COMPASS Algebra Practice Test 3 This practice test
COMPASS Algebra Practice Test 3 • This practice test is 10 items long. • Record your responses on a sheet of paper. • The correct answers are on the slide after the last question. • Complete solutions follow the answer slide. • Click the mouse or use the spacebar to advance to the next question.
1. If x = -2 and y = -3, what is the value of the expression 4 x 3 - 2 xy ? ¡A. 36 ¡B. 20 ¡C. -20 ¡D. -36 ¡E. -44
2. Which of the following expressions represents the product of four more than twice x and six less than x? ¡A. ¡B. ¡C. ¡D. ¡E. x 2 – 4 x – 12 2(x 2 – 4 x – 12) 8 x 2 – 48 x 2 x 2 +16 x + 24 2 x 2 – 16 x – 24
3. A student earned scores of 85, 76, and 78 on three of four tests. What must the student score on the fourth test to have an average (arithmetic mean) of exactly 80? ¡A. ¡B. ¡C. ¡D. ¡E. 79 80 81 82 83
4. Which of the following is an equation of the line that contains the points (2, 3) and (4 , 6)? ¡A. ¡D. ¡B. ¡E. ¡C.
6. Each circle has a diameter of 6. What is the location of point B the center of the bottom circle. ? ¡A. (6, -15) ¡B. (6, -18) ¡C. (3, -15) ¡D. (3, -18) ¡E. (1, -3) B (3, -15)
7. For all x, (x 2 + 3 x + 9)(x - 3) is ¡A. x 3 + 3 x 2 - x - 3 ¡B. x 2 + 2 x - 3 ¡C. 3 x - 3 ¡D. x 3 - 27 ¡E. x 3 - x 2 + 3 x - 3
8. If A ° B = 2 A + 3 B, find 4 ° 5 ¡A. 20 ¡B. 23 ¡C. 17 ¡D. 9 ¡E. 5
9. ¡A. What is the perimeter of ABC? 8 ¡B. 10 ¡C. 14 ¡D. 24 ¡E. 28 B C
10. What is the value of 642/3? ¡A. 4 ¡B. 16 ¡C. 21. 3 ¡D. 96 ¡E.
Answers Algebra Practice Test 3 1. E 2. B 3. C 4. B 5. D 6. C 7. D 8. B 9. D 10. B
1. If x = -2 and y = -3, what is the value of the expression 4 x 3 – 2 xy ? ¡A. 36 ¡B. 20 ¡C. -20 ¡D. -36 ¡E. -44 4 x 3 – 2 xy 4(-2)3 – 2(-2)(-3) = 4(-8) – 2(-2)(-3) = -32 – 2(6) = -32 – 12 = -32 + (-12) = -44 Answer E
2. Which of the following expressions represents the product of four more than twice x and six less than x? (2 x + 4)(x – 6) ¡A. x 2 – 4 x – 12 ¡B. 2(x 2 – 4 x – 12) 2 x 2 – 12 x + 4 x – 24 ¡C. 8 x 2 – 48 x 2 x 2 – 8 x – 24 ¡D. 2 x 2 +16 x + 24 Factor the common 2 ¡E. 2 x 2 – 16 x – 24 2(x 2 – 4 x – 12) Answer B
3. A student earned scores of 85, 76, and 78 on three of four tests. What must the student score on the fourth test to have an average (arithmetic mean) of exactly 80? ¡A. ¡B. ¡C. ¡D. ¡E. 79 80 81 82 83 Answer C
4. Which of the following is an equation of the line that contains the points (2, 3) and (4 , 6)? ¡A. ¡D. ¡B. ¡E. ¡C. If we can find m and b then we will be able to select the correct response.
4. Which of the following is an equation of the line that contains the points (2, 3) and (4 , 6)? Find slope If we can find m and b then we will be able to select the correct response. Now find b Answer B
4. Which of the following is an equation of the line that contains the points (2, 3) and (4 , 6)? Another way to work this problem is to plug the points into each equation. ¡A. Try A False ¡B. To be the correct equation it must also work for the other given point. Try B True Answer B
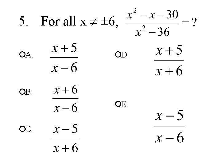
5. For all x ¹ ± 6, Step 1. Factor Step 2. Cancel Pay close attention to the signs. Every possibility is covered in the distracters. Answer D
6. Each circle has a diameter of 6. What is the location of point B the center of the bottom circle. ? ¡A. (6, -15) ¡B. (6, -18) ¡C. (3, -15) ¡D. (3, -18) ¡E. (1, -3) 6 -15 6 3 3 B (3, -15)
7. For all x, (x 2 + 3 x + 9)(x - 3) is ¡A. x 3 + 3 x 2 - x - 3 ¡B. x 2 + 2 x - 3 ¡C. 3 x - 3 ¡D. x 3 - 27 ¡E. x 3 - x 2 + 3 x - 3
7. For all x, (x 2 + 3 x + 9)(x - 3) is (x 2 + 3 x + 9)(x - 3) = 1 st Distribute the x through the trinomial. 3 2 x + 3 x + 9 x 2 nd Distribute the -3 2 -3 x - 9 x - 27 through the trinomial. x 3 - 27 Answer D
8. If A ° B = 2 A + 3 B, find 4 ° 5 ¡A. 20 ¡B. 23 ¡C. 17 ¡D. 9 ¡E. 5 Substitute 2 A + 3 B = 2(4) + 3(5) = 8 + 15 = 23 Answer B
9. What is the perimeter of ABC? ¡A. 8 ¡B. 10 ¡C. 14 ¡D. 24 ¡E. 28 B C
9. What is the perimeter of ABC? Count the blocks to find the lengths of the legs. AC = 8 AB = 6 B 8 Now use the Pythagorean Theorem to find the length of the hypotenuse. C 6 10 Add the three sides to find the perimeter. 8 + 6 + 10 = 24 Answer D
9. What is the perimeter of ABC? • Another way to find the distance from B to C is to use B the distance formula. • First identify the coordinates. C (-4, 4) and B (4, -2) 8 C 10 6
10. What is the value of 642/3? ¡A. 4 ¡B. 16 ¡C. 21. 3 ¡D. 96 ¡E. Note that the denominator becomes the index of the radical
- Slides: 28