Chronic Fatigue Syndrome Myalgic Encephalomyelitis CFSME pathogenesis diagnostic




































- Slides: 36
Chronic Fatigue Syndrome / Myalgic Encephalomyelitis (CFS/ME): pathogenesis, diagnostic biomarkers & clinical trials Dr Jonathan R Kerr MD, Ph. D, FRCPath Sir Joseph Hotung Senior Lecturer in Inflammation St George’s University of London
Chronic Fatigue Syndrome (CFS) Epidemiology Prevalence of 0. 5% More common in females (6: 1) Sudden onset Preceding virus infection (‘flu-like illness, outbreaks, specific viruses) Exposure to toxins, chemicals, pesticides, vaccination Pre-existing emotional stress
Chronic Fatigue Syndrome (CFS) Studies of Pathogenesis Immune system - IC’s, Ig. G, B cells, NK Th 2 phenotype cytokine dysregulation / chronic immune activation Infection Nervous system - virus, bacterium Endocrine system Cardiovascular system Psychological function Genetic predisposition - slight HPA axis vasodilatation depression & anxiety deduced from twin studies paresis, visual loss, ataxia, confusion abnormal metabolism of 5 -HIAA, A-V, 5 -HT, PRL brain scan abnormalities
Active infections / insults in 200 CFS patients Enterovirus Chlamydia pneumoniae Epstein-Barr virus Recurrent VZV infection Parvovirus B 19 infection Hepatitis C virus Cytomegalovirus Postvaccination (pn, MMR or flu) Toxic mould exposure Recurrent HHV-6 infection 109 18 6 6 3 3 2 1 Unknown 44 Chia et al. Clin Infect Dis 2003; 36: 671 -2.
Chronic Fatigue Syndrome (CFS) Treatment Graded exercise therapy (GET) Cognitive behavioural therapy (CBT) Immunological – IVIG, interferon, terfenadine, Pharmacological – hydrocortisone, NADH, DA agonist, MAOI, Vit B analog, galanthamine, fludrocortisone, antidep, SSRI, acyclovir, IFN inducer Supplements – magnesium Complementary / alternative – massage, osteopathy Other – buddy/mentor program specific treatment of virus infection
Hypothesis for prolonged fatigue / CFS Insults Initial processes A B C D E F G H I J K Final common pathway(s) CFS
Overview of basic cell processes
Microarray
Microarray
GENES Taqman real-time PCR Test gene Control gene
Pilot study Study of Gene Expression in Chronic fatigue syndrome Pilot study - 2005 Hypothesis: that abnormalities of gene regulation occur in CFS 25 CFS patients & 25 normal controls Gene levels determined by Microarray analysis (9, 522 genes) & real-time PCR
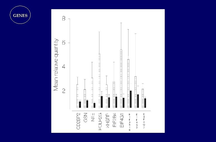
Pilot study 16 CFS-associated Genes Immune IL-10 RA CD 2 BP 2 IL-10 receptor alpha CD 2 antigen binding protein 2 Neurological PRKCL 1 GABARAPL 1 KHSRP NTE GSN Protein kinase C-like 1 GABA(A) receptor associated protein like-1 KH-type splicing regulatory protein Neuropathy target esterase Gelsolin Mitochondrion MRPL 23 EIF 2 B 4 EIF 4 G 1 Mitochondrial ribosomal protein L 23 Euk. translation initiation factor 2 B, subunit 4δ, tv-1 Euk. Translation initiation factor 4 G, subunit 1, tv-5 Apoptosis / cell cycle PDCD 2 ANAPC 11 BRMS 1 Programmed cell death 2, tv-1 Anaphase promoting complex subunit 11 homolog Breast cancer metastasis suppressor 1 Peroxisome ABCD 4 PEX 16 ATP-binding cassette subfamily D, member 4 Peroxisomal biogenesis factor 16 Transcription POLR 2 G RNA polymerase II (DNA-directed) polypeptide G
GENES
Pilot study Conclusion A complex pathogenesis Support for a biological process in CFS
Hypothesis A working model of CFS T lymphocyte Macrophage
Hypothesis A working model of CFS T lymphocyte Macrophage cytokines, etc
GENES What are the human and virus gene signatures of CFS? Phase 1 -continued Repeat microarray study CFS patients and normal controls Determine levels of ALL human and virus genes
Phase-1 cont. Phase-1 continued Study Clinical aspects 1. Diagnosis according to CDC criteria (Fukuda et al, 1994) 2. Assessment of health & associated symptoms: CIDI Cantab Mc. Gill Chalder MOS-SF 36 SPHERE Pittsburgh
GENES Virus & Human genes in CFS Microarray study Microarray 47, 000 human genes 27 CFS pts / 54 normals East Dorset CFS Service MPSS Study MPSS ALL genes sequenced 20 CFS pts / 20 normals University of Cardiff
GENES Microarray 182 MPSS 15 Immune Response Neurological genes Mitochondrial genes Selective Regulation 52
Phase-1 cont.
GENES
GENES
GENES Human micro. RNAs in CFS
GENES Confirmation of specificity of CFS gene signature Phase 2 Idiopathic CFS (n=500) Infection-associated CFS (n=50) Prolonged fatigue (n=50) Normal fatigue (n=25) Normals (n=100) Rheumatoid arthritis (n=50) Osteoarthritis (n=50) Endogenous depression (n=50)
GENES Associations of CFS-associated genes with symptoms Phase 3 CFS-associated symptoms CFS-associated genes Time (12 months)
GENES Virus genes in CFS 28 microbes MPSS Study Known virus triggers 28 microbes Herpesviruses Enteroviruses Parvoviruses Coxiella burnetii Mycoplasma pneumoniae Chlamydia pneumoniae etc.
TREATMENT DEVELOPMENT Clinical trials of treatment candidates Phase 4 Human NFKB IL-6 Interferon-b HIF 1 a T cell activation Virus Acyclovir Pleconoril Clarithromycin Interferon-b
TREATMENT DEVELOPMENT Clinical trials of treatment candidates Phase 4 Human NFKB IL-6 HIF 1 a T cell activation Virus Interferon-b Acyclovir Pleconoril Clarithromycin
Biomarkers Development of a diagnostic test for CFS SELDI-PC
Biomarkers SELDI-PC
Biomarkers Diagnostic test for CFS **Collaboration with Dept of Paediatrics, Imperial College London
Clinical Centres
Acknowledgements CLINICAL COLLABORATORS Dr Selwyn Richards, Dorset CFS Service Dr Janice Main, Imperial College London Professor Terry Daymond, Sunderland Professor Andrew Smith, University of Cardiff Dr David Honeybourne, Birmingham Dr Amolak Bansal, St Helier Hospital, Surrey Professor Jon Ayres, Aberdeen University Professor Robert Peveler, University of Southampton Professor David Nutt, University of Bristol Dr John Axford, St George’s University of London Dr Russell Lane, Charing Cross Hospital, London Dr John K Chia, UCLA Medical Centre, CA, USA Dr Derek Enlander, NY, USA Dr Paul Langford, Imperial College London Professor Mike Levin, Imperial College London FUNDING CFS Research Foundation, Hertfordshire, UK STUDY DESIGN & LABORATORY WORK Deepika Devanur, St George’s University of London Robert Petty, St George’s University of London Beverley Burke, St George’s University of London Narendra Kaushik, Imperial College London Rob Wilkinson, Imperial College London Clare Mc. Dermott, Dorset CFS Service Jane Montgomery, Dorset CFS Service David Fear, Kings College London Tim Harrison, UCL Paul Kellam, UCL David AJ Tyrrell, CFS Research Foundation Stephen T Holgate, University of Southampton Emile Nuwaysir, Nimblegen Inc, USA. Don Baldwin, University of Pennsylvania, USA Peter Rogers, NBS Diana Carr, NBS Julie Williams, NBS Frank Boulton, NBS Andrew Bell, Poole Hospital