CLASE 9 PARTE 1 IMAGEN CONTINUA DE UN


















- Slides: 18
CLASE 9 PARTE 1: IMAGEN CONTINUA DE UN COMPACTO Bibliografía de la Clase 9: • Juan de Burgos: Cálculo Infinitesimal en Varias Variables. Capítulo 1, sección 1. 3, parágrafos 18, 20 y 21. Ejercicios para las clase 9 • Práctico 3 del año 2006. Cálculo Diferencial e Integral II. Eleonora Catsigeras. IMERL. Fac. de Ingeniería. Udela. R. J. Herrera y Reissig 565. Montevideo. Uruguay. Agosto 2006. Derechos reservados.
TEOREMA. La imagen por una función continua de un conjunto compacto, es un conjunto compacto. Dem. 1ª parte: demostrar que Por absurdo si f(K) no fuera acotado: sigue
Teníamos: 2ª parte: Demostrar que f(K) es cerrado. Por absurdo: Repetimos el mismo argumento recuadrado en verde.
CLASE 9 PARTE 2: TEOREMA DE WEIERSTRASS Bibliografía de la Clase 9: • Juan de Burgos: Cálculo Infinitesimal en Varias Variables. Capítulo 1, sección 1. 3, parágrafos 18, 20 y 21. Ejercicios para las clase 9 • Práctico 3 del año 2006. Cálculo Diferencial e Integral II. Eleonora Catsigeras. IMERL. Fac. de Ingeniería. Udela. R. J. Herrera y Reissig 565. Montevideo. Uruguay. Agosto 2006. Derechos reservados.
Máximos y mínimos (absolutos) de funciones reales. DEFINICIÓN: El VALOR de la función f en el punto a se llama MAXIMO (absoluto) de f en D si OBSERVACIÓN: El máximo existe cuando el supremo se alcanza en algún(os) punto(s) de D. OBSERVACIÓN: El máximo (absoluto) si existe ES ÚNICO. Se puede alcanzar en uno o muchos puntos a del Conjunto D.
Máximos y mínimos (absolutos) de funciones reales. DEFINICIÓN: El VALOR de la función f en el punto b se llama MÍNIMO (absoluto) de f en D si OBSERVACIÓN: El mínimo existe cuando el ínfimo se alcanza en algún(os) punto(s) de D. OBSERVACIÓN: El mínimo (absoluto) si existe ES ÚNICO. Se puede alcanzar en uno o muchos puntos a del Conjunto D.
TEOREMA DE WEIERSTRASS. Toda función continua en un compacto K tiene Máximo y mínimo en K. Dem.
CLASE 9 PARTE 3: CONTINUIDAD UNIFORME Bibliografía de la Clase 9: • Juan de Burgos: Cálculo Infinitesimal en Varias Variables. Capítulo 1, sección 1. 3, parágrafos 18, 20 y 21. Ejercicios para las clase 9 • Práctico 3 del año 2006. Cálculo Diferencial e Integral II. Eleonora Catsigeras. IMERL. Fac. de Ingeniería. Udela. R. J. Herrera y Reissig 565. Montevideo. Uruguay. Agosto 2006. Derechos reservados.
DEFINICIÓN: f es uniformemente continua en el conjunto D si TODA FUNCIÓN UNIFORMEMENTE CONTINUA EN D es continua en D, pero el recíproco es falso.
EJEMPLO. Probar que la siguiente función es uniformemente continua en todo el plano R 2: Conclusión:
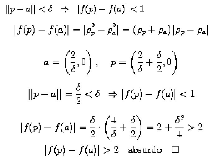
EJEMPLO. Probar que la siguiente función no es uniformemente continua en R 2. NOTA: Por el teorema de Heine que veremos luego esa función es uniformemente continua en cualquier compacto contenido en R 2. Dem. Por absurdo, si lo fuera:
CLASE 9 PARTE 4: PROPIEDADES DE LA CONTINUIDAD UNIFORME Bibliografía de la Clase 9: • Juan de Burgos: Cálculo Infinitesimal en Varias Variables. Capítulo 1, sección 1. 3, parágrafos 18, 20 y 21. Ejercicios para las clase 9 • Práctico 3 del año 2006. Cálculo Diferencial e Integral II. Eleonora Catsigeras. IMERL. Fac. de Ingeniería. Udela. R. J. Herrera y Reissig 565. Montevideo. Uruguay. Agosto 2006. Derechos reservados.
1. Si f es uniformemente continua en D entonces es uniformemente continua en cualquier subconjunto de D. 2. Si f es uniformemente continua en D y en E entonces es uniformemente continua en la unión de D con E. Es también cierto para unión de tres, cuatro, o una cantidad finita de conjuntos. Pero es falso para unión infinita. 3. Si f es uniformemente continua en D entonces para toda pareja de sucesiones
EJEMPLO. Probar que
CLASE 9 PARTE 5: CONTINUIDAD UNIFORME EN COMPACTOS Bibliografía de la Clase 9: • Juan de Burgos: Cálculo Infinitesimal en Varias Variables. Capítulo 1, sección 1. 3, parágrafos 18, 20 y 21. Ejercicios para las clase 9 • Práctico 3 del año 2006. Cálculo Diferencial e Integral II. Eleonora Catsigeras. IMERL. Fac. de Ingeniería. Udela. R. J. Herrera y Reissig 565. Montevideo. Uruguay. Agosto 2006. Derechos reservados.
TEOREMA de HEINE. f es uniformemente continua en K. Dem. sigue
Teníamos: