Complex analysis Chapters 13 16 Complex numbers complex
Complex analysis (Chapters 13 -16) • • Complex numbers, complex functions, differentiation (Chapter 13) Integration on the complex plane (Chapter 14) Power series, radius of convergence, Maclaurin and Taylor series (Chapter 15) Laurent series, singularities, zeros, poles, residues (Chapter 16) • A damped, driven, harmonic oscillator (yes, again…) • The Sokhotski-Plemelj (Weierstrass) formula
The Laurent series (Sec. 16. 1)
Proof of the Laurent series
Proof of the Laurent series, cont’d
Definition of ‘poles’ of order N, simple poles, and essential singularities We have seen this twice before
Definition of ‘zeros’ of order n
Definition of the ‘residue’ of f(z) at z 0 The residue theorem (calculus of residues)
The damped, driven harmonic oscillator
Assume (weak damping)
Term corresponding to the driven component Term corresponding to decay of the eigenoscillations damped by friction
(strong damping)
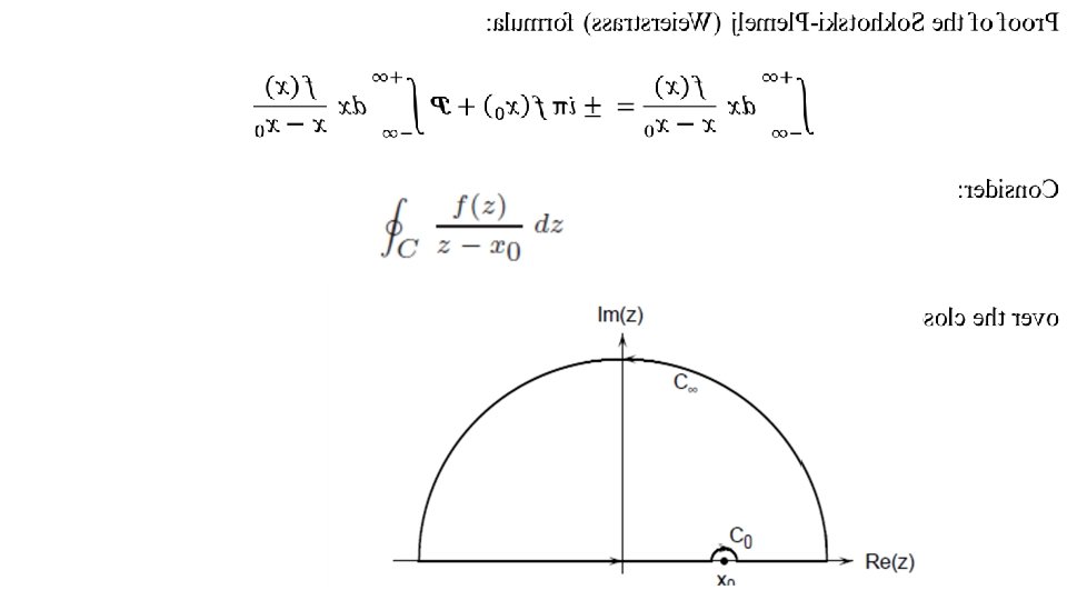
Proof of the Sokhotski-Plemelj (Weierstrass) formula, cont’d: Recall the main result: Write it as:
We have used the definition of the Cauchy principal value of the integral: But the integration along the entire contour is the sum of the integration over the upper semi-circle at infinity and the integral over the real axis: So:
Integrating over a loop in the lower half-plane:
- Slides: 19