chemists Molecular things you have Molecular things you































- Slides: 31
chemists Molecular things you have ? Molecular things you want
Molecular things you have Nam Le Molecular things you want
Synthesis Requires Two Things 1. a library of reactions 2. a strategy or plan for combining known reactions to reach the desired target molecule 3. and a little luck always helps
goal (a desired molecular structure)
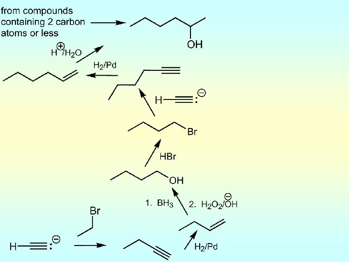
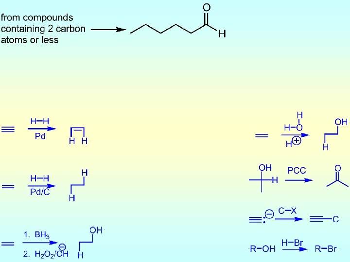
Work the problem from the final goal toward the reactants. goal subgoal-1 a subgoal-2 a Have a library of reactions that connect a goal to a subgoal-1 b subgoal-2 b subgoal-3 a subgoal-3 b
Work the problem from the final goal toward the reactants. Have a library of reactions that connect a goal to a subgoal. Using your knowledge of each reaction select the best pathway as your solution to the synthetic problem.
Work the problem from the final goal toward the reactants. Have a library of reactions that connect a goal to a subgoal. Using your knowledge of each reaction select the best pathway as your solution to the synthetic problem.
Discodermolide The result of biological studies stimulated considerable interest in discodermolide as a possible immunosuppressant. Subsequently studies demonstrated discodermolide is a potent cell growth inhibitory agent, which arrests cell development at the M phase by binding and stabilizing mitotic spindle microtubules. Thus, the ability of (+)-1 to inhibit cell growth was suggested to resemble the clinically proven anticancer agent Taxol.
Discodermolide isolated from a marine sponge
Discodermolide Some problems with pharmaceuticals from natural sources: Quantities can be very limited. The isolation process can be very expensive. Industrial production can destroy valuable ecosystems. More active structural variants are not available from nature.
Discodermolide Some problems with pharmaceuticals from natural sources: Quantities can be very limited. The isolation process can be very expensive. Industrial production can destroy valuable ecosystems. More active structural variants are not available from nature.
Discodermolide isolated from a marine sponge
Discodermolide chemical synthesis available chemicals
Discodermolide chemical synthesis
commercially available
General Scheme of a new reaction:
Example. : muscalure, the sex attractant of the common housefly
General Reaction Scheme of a new reaction:
Problems in synthetic chemistry Work the problem from the final goal toward the reactants. Have a library of reactions that connect a goal to a subgoal. Using your knowledge of each reaction select the best pathway as your solution to the synthetic problem.