Classroom Coaching Supporting Teacher Use of Classroom Management




































- Slides: 36
Classroom Coaching: Supporting Teacher Use of Classroom Management Strategies Keywords: coaching, classroom, PBIS foundations University of Oregon, College of Education Michelle Massar, Ph. D. Kathleen Conley, M. Ed. Angus Kittelman, Ph. D.
Objectives To identify the four mechanisms of effective coaching To understand the effects of coach-delivered prompting and performance feedback on teacher and student outcomes To describe efficient and effective ways to provide classroom coaching to teachers
Background
Coaching Research in Education Coaching has been considered a critical feature of staff development for decades Relation between coaching and desired outcomes § Teacher fidelity of implementation § Teacher use of academic evidence-based practices (EBPs) § Teacher use of behavior management EBPs student outcome variables Structured literature review (n = 29) on effects of social behavioral interventions with a coaching component found that in 86% of studies, coaching supported desired teacher behavior change
The Research Gap Research studies on coaching commonly… � Limit coaching to performance feedback � Conflate training and coaching � Fail to operationally define coaching � Evaluate coaching as an auxiliary component of a larger intervention When studies directly evaluate link between coaching and outcomes, coaching is typically a packaged intervention and the research is often “lacking the rigor of true scientific development” (Cornett & Knight, 2009, p. 209)
Turn and Talk What is coaching? What makes coaching effective? What makes a good coach?
Defining the Logic Model Definition of coaching based on observable and measureable behaviors Coaching: The supportive activities conducted after initial training that increase the speed and precision with which practices are implemented under typical conditions Training: Process by which new skills and knowledge are taught to individuals Traits of coaches Four functions of coaching • Knowledgeable • Prompting • Trustworthy • Performance feedback • Effective communicator • Fluency building • Able to build rapport • Adaptation
Research Questions Is there a functional relation between the use of coach-delivered… 1. prompting and an increase in teacher use of the targeted evidencebased classroom management practice? 2. performance feedback and an increase in teacher use of the targeted evidence-based classroom management practice? 3. prompting and performance feedback versus only prompting or only performance feedback and an increase in teacher use of the targeted evidence-based classroom management practice? Secondary research questions: 1. Does teacher use of evidence-based classroom management strategies decrease levels of classroom disruption? 2. Do level, trend, and variability of un-coached classroom management practice remain the same across baseline and intervention phases?
Coaching Research Study
Baseline Prompting + Performance Feedback 100 80 60 40 20 Teacher 1 10 -second partial intervals 0 100 80 60 40 20 Teacher 2 0 100 80 60 40 20 Teacher 3 0 Teacher 4 Sessions Study 1 Design
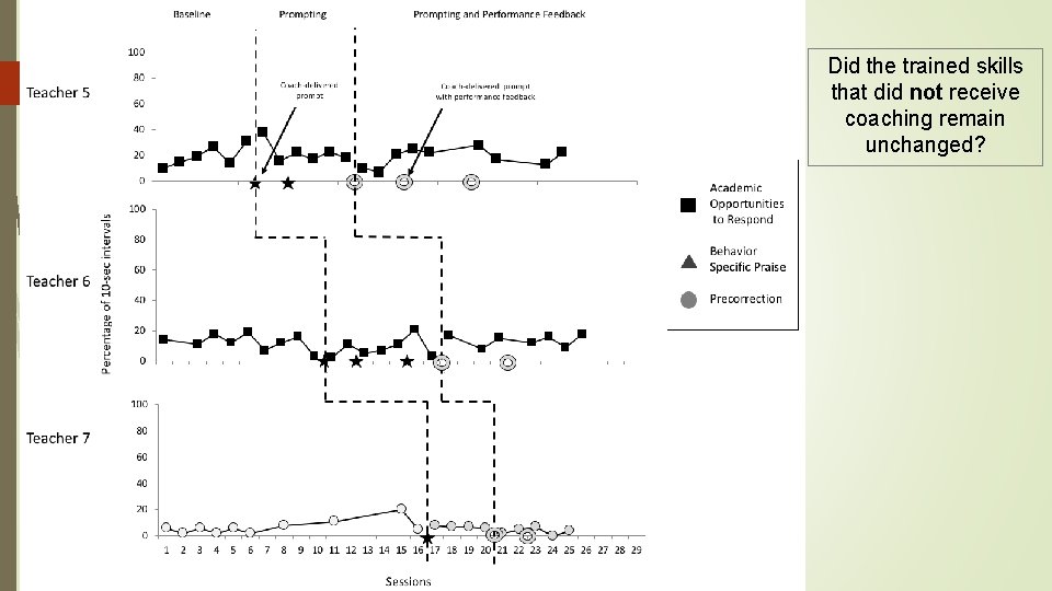
Baseline PF Prompting + Performance Feedback 100 80 60 40 20 Teacher 5 10 -second partial intervals 0 100 80 60 40 20 Teacher 6 0 100 80 60 40 20 Teacher 7 0 Teacher 8 Sessions Study 2 Design
Participants Grade Level Number of Students Years of Experience Coached Skill Uncoached Skill Teacher 1 3 26 1 Precorrection Academic OTRs 1 Behavior Specific Praise Precorrection Academic OTRs Teacher 2 4 28 Teacher 3 1 27 1 Behavior Specific Praise Teacher 4 1 28 1 Behavior Specific Praise Academic OTRs Teacher 5 2 22 1 Precorrection Academic OTRs Teacher 6 5 27 2 Behavior Specific Praise Academic OTRs Teacher 7 3 30 5 Behavior Specific Praise Precorrection
Turn and Talk – The What If you are a coach… how would you select the target skill(s) to focus on with a teacher? If you are a teacher… how do you know what skills to ask for support with? If you work at an LEA/SEA… how do you train and support coaches on what to coach with teachers?
Turn and Talk – The What If you are a coach… how would you select the target skill(s) to focus on with a teacher? If you are a teacher… how do you know what skills to ask for support with? If you work at an LEA/SEA… how do you train and support coaches on what to coach with teachers?
Procedures: Baseline Phase Baseline was business as usual Direct observation and data collection § Trained observers collecting data 3 times per week, 15 -min sessions Data collected on one targeted EBP, one un-coached EBP per teacher, and student behavior
Turn and Talk – The What If you are a coach… how would you select the target skill(s) to focus on with a teacher? If you are a teacher… how do you know what skills to ask for support with? If you work at an LEA/SEA… how do you train and support coaches on what to coach with teachers?
Procedures: Single Coaching Intervention Phase (B - PF) Coach-delivered performance feedback only § One 15 -min observation and one, 10 -min coaching session per week § Every session included delivery of (a) reinforcing feedback and (b) corrective feedback No prompting was delivered No feedback on any skill other than the targeted skill was provided Trained observers collecting data § Three times per week, 15 -min sessions
Procedures: Single Coaching Intervention Phase (B - PF) 1. Coach begins by reviewing targeted behavior management skill. 2. Coach provides reinforcing feedback with 1 -2 specific examples of how the teacher used the skill successfully in the lesson. 3. Coach provides corrective feedback with a replacement skill or 1 -2 suggestions/tips for improvement. 4. Coach prompts teacher to identify methods for increasing the use of targeted behavior management skill into lessons. 5 a. Coach provides praise following the teacher identifying another strategy to implement the behavior of focus.
Procedures: Single Coaching Intervention Phase (B - PF) 5 b. If teacher defines an incorrect or low impact strategy, the coach will prompt with a question or suggestion for another strategy. 6. Coach uses data when delivering performance feedback. 7. Coach does not provide feedback on any other behavior management skills. 8. Coach ensures coaching session is no longer than 10 minutes. 9. Coach thanks the teacher, adds additional praise, and reminds teacher of next scheduled observation.
Procedures: Single Coaching Intervention Phase (C - P) Coach-delivered prompting only § One 15 -min observation and one email prompt per week § Prompt delivered to increase rate of use of targeted skill No performance feedback was delivered No prompting on any skill other than the targeted skill was provided Trained observers collecting data § Three times per week, 15 -min sessions
Procedures: Single Coaching Intervention Phase (C - P) Hi _____, Thanks so much for letting me observe your reading block this morning. We are working on increasing your delivery of behavior specific praise throughout the lesson. Praise can be delivered in many ways and to many different types of student groups (i. e. , individual students, small table groups, whole class). For example, when you transition your students from their desks to the carpet, you could say “I see Maddie walking quietly and sitting in her assigned carpet spot – well done!” or “I noticed that Table Group 2 followed directions immediately – good work!”. I really enjoy being in your classroom and am looking forward to our next observation on Tuesday, February 7 at 9: 30.
Procedures: Combined Coaching Intervention Phase (BC) Coach-delivered prompting with performance feedback (Coach 1 and 2) § One, 15 -min observation, one 10 -min in-person meeting, and one email prompt per week Held prompting procedural elements constant with Phase C No performance feedback or prompting on any skill other than the targeted skill was provided § Trained observers collecting data Three times per week, 15 -min sessions Two to four weeks
Turn and Talk – The How If you are a coach… what strategies do you use with teachers? How do you know when to use one strategy (e. g. , corrective feedback) and not the other? If you are a teacher… can you identify what strategies or practices have been more or less effective in changing your practice? If you work at an LEA/SEA… how do you ensure that the strategies being used with teachers are effective and efficient?
Results
Did performance feedback alone make a difference in teacher use of a newly trained skill? Did the addition of prompting to performance feedback make any additional difference?
Did the trained skills that did not receive coaching remain unchanged?
Did prompting alone make a difference in teacher use of a newly trained skill? Did the addition of performance feedback to prompting make any additional difference?
Did the trained skills that did not receive coaching remain unchanged?
Did student behavior change?
Did student behavior change?
Results Summary – Primary Research Questions 1. Is there a functional relation between prompting and an increase in teacher use of targeted EBPs? Yes 2. Is there a functional relation between performance feedback and an increase in teacher use of targeted EBPs? Yes 3. Is there a functional relation between prompting and performance feedback versus only prompting or only performance feedback and an increase in teacher use of targeted EBPs? No (interaction effect)
Results Summary – Secondary Research Questions 4. Does teacher use of evidence-based classroom management strategies decrease levels of classroom disruption? Yes (cascading effect, but no functional relation in Study 1) 5. Do level, trend, and variability of un-coached classroom management practice remain the same across baseline and intervention phases? Yes (specificity of effect)
Implications for Practice Coaching is effective § Low dose, low intensity Prompting and performance feedback are mechanisms of coaching § Prompting builds stimulus control and increases rate § Performance feedback improves precision § Distinction may be more theoretical than practical Regular but episodic coaching produces change § Multiple coaching events needed after training Differentiated coaching across levels of support § Support needs may change over time and depend on contextual factors
Questions? Contact Information: michelle. massar@washougalsd. org kconley 1@uoregon. edu angusk@uoregon. edu
References Duchaine, E. L. , Jolivette, K. , & Fredrick, L. D. (2011). The effect of teacher coaching with performance feedback on behavior-specific praise in inclusion classrooms. Education and Treatment of Children, 34, 209 -227. Di. Gennaro, F. D. , Martens, B. K. , & Kleinmann, A. E. (2007). A comparison of performance feedback procedures on teachers’ treatment implementation. integrity and students’ inappropriate behavior in special education classrooms. Journal of Applied Behavior Analysis, 40, 447 -461. Filcheck, H. A. , Mc. Neil, C. B. , Greco, L. A. , & Bernard, R. S. (2004). Using a whole-class token economy and coaching of teacher skills in a preschool classroom to manage disruptive behavior. Psychology in the Schools, 41, 351 -361 Jager, B. , Reezigt, G. J. , & Creemers, B. P. (2002). The effects of teacher training on new instructional behavior in reading comprehension. Teaching and Teacher Education, 18, 831 -842. Joyce, B. , & Showers, B. (1980). Improving inservice training: The age of research. Educational Leadership, 379 -385. Joyce, B. , & Showers, B. (1981). Transfer of training: The contribution of "coaching". Journal of Education, 163 -172. Joyce, B. , & Showers, B. (1982). The coaching of teaching. Educational Leadership, 40, 4 -10. Knight, J. (2000). Another damn thing we've got to do: Teacher perceptions of professional development. Paper presented at the American Educational. Research Association, New Orleans.
References Knight, J. (2004). Instructional coaches make progress through partnership. Journal of Staff Development, 25, 32 -37. Knight, J. (2007). Instructional coaching: A partnership approach to improving instruction. Thousand Oaks, CA: Corwin Press. Kohler, F. W. , Crilley, K. M. , Shearer, D. D. , & Good, G. (1997). Effects of peer coaching on teacher and student outcomes. The Journal of Educational Research Service, 90, 240 -250. Kretlow, A. G. , Cooke, N. L. , & Wood, C. L. (2012). Using in-service and coaching to increase teachers’ accurate use of research-based strategies. Remedial and Special Education, 33, 348 -361. Kretlow, A. G. , Wood, C. L. , & Cooke, N. L. (2009). Using in-service and coaching to increase kindergarten teachers’ accurate delivery of group instructional units. The Journal of Special Education, 44, 234 -246. Peck, C. A. , Killen, C. C. , & Baumgart, D. (1989). Increasing implementation of special education instruction in mainstream preschools: Direct and generalized effects of nondirective consultation. Journal of Applied Behavior Analysis, 22, 197 -210. Stitcher, J. P. , Lewis, T. J. , Richter, M. , Johnson, N. W. , & Bradley, L. (2006). Assessing antecedent variables: The effects of instructional variables on student outcomes through in-service and peer coaching professional development models. Education and Treatment of Children, 29, 665 -692. Stormont, M. , Reinke, W. M. , Newcomer, L. , Marchese, D. , & Lewis, C. (2015). Coaching teachers’ use of social behavior interventions to improve children’s outcomes: A review of the literature. Journal of Positive Behavior Interventions, 17, 69 -82.