Cincia e Tecnologia dos Materiais Corroso Metlica Valentim














































- Slides: 46
Ciência e Tecnologia dos Materiais Corrosão Metálica Valentim M. B. Nunes Departamento de Engenharia Química e do Ambiente 2010
A corrosão e degradação dos materiais constituem um problema económico, devido aos elevados custos envolvidos. Calcula-se que, em economias avançadas, os custos associados à prevenção e remediação associados à corrosão corresponda a cerca de 3% do PIB. Igualmente se estima que um quarto da produção mundial de aço é destruído pela corrosão. O estudo da corrosão, e fenómenos associados, constitui um assunto de primordial importância na área da ciência e tecnologia dos materiais e sua aplicação em engenharia
A corrosão é provocada por uma reacção química, pelo que a velocidade com que decorre o processo de corrosão vai depender da temperatura, concentração de reagentes e produtos, para além de outros factores, tais como esforços mecânicos e erosão. Os materiais não metálicos, como cerâmicos e polímeros, podem sofrer ataques químicos directos, devido à acção de solventes ou outros agentes corrosivos. A maioria dos casos de corrosão deve-se contudo ao ataque químico de metais por via electroquímica.
The international standard definition of corrosion is as follows: "Physicochemical interaction between a metal and its environment which results in changes in the properties of the metal and which may often lead to impairment of the function of the metal, the environment, or the technical system of which these form a part". (ISO 8044 -1986). The International Union of Pure and Applied Chemistry (IUPAC) encompasses the degradation of non-metals as well as metallic materials, as follows: "Corrosion is an irreversible interfacial reaction of a material (metal, ceramic, polymer) with its environment which results in consumption of the material or in dissolution into the material of a component of the environment. Often, but not necessarily, corrosion results in effects detrimental to the usage of the material considered. "
A corrosão metálica pode ser definida como a interacção físico-química de um metal com o meio, da qual resultam alterações das propriedades do metal e frequentemente degradação funcional. Trata-se de um processo electroquímico que, aliado ou não a esforço mecânico, afecta a durabilidade e desempenho dos materiais. M Mn+ + n e-
Corrosão do ferro Um exemplo familiar da corrosão, é a formação da ferrugem sobre o ferro, na presença de água e oxigénio.
Decorrendo as reacções de corrosão fundamentalmente por via electroquímica, é importante a compreensão da natureza das reacções de oxidação-redução. Reacções de oxidação-redução são aquelas em que há transferência de electrões entre espécies. Zn (s) + Cu 2+(aq) Zn 2+(aq) + Cu(s) Espécie oxidada - perde electrões (agente redutor) Espécie reduzida - ganha electrões (agente oxidante)
Célula electroquímica Cátodo: eléctrodo onde ocorre a semi-reacção de redução. Cu 2+(aq) + 2 e- Cu(s) Ponte salina: mantém a electroneutralidade das soluções nodo: eléctrodo onde ocorre a semi-reacção de oxidação. Zn(s) Zn 2+(aq) + 2 e- O facto de os electrões se moverem indica que existe uma diferença de potencial entre os dois eléctrodos: potencial de pilha ou força electromotriz (fem)
Medição dos potenciais de redução padrão Célula (ou pilha) galvânica que permite a determinação do potencial de redução padrão do par redox Cu 2+/Cu, EºCu 2+/Cu Eºcélula = Eºcátodo - Eºânodo Eºcélula = EºCu 2+/Cu - 0 V ânodo cátodo EºCu 2+/Cu = +0. 34 V
Tabela de potenciais de redução padrão, a 25 ºC Condições padrão: espécies dissolvidas, concentração 1 M e gases, p = 1 atm Quanto maior o Eº maior a tendência para sofrer redução
Em situações reais de corrosão as concentrações são diferentes de 1 M. Em soluções mais diluídas a corrosão do ânodo é potenciada, uma vez que o potencial de semi-célula é mais negativo para a reacção anódica, de acordo com a equação de Nernst:
Uma das extremidades de um arame de ferro está imersa num electrólito com 0. 02 M em iões Fe 2+ e a outra extremidade num electrólito com 0. 005 M de iões Fe 2+. Os dois electrólitos estão separados por uma parede porosa. Qual das extremidades do arame vai sofrer corrosão? A extremidade imersa na solução mais diluída. Qual a diferença de potencial entre as duas extremidades do arame?
Células galvânicas microscópicas: zinco ferro Zn 2+ ee- Fe 2+ H+ H 2 H+ ee- H 2 O Fe(OH)2 OH- O 2 H 2 O Fe(OH)3 OH- O 2 Zn 2+ + 2 e- Fe 2+ + 2 e- 2 H+ + 2 e- H 2 O 2 + 2 H 2 O + 4 e- 4 OH-
Velocidade de corrosão Numa solução aquosa a quantidade de metal corroído uniformemente a partir de um ânodo (ou depositado num cátodo) é determinado pela equação de Faraday: m – massa de metal, em g, corroído ou depositado. t – tempo, s M – massa molar, g/mol I – intensidade de corrente, A n – número de electrões trocados, por átomo. F – constante de Faraday = 96500 C/mol
A velocidade de corrosão pode ser avaliada de diferentes formas. Embora o processo seja muito complexo podemos aplicar a Lei de Faraday. Por vezes a corrosão uniforme é igualmente expressa em densidade de corrente (A/cm 2). Também é comum em tubagens e reservatórios avaliar a perda de espessura. Esta pode ser calculada pela perda de massa: m – perda de massa A – área t - tempo - densidade x – perda de espessura
Um tanque cilíndrico em aço macio com 1 metro de altura e 50 cm de diâmetro, contém água até à altura de 60 cm e apresenta uma perda de peso em sequência da corrosão interior de 340 g em 6 semanas. Calcular a densidade da corrente da corrosão. O aço é uma liga de Fe e carbono, a corrosão resulta da oxidação do ferro.
A parede de um tanque em aço, contendo água arejada, é corroído correspondendo a uma perda diária em massa de 54. 7 mg/dm 2. Quanto tempo demorará para que haja uma diminuição de 0. 5 mm na espessura da parede? (densidade do ferro = 7. 87 g/cm 3)
A polarização por activação ocorre quando reacções electroquímicas são controladas por um passo lento que ocorre na interface metal-electrólito.
A polarização por concentração está associada às reacções electroquímicas que são controladas pela difusão dos iões no electrólito. Um aumento de temperatura ou agitação do meio diminuem a polarização e aumentam a velocidade da reacção.
A passivação de um metal ocorre quando se forma uma película superficial protectora, que resulta da própria reacção de corrosão, e que impede que a reacção prossiga. Muitos metais e ligas com aplicações em engenharia, como os aços inoxidáveis e o alumínio, tornam-se facilmente passivos devido á formação de óxidos que constituem uma barreira à difusão, e que separam o metal do meio exterior, baixando substancialmente a velocidade de corrosão.
Séries galvânicas
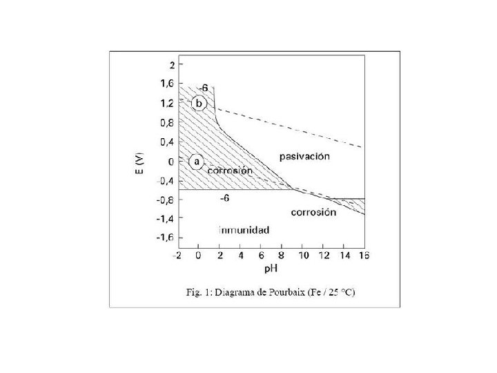
Diagramas de Pourbaix Os potenciais de redução de algumas reacções dependem do p. H. Como exemplo temos a redução do ião hidrogénio: 2 H+ + 2 e- H 2(g) Aplicando a equação de Nernst, a 25 °C, obtemos: ou E = E° + 0. 059× log [H+] E = − 0. 059 p. H Os diagramas de Pourbaix representam num diagrama potencialp. H os vários equilíbrios químicos que estão envolvidos na corrosão de um metal, e mostram as zonas de imunidade, passividade ou corrosão de um metal. Estes diagramas são muito úteis pois permitem prever o comportamento de um metal, quando sujeito a um determinado p. H e potencial aplicado.
Tipos de Corrosão
Na Corrosão uniforme ou por ataque generalizado a velocidade de corrosão é aproximadamente igual em toda a superfície do metal. É possível controlar este tipo de corrosão mediante utilização de revestimentos protectores, inibidores ou por protecção catódica (ver adiante).
A corrosão galvânica ou de par bimetálico ocorre devido à acção de uma pilha de corrosão - contacto entre dois metais. Como exemplo temos os ligadores bimetálicos Al/Cu para redes de baixa e alta tensão. O metal mais nobre não corrói e o mais activo sofre corrosão. Este fenómeno é utilizado em certos casos para proteger os metais. É o caso do aço recoberto com uma camada de zinco (aço galvanizado) Quando a camada de zinco sofre por exemplo uma ranhura, o aço passa a estar em contacto com o electrólito, formando o par aço – zinco, uma pilha em que o ânodo é a camada de zinco e o aço é o cátodo. Outro exemplo é o da folha de estanho (folha-de-flandres) usada em latas para refrigerantes e em embalagens para conservas alimentares.
Corrosão por picada – trata-se de uma corrosão localizada, manifestada por picadas (perfurações de pequeno diâmetro) na superfície do metal. O cátodo e o ânodo encontram-se manifestamente separados. O ânodo situa-se no interior da picada enquanto a superfície circundante funciona como cátodo. Um recipiente de ferro pode ser coberto com estanho (ferro estanhado). Enquanto a camada está intacta não há corrosão. Após uma picada:
A corrosão em fendas (crevice corrosion) ocorre no interior de fendas ou frestas, por exemplo em juntas de vedação, rebites e parafusos, discos e válvulas, etc. Estas situações são propícias à existência de líquidos estagnados potenciando a corrosão.
A Corrosão intergranular ocorre devido à difusão de espécies químicas até aos limites de grão em estruturas metálicas provocando fissuras. Como exemplo temos a difusão de carbono em aços. Estas fissuras podem crescer subitamente dando origem a falhas catastróficas dos materiais. Limites de grão agem como ânodos.
Corrosão por correntes parasitas. Ocorre em sistemas colocados no subsolo ou imersos em água, causada por correntes eléctricas provenientes de fontes de corrente contínua ou alternada. Como exemplo temos as linhas de transmissão. Cabo corrente eléctrico Corrente parasita nodo Cátodo Torre de transmissão tubo
Outras formas de corrosão incluem a corrosão-erosão, que resulta da acção conjunta de dois fenómenos, a corrosãocavitação, causada pelo colapso de bolhas de vapor sobre superfícies metálicas (por exemplo em turbinas hidráulicas), a corrosão fricção (por exemplo em estruturas aparafusadas sujeitas a vibrações) e a corrosão sob fadiga, quando um metal é sujeito a tensões e que acima de um certo limite (limite de fadiga) tende a fracturar. Os vários tipos de corrosão podem ocorrer concomitantemente, sendo por vezes difícil de avaliar o tipo de corrosão predominante.
http: //corrosion. ksc. nasa. gov/corr_forms. htm The forms of corrosion described here use the terminology in use at NASA-KSC. There are other equally valid methods of classifying corrosion, and no universally-accepted terminology is in use. Keep in mind that a given situation may lead to several forms of corrosion on the same piece of material.
Protecção e prevenção da Corrosão
Embora difícil de evitar, podem ser tomadas diversas medidas para prevenir ou atenuar a corrosão de um metal, algumas das quais já referidas.
Revestimentos metálicos Os revestimentos metálicos podem ser classificados em dois tipos: revestimentos nobres (níquel, prata, cobre, . . ) que apresentam menor actividade do que o metal a proteger, ou revestimentos sacrificiais (zinco, cádmio, e estanho em aço)
Revestimentos inorgânicos Vidros, porcelanas, cimentos, óxidos, etc. . Utilizados por exemplo no revestimento de tubulações e reactores. Revestimentos orgânicos Tintas, vernizes: materiais que são aplicados no estado liquido e que sofrem um processo de secagem transformando-se numa película sólida que adere ao substrato. Polímeros: revestimento de estruturas metálicas sujeitas a ambientes muito corrosivos.
Protecção catódica Pode ser efectuada através da aplicação de um corrente externa (corrente imposta) ou através da utilização de um metal com potencial de eléctrodo inferior ao do metal a proteger (protecção catódica por ânodo sacrificial) nodo sacrificado O 2(g) + 4 H+ +4 e- 2 H 2 O(l) Mg 2+ + 2 e-
Exemplos Protecção do betão armado de pontes. Protecção de estruturas metálicas imersas ou enterradas no solo. Protecção de navios.
Uma barra de magnésio pesando 5 kg é ligada a uma tubagem em ferro para a proteger da corrosão. Uma corrente média de 0. 3 A flui entre a barra e a tubagem. Calcular o tempo necessário para o consumo total da barra de magnésio. Cerca de 4 anos. O tempo de via médio de ânodos deste tipo varia normalmente entre 5 a 12 anos. São também utilizados para a protecção de caldeiras e permutadores.
Passivação da superfície A protecção baseia-se na formação de produtos de corrosão, normalmente óxidos, que agem como filmes protectores do metal e que diminuem a velocidade de corrosão. Um exemplo é o alumínio anodizado. alumina Al
O grau de protecção de um filme óxido depende de vários factores, designadamente, da razão entre o volume de óxido produzido e volume de metal consumido, aderência do filme e coeficiente de expansão térmica do filme (~ ao do metal). O cálculo da razão entre volumes de óxido e metal é o primeiro factor a determinar, e é conhecida como razão de Pilling – Bedworth (P. B. ) Esta razão dever superior à unidade.
Calcule a razão entre o volume de óxido e o volume de metal na oxidação do alumínio em óxido de alumínio. A densidade do alumínio = 2. 7 g/cm 3 e a da alumina = 3. 7 g/cm 3. Tomando como base de cálculo 100 g de Al.
Projecto de equipamentos O projecto e dimensionamento de uma estrutura ou equipamento deve também ter em linha de conta a velocidade de corrosão dos metais, o que implica por exemplo o sobredimensionamento de forma a compensar os efeitos esperados da corrosão. Locais de interface líquido - gás devem ser cuidadosamente projectados resíduos
Bibliografia consultada: W. F. Smith, Princípios de Ciência e Engenharia dos Materiais, Mc. Graw-Hill, Lisboa, 1998 A. Valente e V. Lobo, Corrosão: Fundamentos, Prevenção e Efluentes, ECEMEI, Rio Tinto, 2000 M. Pourbaix, Atlas of Electrochemical Equilibria in Aqueous Solutions, National Association of Corrosion Engineers, Houston, 1974 http: //ccmm. fc. ul. pt/vnunes/ensino/electroquimica. htm