Cholesterol and Steroid Metabolism 1 Cholesterol Definition Roles
Cholesterol and Steroid Metabolism 1
Cholesterol • • Definition Roles of Cholesterol Sources of cholesterol Cholesterol synthesis & degradation 2
Definition • Cholesterol is the most common animal sterol • A fat-like substance, found in animal products and also made in the liver. 3
Roles of Cholesterol • Membrane component • Steroid synthesis • Bile acid/salt precursor • Vitamin D precursor 4
Sources of Cholesterol Diet De novo synthesis Cholesterol synthesized in extrahepatic tissues Liver cholesterol pool Secretion of HDL and VLDL Free cholesterol In bile Conversion to bile salts/acids 5
Cholesterol Structure 6
Two main sources of cholesterol: Dietary cholesterol comes from the foods ( eggs, meat, fish, dairy products, and butter and in foods that contain animal products like cake, cookies and muffins). Fruits, vegetables, and grains do not contain cholesterol. Blood cholesterol Found in the blood & it comes from both the cholesterol made by liver and the cholesterol and fat from diet. 7
Cholesterol Synthesis • Cholesterol is synthesized by virtually all tissues in humans, although liver, intestine, adrenal cortex, and reproductive tissues, including ovaries, testes, and placenta, make the largest contributions to the body's cholesterol pool. • Similar to ketogenic pathway • Occurs in cytosol • Requires NADPH and ATP (The pathway is endergonic, being driven by hydrolysis of the highenergy thioester bond of acetyl coenzyme A and the terminal phosphate bond of ATP. 8
• Highly regulated (responsive to changes in cholesterol concentration, and regulatory mechanisms exist to balance the rate of cholesterol synthesis within the body against the rate of cholesterol excretion). • 80 % in liver, ~10% intestine, ~5% skin The vast majority of cholesterol is produced in the liver, with quite a bit being produced in the intestines. In addition to these two sources, a number of cells make a small amount of cholesterol for localized use in the body. 9
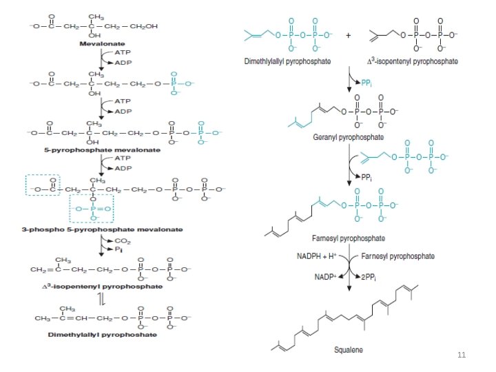
1. 3 -hydroxy-3 -methylglutaryl (HMG) Co. A The first two reactions in the cholesterol synthetic pathway are similar to those in the pathway that produces ketone bodies. They result in the production of HMG Co. A. First, two acetyl Co. A molecules condense to form acetoacetyl Co. A. Next, a third molecule of acetyl Co. A is added, producing HMG Co. A, a six-carbon compound. 2. Synthesis of mevalonic acid (mevalonate) The next step, the reduction of HMG Co. A to mevalonic acid, is catalyzed by HMG Co. A reductase. and is the ratelimiting and key regulated step in cholesterol synthesis. It occurs in the cytosol, uses two molecules of NADPH as the reducing agent, and releases Co. A, making the reaction irreversible. 10
11
12
Regulation of cholesterol synthesis • HMG Co. A reductase, the ratelimiting enzyme, is the major control point for cholesterol biosynthesis, and is subject to different kinds of metabolic control: 13
1. Sterol-dependent regulation of gene expression: Expression of the HMG Co. A reductase gene is controlled by the transcription factor, SREBP (sterol regulatory element– binding protein) that binds DNA at the cis-acting sterol regulatory element (SRE) of the reductase gene. SREBP is an integral protein of the ER membrane 2. Sterol-accelerated enzyme degradation: The reductase itself is an integral protein of the ER membrane. When sterol levels in the cell are high, the reductase binds to specific proteins. This binding leads to ubiquitination and proteasomal degradation of the reductase. 14
3. Sterol-independent phosphorylation /dephosphorylation: HMG Co. A reductase activity is controlled covalently through the actions of AMP–activated protein kinase (AMPK), and a phosphatase 4. Hormonal regulation: The amount (and, therefore, the activity) of HMG Co. A reductase is controlled hormonally. An increase in insulin favors up-regulation of the expression of the HMG Co. A reductase gene. Glucagon has the opposite effect. 15
HMG Co. A reductase - Phosphorylation HMG Co. A reductase – OH (active) HMG Co. A reductase – P (inactive) AMP-Activated Protein Kinase (high activity) (+) phosphatase AMP (+) insulin kinase AMP-Activated Protein Kinase (low activity) increase c. AMP Glucagon/epi 16
5. Inhibition by drugs: • The statin drugs (atorvastatin, fluvastatin, lovastatin, pravastatin, rosuvastatin, and simvastatin) are structural analogs of HMG Co. A, and are reversible, competitive inhibitors of HMG Co. A reductase (They are used to decrease plasma cholesterol levels in patients with hypercholesterolemia. 17
Lowering Cholesterol • Statins – decrease HMG Co. A reductase activity 18
Elimination of Cholesterol / Conversion into bile acid derivatives After secretion of the primary bile salts into the intestine, they may be deconjugated and dehydroxylated by the bacterial flora, forming secondary bile salts. Dehydroxylation occurs at position 7, forming the deoxy family of bile salts. 19
20
Steroid Hormones • Cholesterol is the precursor of all classes of steroid hormones: 1. glucocorticoids (for example, cortisol), 2. mineralocorticoids (for example, aldosterone), and 3. sex hormones—androgens, estrogens, and progestins 21
• Glucocorticoids and mineralocorticoids are collectively called corticosteroids • Synthesis and secretion occur in the adrenal cortex (cortisol, aldosterone, androgens), • ovaries and placenta (estrogens and progestins), and • Testes (testosterone). • Steroid hormones are transported by the blood from their sites of synthesis to their target organs. 22
Synthesis of steroid hormones • Synthesis involves shortening the hydrocarbon chain of cholesterol, and hydroxylation of the steroid nucleus. • The initial and rate-limiting reaction converts cholesterol to the 21 -carbon pregnenolone. • NADPH and molecular oxygen are required for the reaction. • Pregnenolone is the parent compound for all steroid hormones. • Pregnenolone is oxidized, then isomerized to progesterone, which is further modified to the other steroid hormones (such as testosterone, cortisol, aldosterone) by hydroxylation reactions. 23
Secretion of adrenal cortical steroid hormones • Steroid hormones are secreted on demand from their tissues of origin in response to hormonal signals. • Corticosteroids androgens are made in different regions of the adrenal cortex, and are secreted into blood in response to different signals. 24
1. Cortisol • It is secreted by the middle layer of the adrenal cortex. • The secretion is controlled by the hypothalamus, to which the pituitary gland is attached. • Cortisol allows the body to respond to stress through its effects on intermediary metabolism and the inflammatory response. 25
2. Aldosterone • A hormone produced by the outersection of the adrenal cortex in the adrenal gland. • Acts in the kidney to cause the conservation of sodium, secretion of potassium, increased water retention, and increased blood pressure. • It’s overall effect is increasing ions- and water- reabsorption in the kidney. 26
3. Androgens • Stimulates or controls the development and maintenance of male characteristics in vertebrates by binding to androgen receptors. This includes the activity of the accessory male sex organs and development of male secondary sex characteristics. • Androgens are also the original anabolic steroids and the precursor of all estrogens, the female sex hormones. The primary and most well-known androgen is testosterone. 27
Degradation of steroid hormones • Steroid hormones are generally converted into inactive metabolic excretion products in the liver. • Reactions include reduction of unsaturated bonds and the introduction of additional hydroxyl groups. • The resulting structures are made more soluble by conjugation with glucuronic acid or sulfate. • Approximately 20– 30% of these metabolites are secreted into the bile and then excreted in the feces, • whereas the remainder are released into the blood and filtered from the plasma in the kidney, passing into the urine. These conjugated metabolites are fairly water-soluble and do not need protein carriers. 28
- Slides: 28