Complementos de procesado de la seal y Comunicaciones




































































- Slides: 68
Complementos de procesado de la señal y Comunicaciones Modulación Digital
El Proceso de Comunicación La Comunicación implica la transmisión de información desde un punto hasta otro punto. Fuente de información Receptor Transmisor Canal Información Usuario
Fuentes de Información: - Voz - Fax -Televisión - Ordenadores personales Canales de Comunicación: - Canales telefónicos - Canales móviles de comunicación - Fibra óptica - Satélite Señales en banda base y señales paso banda: -Banda Base: banda de frecuencias de la señal mensaje. Las señales en banda base pueden ser analógicas o digitales. -Paso Banda: Mediante el proceso de modulación la señal se traslada a otra zona de frecuencias más adecuada para que pueda ser transmitida por un canal de comunicación.
El Proceso de Modulación: El proceso de modulación consiste en modificar la señal mensaje para que pueda ser transmitida por un canal. Este proceso se realiza en el dispositivo transmisor Una onda portadora varía alguno se sus parámetros de acuerdo con la señal mensaje. El proceso de demodulación consiste en recuperar la señal mensaja partir de la señal portadora degradada despues de su transmisión por el canal. El proceso se realiza en el dispositivo receptor.
Esquemas de Modulación: Modulación de onda contínua: Una señal sinusoidal se usa como portadora. Modulación en amplitud (AM): La amplitud de la portadora varía con la señal mensaje. Modulación angular: El ángulo de la portadora varía con la señal mensaje. Modulación en frecuencia. Modulación en fase.
Modulación por pulsos analógicos: analógicos La portadora consiste en una secuencia periódica de pulsos rectangulares. Modulación por amplitud de pulsos (PAM) Modulación por duración de pulsos (PDM) Modulación por posición de pulsos (PPM) Modulación por codificación de pulsos: Es esencialmente como PAM pero la amplitud de los pulsos es cuantizada y representada por un patron binario.
Multiplexación: Multiplexación es el concepto de combinar diferentes señales mensaje para su transmisión simultánea sobre un canal. Multiplexación por división en frecuencias (FDM) La modulación de onda contínua se usa para trasladar cada una de las señales mensaje a un rango diferente de frecuencias. Multeplexación por división en el tiempo (TDM) La modulación por pulsos se usa para muestras de diferentes mensajes en intervalos de tiempo no solapados.
Sistema de Comuniación digital Mensaje estimado Mensaje Codificación de la fuente Decodificación Codificación del Canal Decodificación del canal Modulador Demodulador transmisor de la fuente canal Receptor
Transmisión de Pulsos en Banda base Se estudia la transmisión de datos digitales independientemente de que su origen sea digital o analógico. El contenido en frecuencias de los datos digitales se concentra en la zona de bajas frecuencias. La transmisión en banda base de datos digitales requiere el uso de canales paso baja. Los errores en la transmisión se deben principalmente: Ruido debido al canal. Interferencia entre símbolos (ISI) (Un pulso se ve afectado por los pulsos adyacentes.
Transmisión Esquema de transmisión de pulsos en banda base: PAM Filtro transmisor Canal 1 Filtro receptor Ruido blanco Transmisor Canal Receptor Decisión 0
Ruido debido al canal: El pulso transmitido por el canal se ve contaminado por ruido aditivo Señal p(t) + x(t) Filtro LTI h(t) y(T) Muestreo t=T Ruido blanco w(t) El pulso de señal p(t) se contamina por ruido blanco aditivo de media cero y densidad de potencia espectral El receptor debe de detectar el pulso p(t) de una forma óptima dada la señal x(t).
Como el filtro es lineal, la salida del filtro y(t) se puede expresar como: La condición que se exige al filtro es que en el instante t=T , po(T) sea mucho mayor que el ruido. Esto es equivalente a maximizar el cociente: Si P(f) es la transformada de Fourier de la señal y H(f) es la transformada de Fourier del filtro , aplicando la transformación inversa obtenemos:
Para el ruido tenemos: Luego la condición que debe cumplir el filtro es hacer máximo
La respuesta al impulso del filtro Matched es una versión reflejada respecto del tiempo y deplazada del pulso de entrada p(t) k. AAT A 0 T
Probabilidad de error en la detección debido al ruido: Ahora que sabemos que el filtro matched es el detector óptimo de un pulso de forma conocida contaminado por ruido aditivo podemos obtener una expresión para la probabilidad de error en este sistema. La detección se basa en muestrear los pulsos en su máximo y compararlos con un nivel para determinar su valor.
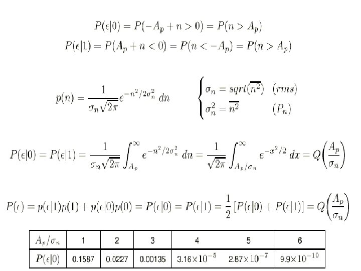
Estudiamos la probabilidad de error para las distintas codificaciones de línea de uns istema binario PCM: Codificación Polar: Un 1 se transmite como p(t) y un 0 como -p(t)
Las condiciones de error son: Ap -Ap
Codificación on-off: Un 1 se representa con el pulso p(t) y un cero con ausencia de pulso.
La condición de error se puede ver del siguiente modo: Ap/2 Ap -Ap/2 0 Por lo tanto la probabilidad de error que se obtiene es:
Codificaciones pseudoternarias: Un 1 se transmite como un pulso opuesto al pulso anterior y un cero como ausencia de pulso.
La condición de error se puede ver del siguiente modo: Ap Ap
Inferencia inter simbolos (ISI) Un pulso p(t) básico podemos considerarlo como un pulso rectangular, sin embargo la densidad de potencia espectral de un pulso cuadrado es infinita ya que P(W) tiene un ancho de banda infinito. Sin embargo hay una zona del espectro donde se concentra la energía |f| < fo fuera de esta zona la energía es pequeña pero no cero. Si se transmite esta señal por un canal con un ancho de banda finito se suprime una pequña porción del espectro => una distorsión de la señal recibida.
No podemos considerar pulsos limitados en el tiempo porque su contenido en frecuencias sería infinito y se transmitirían con distorsión. Varios pulsos no limitados en el tiempo solapados causarían ISI. Nyquists propuso tres criterios diferentes para evitar la interferencia inter símbolos. Estudiamos el primer criterio de Nyquists
Primer criterio de Nyquist: Se elige el pulso para que tenga amplitud distinta de cero en t=0 y amplitudes cero en. Siendo la separación entre sucesivos pulsos transmitidos. De esta forma no hay ISI en el centro de los demas pulsos. Para un ancho de banda condición sólo hay un pulso que cumple esta
Este esquema tiene problemas prácticos de implementación ya que la amplitud de los lóbulos laterales decae lentamente (como 1/t). Esto puede generar una ISI acumulada cuando haya una falta de sincronismo entre dos pulsos. Este problema se puede solucionar con pulsos que verifican las condiciones anteriores pero con anchos de banda entre f 0/2 y f 0. Pulsos de tipo coseno remontado: La condición que deben cumplir los pulsos es la siguiente:
Es decir que la suma de los espectros debe ser constante:
El espectro tiene la forma de la figura: Su ancho de banda es w 0/2 + wx. . Definimos el exceso de ancho de banda r = 2 wx /w 0 el ancho de banda se puede expresar como B=(1 + r) f 0 /2
La forma temporal del pulso es Para ancho de banda completo
Segundo criterio de Nyquists: Este esquema tiene su origen en la transmisión telegráfica. Se usaban pulsos conformados para una velocidad de f 0 pulsos por segundo pero transmitidos a una velocidad de 2 f 0 pulsos por segundo Un 1 se transmite como un pulso y necesita T 0 segundos para alcanzar su valor máximo, sin embargo si en T 0 se transmite otro 1 se superpondrán las amplitudes alcanzando un valor máximo K, si el segundo pulso es un 0 se superpondrán las amplitudes anulandose su valor. La anchura del pulso resultante es de 3 T 0 y el segundo criterio de Nyquists es y
Para una ancho de banda de f 0 /2 la forma del pulso es:
Transmisión Digital Paso banda En la transmisión digital pasobanda la señal digital modula a una señal portadora ( normalmente una función sinusoidal). En el caso de transmisión paso banda o de señales de tiempo discreto moduladas, el canal puede ser un enlace de radio de microondas, una canal satélite. . . La amplitud, la frecuencia o la fase de la portadora pueden variar de acuerdo con la secuencia de datos dando lugar a los diferentes señalamientos: -ASK señalamiento por desplazamiento de amplitud -FSK señalamiento por desplazamiento en frecuencia - PSK señalamiento por desplazamiento en fase.
Un modelo para la transmisión pasa banda: Suponemos que existe una fuente de mensajes que emite símbolos pertenecientes a un alfabeto discreto de M símbolos cada T segundos. Las probabilidades a priori de estos símbolos especifican el mensaje de salida. En ausencia de información todos los símbolos tienen igual probabilidad. Este mensaje es la entrada a un bloque realiza la codificación de la señal para su transmisión. Produciendo un vector de N componentes reales ( con N<=M) por cada uno de los M símbolos del alfabeto fuente. Este vector de salida es la entrada al bloque modulador, la señal, de T segundos de duración, generada en el modulador es necesariamente de energía finita. El canal de comunicación pasobanda conecta el transmisor con el receptor. Las características del canal son:
1. El canal es lineal y el ancho de banda es tal que puede transmitir a la señal modulada sin distorsión. 2. La señal transmitida se ve contaminada por ruido gausiano aditivo blaco (AWGN). La tarea del receptor es observar la señal recibida durante T segundos. El primer bloque detector opera sobre la señal recibida para producir un vector de observaciones, el bloque decodificador realiza las estimaciones de los símbolos generados por la fuente en el transmisor. Una condición que debe cumplir el receptor es que minimice la probabilidad promedio de símbolo erróneo.
Fuente de Mensaje mi si Codificador Modulador si(t) Transmisor Canal de comunicación x i(t) Detector x Decodificador Receptor ^m
Las tres formas básicas de señalización:
Método de Ortogonalización de Gram-Schmidt: Este método de ortogonalización permite representar cualquier conjunto de M señales de energía (ya moduladas) como combinación lineal de N funciones base ortonormales (N<=M).
Descripción del procedimiento de Gram Schmidt: Se define la función base 1 como:
Cada señal si(t) queda especificada por un vector si cuyos N elementos son los coeficientes sij. El espacio euclídeo de Ndimensiones se denomina espacio de señales. Se puede definir la norma y el producto interno entre vectores de este espacio:
Proyección de la señal contaminada por ruido blanco gausiano sobre las funciones bases ortogonales: X es una variable aleatoria queda caracterizada por un vector de N componentes.
Cada componente del vector es a su vez una variable aleatoria gausiana de valor medio y varianza: Las componentes del vector X son variables aleatorias no correlacionadas: El vector X se denomina vector de observaciones, y cada uno de los elementos del vector se denomina elemento observable.
La función densidad de probabilidad condicional del vector X, cuando se transmite la señal si(t), correspondiente al símbolo mi , se puede expresar como el producto de las funciones densidad de probabilidad condicionales de sus elementos individuales como: Estas funciones son la caracterización del canal y tambien se denominan funciones de transición del canal.
Detección Coherente se señales en ruido: Se supone que en cada intervalo de tiempo de duración T sg. Se transmite una de las M posibles señales {s 1(t). . . s. M(t)} con igual probabilidad 1/M. La señal si(t). Queda representada por un punto en el espacio ecuclídeo de dimensión N. A este punto se le denomina punto mensaje. EL conjunto de puntos mensajes correspondientes a las señales transmitidas se les llama Constelación. La señal recibida x(t) también queda representada por un punto del espacio euclídeo. A este punto se le denomina punto señal recibida.
Dado un vector de observaciones X, la detección consiste en a partir de X obtener una estimación m^ del símbolo transmitido mi , de modo que se minimice la probabilidad de error en el proceso de transmisión. Decodificación de máxima probabilidad: Suponiendo que todos los decodificadores son igualmente probables la decodificación de máxima probabilidad es una solución a este problema
Regla de decisión óptima: Máxima probabilidad a posteriori (MAP) Esta regla se puede expersar, haciendo uso del teorema de Bayer, en términos de las probabilidades a priori de las señales transmitidas y de las funciones densidad de probabilidad: pk es la probabilidad a priori del símbolo mk , fx (x|mk) es la función densidad de probabilidad condicional y fx(x) es independiente de la señal transmitida. Luego la regla MAP expresada en logaritmica natural:
El espacio de observaciones Z se divide en M regiones de decisión que se denominarán Z 1. . Zm. La regla MAP se puede expresar como sigue: Un vector de observaciones X pertenece a la región Zi si El correspondiente vector de la métrica es: Lo que lleva a redefinir la regla MAP: El vector de observaciones pertenece a la región Zi si la distancia euclídea ||x-sk|| es mínima para k=i
De donde se puede deducir la regla equivalente: Un vector X pertenece a la región Zi si La probabilidad de error:
Recuperación Coherente en el receptor: El receptor óptimo consiste en dos subsistemas: 1. Subsistema detector x x 1 1(t) x x 2 2(t) x N(t) x. N
Decodificador de la señal transmitida: x Acumulador + s 1 X x s 2 x s. M Acumulador + S e l e c t o r
Detección de señales con fase desconocida, detección no coherente: Hasta ahora se ha supuesto que el receptor tiene total conocimiento de la señal transmitida. Se puede encontrar incertidumbre y aleatoriedad en algunos parámetros de la señal. La principal causa de esta incertidumbre es la distorsión producida por el médio de transmisión. Una causa muy frecuente es la transmisión sobre múltiples caminos de longitud variable. Esto causa una aleatoriedad en la fase de la señal portadora.
Por ejemplo, consideramos un sistema de comunicación digital en el cual se transmiten señales iguales de la forma: Donde E es la energía de la señal, T es la duración del intervalo de señalización y la frecuencia fi es un múltiplo entero de 1/2 T. No hay sincronización de fase entre el emisor y el receptor. Si el canal es AWGN la señal recibida es de la forma:
La fase se considera tambien como una variable aleatoria unifórmemente distribuida entre 0 y 2 radianes. El sistema de detección estudiado previamente no es útil para el caso de detección no coherente. De forma intuitiva veamos las modificaciones necesarias en el receptor: Si suponemos que las funciones ortonormales o correladores son de la forma
En ausencia de ruido encontramos que la salida del primer correlador es y la salida del segundo correlador es de manera que si elevamos al cuadrado y sumamos el resultado es independiente de la fase. A este sistema se le denomina receptor en cuadratura de fase. x cuadrado + x(t) x cuadrado Raiz cuadrada
Métodos de Modulación sin memoria: Señalamiento por desplazamiento de amplitud (ASK): También se le denomina PAM digital. La forma de onda de la señal es: Am con 1<=m<=M denota el conjunto de M posibles amplitudes. La energía de la señal es: En este caso N=1, la función (t) es de la forma:
Y sm de la forma Las correspondientes constelaciones de señales para M=2, M=4 y M=8 son: 0 1 000 001 00 011 010 110 01 11 101 10 100
Se pueden hacer dos observaciones: El vector de señal tiene una única dimensión, que representa la amplitud de la señal. Los puntos de la señal se seleccionan de manera simétrica respecto del origen.
La señal PAM modulada es una señal de banda lateral doble de modo que se requiere dos veces el ancho de banda requerido para la transmisión en banda base. La asignación de bits se puede realizar de diferentes formas, una posible forma es aquella en la cual las amplitudes de las señales adyacentes difieren sólo en un bits. A este asignación se le denomina codificación Gray. La distancia euclídea entre un par de puntos de señales es:
Señales moduladas en fase En modulación digital de fase la onda de señal tiene la forma: Donde g(t) es la forma del pulso y m =2 (m-1)/M son las M posibles fases de la portadora que contienen la información transmitida. La energía de la señal es de la forma:
La señal modulada se puede representar como combinación de dos funciones ortonormales 1 y 2
La constelación de señales para M=2, 4 y 8 es 01 0 1 00 11 10 011 010 001 110 000 111 100 101
Como en el caso ASK, la asignación de bits se puede hacer de diferentes formas, pero tambien se ha utilizado una codificación Gray. La distancia euclídea entre los puntos de la señal es:
Modulación de amplitud en cuadratura: La señal PAM tambien se puede modular con dos portadoras en cuadratura cos 2 fct y sen 2 fct , la técnica de modulación resultante se llama PAM en cuadratura o QAM. La correspondiente señal se puede expresar como: Donde Amc y Ams son las amplitudes de las señales en cuadratura. En realidad la señal PAM en cuadratura reduce el ancho de banda en un factor 2. (ASK-SSB). (se correspondería con ASK de banda lateral única)
Una expresión alternativa de QAM es Donde: Por lo tanto se puede ver QAM como una combinación de modulación en amplitud y fase. Se puede obtener la combinación de la constelación de señales ASK-PSK, en este caso M=M 1 M 2. En este caso el número de dígitos que se transmite es n+m=log. M
Las funciones ortonormales son : Y las componentes del vector: La distancia euclídea entre cualquier par de puntos del espacio es:
Ejemplos de constelaciones para QAM (M=16); 2 1011 1001 1111 1010 1000 1101 0000 0110 0011 0010 0101 0111 -3 d/2 1 -d/2 3 d/2
El producto cartesiano de un par de constelaciones unidimensionales se puede ver como una matriz en la que aparecen todos los posibles pares ordenados, en el ejemplo de constelación QAM cuadrada la matriz es de forma cuadrada
Constelación cruzada QAM: Para una señal QAM con M símbolos con número impar de bits por símbolo se sigue el siguiente procedimiento para generar la constelación de señales: 1. Se comienza con una constelación QAM con n-1 bits por símbolo. 2. Se extiende cada lado de la constelación cuadrada añadiendo 3. Se ignora la extensión en las esquinas. En este caso no es posible expresar la constelación cruzada QAM como el producto de una constelación ASK consigo misma.