CLASE 16 PARTE 1 DERIVADAS DE ORDEN SUPERIOR

  • Slides: 7
Download presentation
CLASE 16 PARTE 1: DERIVADAS DE ORDEN SUPERIOR. Bibliografía de la Clase 16: •

CLASE 16 PARTE 1: DERIVADAS DE ORDEN SUPERIOR. Bibliografía de la Clase 16: • Juan de Burgos: Cálculo Infinitesimal en Varias Variables. Capítulo 2, sección 2. 4, parágrafos 30 y 31. Ejercicios para las clase 16 • Práctico 4 del año 2006, ejercicios 2, 3, 15 y 19. Cálculo Diferencial e Integral II. Eleonora Catsigeras. IMERL. Fac. de Ingeniería. Udela. R. J. Herrera y Reissig 565. Montevideo. Uruguay. Setiembre 2006. Derechos reservados.

DERIVADAS DE ORDEN SUPERIOR. Derivadas parciales de segundo orden: f es de clase si

DERIVADAS DE ORDEN SUPERIOR. Derivadas parciales de segundo orden: f es de clase si existen las derivadas parciales primeras y son continuas en el abierto D. f es de clase si existen las derivadas parciales segundas y son continuas en el abierto D. f es de clase si existen las derivadas parciales de orden r y son continuas en el abierto D.

TEOREMA DE SCHWARZ-BONNET. Si f es de clase entonces las derivadas iteradas son iguales.

TEOREMA DE SCHWARZ-BONNET. Si f es de clase entonces las derivadas iteradas son iguales. CONSECUENCIA: Si f es de clase entonces las derivadas iteradas de orden r no dependen del orden de las variables respecto a las que se deriva.

CLASE 16 PARTE 2: DEMOSTRACIÓN DEL TEOREMA DE SCHWARZ-BONNET. Bibliografía de la Clase 16:

CLASE 16 PARTE 2: DEMOSTRACIÓN DEL TEOREMA DE SCHWARZ-BONNET. Bibliografía de la Clase 16: • Juan de Burgos: Cálculo Infinitesimal en Varias Variables. Capítulo 2, sección 2. 4, parágrafos 30 y 31. Ejercicios para las clase 14 • Práctico 4 del año 2006, ejercicios 2, 3, 15 y 19. Cálculo Diferencial e Integral II. Eleonora Catsigeras. IMERL. Fac. de Ingeniería. Udela. R. J. Herrera y Reissig 565. Montevideo. Uruguay. Setiembre 2006. Derechos reservados.

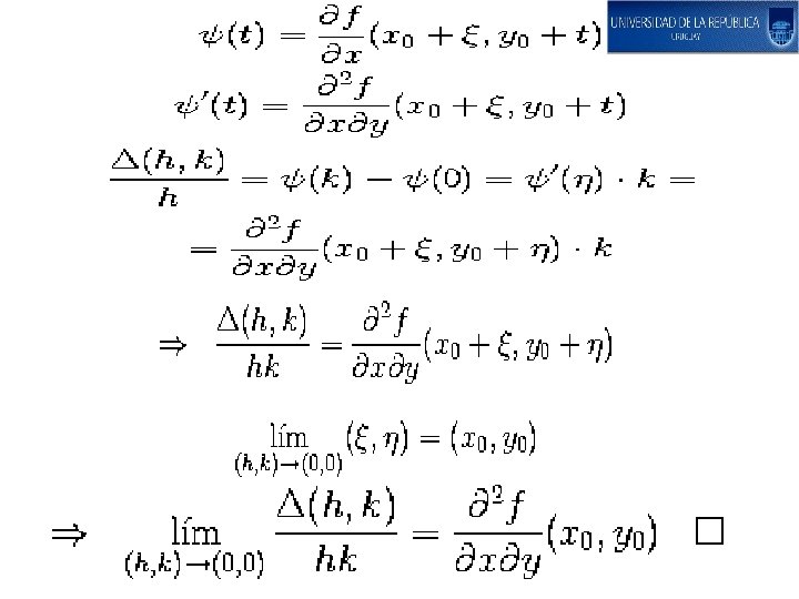
Sea: LEMA Si f es de clase Dem. entonces:

Sea: LEMA Si f es de clase Dem. entonces:

Dem. del Teorema de Schwarz-Bonnet: Lema

Dem. del Teorema de Schwarz-Bonnet: Lema