Clculo de la matriz inversa de una dada

  • Slides: 13
Download presentation
Cálculo de la matriz inversa de una dada por el método de Gauss

Cálculo de la matriz inversa de una dada por el método de Gauss

La matriz inversa de es ¿Cómo se encuentra la matriz inversa de una dada?

La matriz inversa de es ¿Cómo se encuentra la matriz inversa de una dada? Hay varios procedimientos. Uno es el método de Gauss. pues

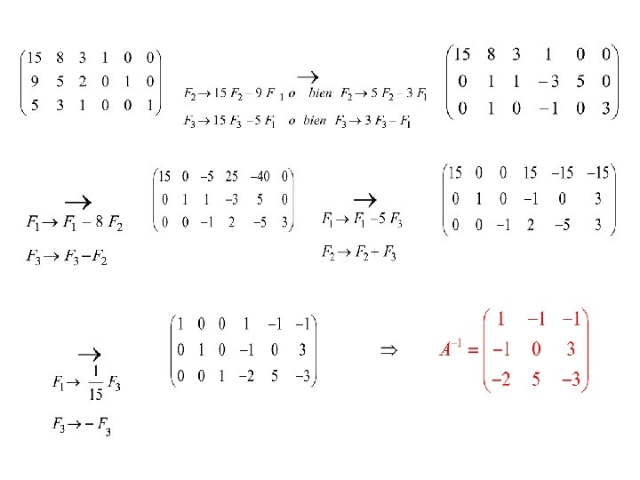
Método de GAUSS: 1) A partir de la matriz A se construye la matriz

Método de GAUSS: 1) A partir de la matriz A se construye la matriz (A/I) 2) Mediante trasformaciones adecuadas se construye la matriz (I/B) 3) B es la matriz inversa buscada. Con trasformaciones tipo el método garantiza que

CONSEJOS: 1) Buscar los “ceros” de cada columna trabajando con las filas. 2) Buscar

CONSEJOS: 1) Buscar los “ceros” de cada columna trabajando con las filas. 2) Buscar los “unos” efectuando la trasformación adecuada con b=0. 3) a es el coeficiente de Fj y b es el coeficiente de Fi, uno de ellos cambiado de signo.

Debe comprobarse que

Debe comprobarse que

APLICACIONES: 1) Si es requerida directamente: Calcular la matriz inversa de 2) Para resolver

APLICACIONES: 1) Si es requerida directamente: Calcular la matriz inversa de 2) Para resolver ecuaciones matriciales: Resolver la ecuación matricial 3) Para resolver matricialmente “algunos” sistemas de ecuaciones: Resolver matricialmente el sistema de ecuaciones lineales siguiente:

RESOLUCIÓN DE ECUACIONES MATRICIALES: ejemplo Todas las matrices son conocidas salvo X

RESOLUCIÓN DE ECUACIONES MATRICIALES: ejemplo Todas las matrices son conocidas salvo X

Pero, lógicamente, hay otros posibles enunciados. Por ejemplo

Pero, lógicamente, hay otros posibles enunciados. Por ejemplo

RESOLUCIÓN DE ALGUNOS SISTEMAS MATRICIALMENTE: ejemplo

RESOLUCIÓN DE ALGUNOS SISTEMAS MATRICIALMENTE: ejemplo

SOLAMENTE podremos resolver matricialmente aquellos sistemas cuya matriz de coeficientes admita inversa. Ejemplo 1:

SOLAMENTE podremos resolver matricialmente aquellos sistemas cuya matriz de coeficientes admita inversa. Ejemplo 1: La matriz de los coeficientes no es cuadrada Ejemplo 2: La matriz de los coeficientes es cuadrada pero no tiene inversa pues:

Podemos alterar el orden de las ecuaciones

Podemos alterar el orden de las ecuaciones