numbers, the Complex Plane & Demoivre’s Theorem
Complex Numbers are numbers in the form of where a and b are real numbers and i, the imaginary unit, is defined as follows: And the powers of i are as follows:
The value of in, where n is any number can be found by dividing n by 4 and then dealing only with the remainder. Why? Examples: 1) Then from the chart on the previous slide 2) Then from the chart on the previous slide
In a complex number a is the real part and bi is the imaginary part. When b=0, the complex number is a real number. When a 0, and b 0, as in 5+8 i, the complex number is an imaginary number. When a=0, and b 0, as in 5 i, the complex number is a pure imaginary number.
Lesson Overview 9 -5 A
Lesson Overview 9 -5 B
5 -Minute Check Lesson 9 -6 A
The Complex Plane Imaginary Axis O Real Axis
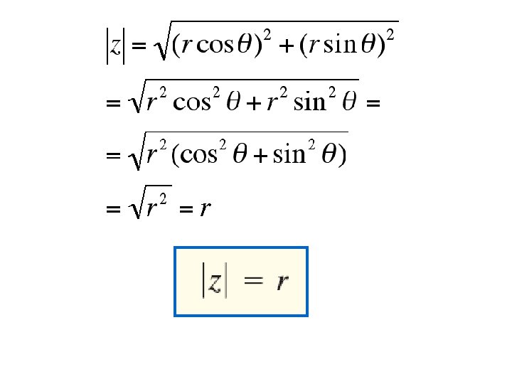
Let be a complex number. The magnitude or modulus of z, denoted by As the distance from the origin to the point (x, y). is defined
Imaginary Axis y |z| O x Real Axis
is sometimes abbreviated as
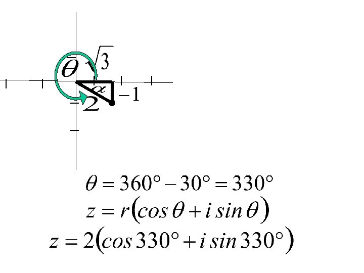
z =-3 + 4 i -3 Imaginary 4 Axis Real Axis
z = -3 + 4 i is in Quadrant II x = -3 and y=4
z =-3 + 4 i 4 Find the reference angle ( ) by solving -3
z =-3 + 4 i 4 -3
Find r:
Imaginary 4 Axis -3 Real Axis
Find the reference angle ( ) by solving
Find the cosine of 330 and substitute the value. Find the sine of 330 and substitute the value. Distribute the r
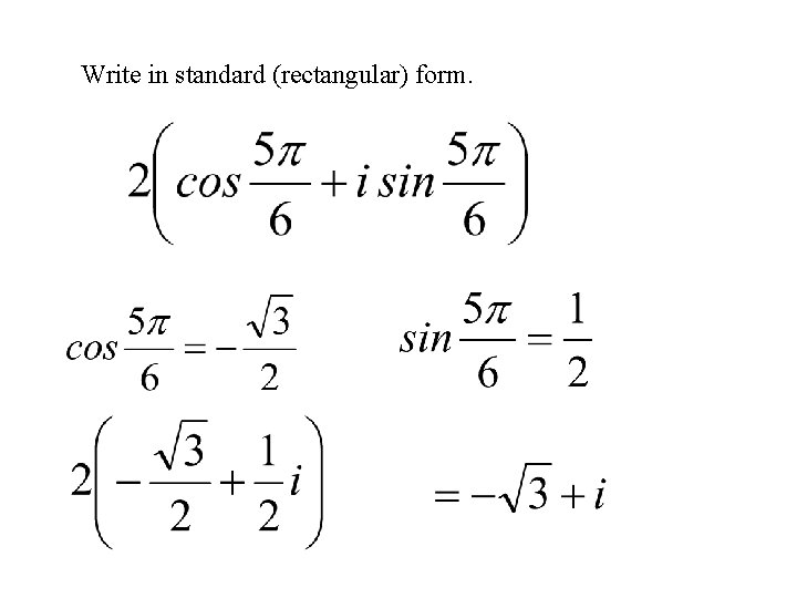
Write in standard (rectangular) form.
Lesson Overview 9 -7 A
Product Theorem
Lesson Overview 9 -7 B
Quotient Theorem
5 -Minute Check Lesson 9 -8 A
5 -Minute Check Lesson 9 -8 B
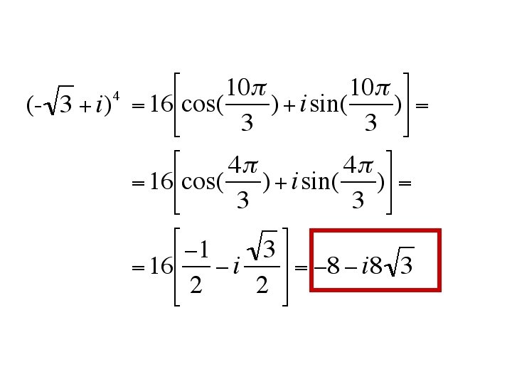
Powers and Roots of Complex Numbers
De. Moivre’s Theorem
What if you wanted to perform the operation below?
Lesson Overview 9 -8 A
Lesson Overview 9 -8 B
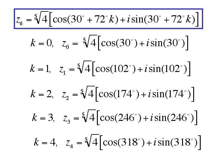
Theorem Finding Complex Roots roots
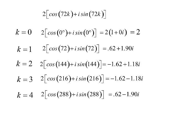
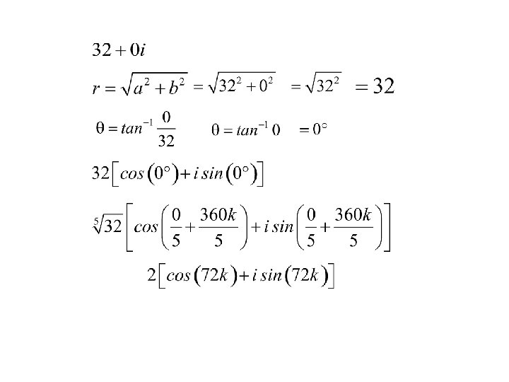
Find the complex fifth roots of The five complex roots are: for k = 0, 1, 2, 3, 4.
The roots of a complex number a cyclical in nature. That is, when the points are plotted on a polar plane or a complex plane, the points are evenly spaced around the origin
Complex Plane
Polar plane
Polar plane
To find the principle root, use De. Moivre’s theorem using rational exponents. That is, to find the principle pth root of Raise it to the power
Example Find First express You may assume it is the principle root you are seeking unless specifically stated otherwise. as a complex number in standard form. Then change to polar form
Since we are looking for the cube root, use De. Moivre’s Theorem and raise it to the power
Example: Find the 4 th root of Change to polar form Apply De. Moivre’s Theorem
- Slides: 54