Comparison of Estimation Methods of Structural Models of





















- Slides: 21
Comparison of Estimation Methods of Structural Models of Credit Risk MS&E 347 Term Project Stanford University June 2009 Jeff Blokker, Shafigh Mehraeen, Won Chase Kim, Bobak Javid, and John Weng
Structural Models • Structural models refer to models that look at the evolution of the capital structure of the firm to evaluate their credit risk. • Merton’s model (1974) was the first modern credit risk model that was considered a structural model. – It assumes the capital structure of the firm is composed of equity St and a zero coupon bond of value Dt with face value F. – Then the asset value of the firm is the sum of the equity and debt. – Assumptions • No transaction costs, no bankruptcy costs, no taxes, • infinite divisibility of assets, unrestricted borrowing and lending, • constant interest rate • GBM of firm’s asset value.
Merton’s Model • If the value of the firm at the maturity date T is less than K then the firm will be unable to repay the debt. • The payoff structure at T is:
Merton’s Model • The firm’s equity St represents a European call option on the firm’s assets with maturity T. • The Bond represents a risk free loan F with maturity T plus selling a European put option with strike F and maturity T • Merton’s model assumes that the firm can only default at time T. • The value of the firm is assumed to follow the SDE • With the volatility of the firm’s asset value, a constant interest rate r, and risk neutral Brownian motion
Merton’s Model • Applying the Black Scholes equation to the equity value of the firm yields • To implement Merton’s model we need an estimate of : – Volatility of the asset value – Drift of the asset value -
First Passage Model • The first passage model is an extension of the Merton model • Default at any time T 1 < T if the asset value Vt crosses the barrier K.
First Passage Model • At T the value of the equity is • This is a Down and Out call option with formula when F>=K when F<K
Model Calibration • To implement the first passage model we need an estimate of – Asset volatility – Default barrier - K – Drift - • We compare three methods for calibration: – Inversion Method – MLE – Iterative Method - KMV
Inversion Method • • for Merton’s model for First Passage model • From Ito’s formula we get • Comparing coefficients of the two SDE equations we conclude that where f is a simple call option (Merton) or down-and-out call option (First Passage model)
Maximum Likelihood Estimate (MLE) • • • Proposed by Duan (1994) Given a time sequence of equity values , we can estimate a time sequence of asset values , volatility , drift , and the barrier K. We denote the probability density function for the equity value at ti given the equity value at ti-1 and the parameter vector. Then the log-likelihood is given by Using the previously defined function differentiable and invertible we can write where is the P-density of Vt given Vt-1. and assuming it is
Maximum Likelihood Estimate (MLE) • MLE for the Merton’s Model – Letting where be the time between observations
Maximum Likelihood Estimate (MLE) • MLE for the First Passage Model
Iteration Method - KVM • Estimation of • Asset values Vt are implied from equity value and – Returns and – Volatility – Drift • Repeat until convergence. • • • Equivalent to EM algorithm and asymptotically converges to ML For the Merton’s model, much faster than ML For the First Passage model, no analytical formula.
Monte Carlo Simulation Environment • Asset value paths are generated by GBM with constant parameters – V 0=1. 5 – F = 1. 0 – K/F = 0. 8 or 1. 2 – T=2 – volatility = 0. 3 – Drift = 0. 1 – R = 5% • 2500 samples generated and down-sampled to 250 per year – To reduce bias (In reality, we only observe daily equity values) – Only keep the value process which does not default • • Converted to equity value paths by BS formula (call or DOC) Use equity paths in each model to recover parameters
Results – Merton Model Method Mean ML 0. 2984 0. 1275 STD ML 0. 0174 0. 2615 Mean Inversion 0. 3245 0. 1366 STD Inversion 0. 0347 0. 2632 Mean Iterative 0. 2992 0. 1278 STD Iterative 0. 0175 0. 2617 Volatility Drift
Results –First Passage Model F>=K Cox Model (F>K) Method Mean ML 0. 2957 0. 1362 0. 7426 STD ML 0. 0224 0. 2576 0. 2257 Mean Inversion 0. 3468 0. 1607 0. 4330 STD Inversion 0. 0848 0. 2579 0. 1524 Volatility Drift Default Barrier
Results –First Passage Model F<K Cox Model (F<K) Method Mean ML 0. 3033 0. 2729 1. 1894 STD ML 0. 0516 0. 2313 0. 1364 Mean Inversion 0. 6641 0. 6632 0. 2211 STD Inversion 0. 2243 0. 2925 0. 1982 Volatility Drift Default Barrier
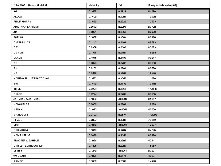
DJIA 2003 - Merton Model ML Volatility Drift Equity to Debt ratio (S/F) 3 M 0. 1527 0. 2818 5. 6689 ALCOA 0. 1698 0. 3005 1. 0928 PHILIP MORRIS 0. 1689 0. 2322 1. 2633 AMERICAN EXPRESS 0. 0672 0. 0896 0. 3730 AIG 0. 0671 0. 0358 0. 2926 BOEING 0. 1037 0. 1091 0. 5879 CATERPILLAR 0. 1143 0. 2688 0. 7583 CITI 0. 0398 0. 0660 0. 2073 DU PONT 0. 1375 0. 0704 1. 5864 EXXON 0. 1316 0. 1435 3. 0847 GE 0. 0820 0. 0902 0. 5388 GM 0. 0152 0. 0364 0. 0599 HP 0. 2499 0. 1958 1. 7116 HONEYWELL INTERNATIONAL 0. 1522 0. 1959 1. 1639 IBM 0. 1510 0. 1132 1. 9118 INTEL 0. 3384 0. 6756 17. 4645 CHASE 0. 0224 0. 0436 0. 0865 JOHNSON & JOHNSON 0. 1882 -0. 0268 8. 6067 MCDONALDS 0. 2055 0. 2989 1. 8293 MERCK 0. 1983 -0. 0950 4. 0999 MICROSOFT 0. 2722 0. 0637 17. 6890 PFIZER 0. 2007 0. 1386 7. 3363 SBC 0. 1848 -0. 0063 1. 2807 COCA COLA 0. 1810 0. 1469 8. 4725 HOME DEPOT 0. 2829 0. 3646 8. 2828 PROCTER & GAMBLE 0. 1076 0. 1285 4. 2341 UNITED TECHNOLOGIES 0. 1426 0. 2803 1. 6363 Verizon 0. 1240 -0. 0261 0. 7291 WAL MART 0. 1825 0. 0471 4. 8501 DISNEY 0. 1856 0. 2096 1. 4929
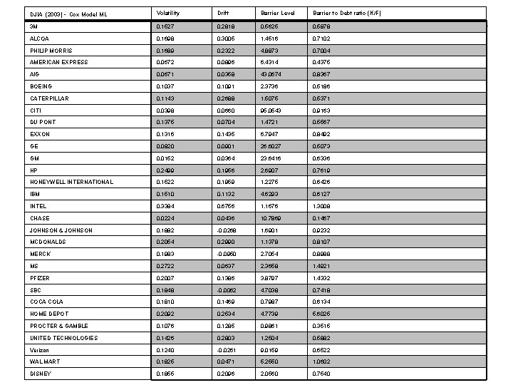
Volatility Drift Barrier Level Barrier to Debt ratio (K/F) 3 M 0. 1527 0. 2818 0. 5625 0. 5878 ALCOA 0. 1698 0. 3005 1. 4516 0. 7102 PHILIP MORRIS 0. 1689 0. 2322 4. 8873 0. 7004 AMERICAN EXPRESS 0. 0672 0. 0896 6. 4314 0. 4375 AIG 0. 0671 0. 0358 43. 0674 0. 8367 BOEING 0. 1037 0. 1091 2. 3736 0. 5186 CATERPILLAR 0. 1143 0. 2688 1. 5075 0. 5371 CITI 0. 0398 0. 0660 95. 0543 0. 9163 DU PONT 0. 1375 0. 0704 1. 4721 0. 5567 EXXON 0. 1316 0. 1435 6. 7947 0. 8492 GE 0. 0820 0. 0901 26. 6027 0. 5073 GM 0. 0152 0. 0364 23. 6416 0. 6336 HP 0. 2499 0. 1956 2. 6907 0. 7619 HONEYWELL INTERNATIONAL 0. 1522 0. 1959 1. 2275 0. 6426 IBM 0. 1510 0. 1132 4. 6293 0. 6127 INTEL 0. 3384 0. 6756 1. 1676 1. 3008 CHASE 0. 0224 0. 0436 10. 7869 0. 1467 JOHNSON & JOHNSON 0. 1882 -0. 0268 1. 6901 0. 9232 MCDONALDS 0. 2054 0. 2990 1. 1378 0. 8107 MERCK 0. 1983 -0. 0950 2. 7054 0. 8988 MS 0. 2722 0. 0637 2. 3658 1. 4921 PFIZER 0. 2007 0. 1386 3. 8797 1. 4332 SBC 0. 1848 -0. 0062 4. 7038 0. 7418 COCA COLA 0. 1810 0. 1469 0. 7987 0. 6134 HOME DEPOT 0. 2092 0. 2534 4. 7739 5. 6025 PROCTER & GAMBLE 0. 1076 0. 1285 0. 9861 0. 3515 UNITED TECHNOLOGIES 0. 1426 0. 2803 1. 2504 0. 5882 Verizon 0. 1240 -0. 0261 9. 0159 0. 6522 WAL MART 0. 1825 0. 0471 5. 2550 1. 0602 DISNEY 0. 1855 0. 2096 2. 0560 0. 7540 DJIA (2003) - Cox Model ML
Empirical analysis: an example • From the model we can calculate corporate default probability
Conclusion • Three estimation methods are compared for two structural credit models • For Merton’s model, ML and KMV are equivalent and superior to inversion • For the first passage model, ML is the only option but estimation of barrier is not an easy problem. • Drift estimation is also difficult but it is out of our interest • When K/F is small, two models does not make much difference • Further research must be done for benefits of the first passage model • Results from this projects can be extended for various applications – Default probability estimation – Term structure of credit spread