CHE310 Organic Chemistry I Dr James Lyle office





















































- Slides: 53
CHE-310 Organic Chemistry I Dr. James Lyle; office: NSM D-323 (310) 243 -3388 or 243 -3376 jlyle@csudh. edu office hours: MWF: 9 -10: 00 am & Tu: 8: 00 -9: 00 am
Web page: http: //chemistry. csudh. edu/
texts: Organic Chemistry, Morrison & Boyd (6 th) Supplement to. . . , Morrison & Boyd (optional) Supplement. . . Model kit
Grading: traditional, no curve! A=100%-93%, A-=92%-90%, B+=89%-88%, B=87%-83%, etc. Daily exams 4 exams @ 100 pts final exam homework = 100 = 400 = 100 required 600 Daily exams No make ups! Drop two lowest scores. Begin at 10: 00!
Daily Homework: Required! (hold until called for) Cheating: Don’t do it! The penalties are severe. Turn off all cell phones and pagers!
Organic Chemistry; difficult, challenging! “memorization course” (NOT! well…maybe), body of knowledge + application of theory! How to succeed? 1. look over the text before lecture. 2. listen carefully to lectures 3. read the text (take notes) 4. do the homework (twice. . . ? ) 5. review
Organic Chemistry - the study of the compounds of carbon, their properties and the changes that they undergo. Descriptive approach - nomenclature syntheses reactions mechanisms. . .
First: review topics from gen. chem. important to o-chem. atomic structure subatomic particles: mass charge protons 1 amu +1 neutrons 1 amu 0 ~0 amu - 1 electrons nucleus: protons & neutrons electron shells & subshells: electrons
atomic number = number of protons in the nucleus of the atom (different for each element); Hydrogen = 1, Helium = 2, Lithium = 3, . . . [also the number of electrons in a neutral atom] Iron = 26 26 protons = +26 26 electrons=-26 net charge= 0
atomic mass = mass of an atom; sum of the weights of the protons & neutrons. But, not all atoms of a given element are identical. isotopes - atoms of the same element with different numbers of neutrons.
examples of isotopes prot. neut. % H 1 H 2 C 12 C 13 C 14 1 1 0 1 99. 985 0. 015 6 6 6 6 7 8 98. 89 1. 11 . . . Cl 35 Cl 37 F 19 17 17 18 20 75. 53 24. 47 9 10 100
atomic weight: weighted average mass of the atoms; combining weight. . . electrons => energy shells & subshells about the nucleus. shells = 1, 2, 3, 4, . . . subshells = s, p, d, f orbitals = region in space where an electron of given energy is likely to be found; no more than two electrons of opposite spin per orbital (Pauli exclusion principle).
maximum number of electrons per subshell: s 2 p 6 d 10 f 14
order of filling 1 s 2 s 2 p 3 s 3 p 3 d 4 s 4 p 4 d 4 f 5 s 5 p 5 d 5 f 6 s 6 p 6 d 6 f spectral notation: 1 s 2, 2 p 6…
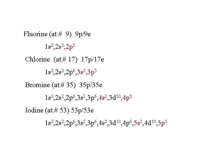
Fluorine (at. # 9) 9 p/9 e 1 s 2, 2 p 5 Chlorine (at. # 17) 17 p/17 e 1 s 2, 2 p 6, 3 s 2, 3 p 5 Bromine (at. # 35) 35 p/35 e 1 s 2, 2 p 6, 3 s 2, 3 p 6, 4 s 2, 3 d 10, 4 p 5 Iodine (at. # 53) 53 p/53 e 1 s 2, 2 p 6, 3 s 2, 3 p 6, 4 s 2, 3 d 10, 4 p 6, 5 s 2, 4 d 10, 5 p 5
valence electrons = electrons in the outermost shell Fluorine has 7 valence elect. Chlorine has 7 valence elect. Bromine has 7 valence elect. Iodine has 7 valence elect.
periodic chart of the elements metals & nonmetals families (groups) of elements alkali metals (group I) Li, Na, K, . . . alkaline earths (group II) Be, Mg, Ca, . . . halogens (group VII) F, Cl, Br, I, . . . noble gases (group VIII or 0) He, Ne, Ar, . . . group number = valence elec.
Chemical bonding (classical) chemical bond: force that holds atoms together in compounds. ionic bond ~ between metals & non-metals covalent bond ~ between non-metals & non-metals
definitions: ionic bond: a chemical bond formed by the transfer of valence electrons to achieve noble gas electron configurations, resulting in ions held together by electrostatic attraction. covalent bond: chemical bond formed by the sharing of valence electrons to achieve noble gas electron configurations.
ionic bond example: sodium chloride sodium = Na, atomic # 11 1 s 2, 2 p 6, 3 s 1 neon = Ne, atomic # 10 1 s 2, 2 p 6 if Na loses 1 elect. then it will have a noble gas elect. config. like Ne but will be charged, +1 ( 11 p/10 e ). => Na+ sodium ion
chlorine = Cl, atomic # 17 1 s 2, 2 p 6, 3 s 2, 3 p 5 argon = Ar, atomic # 18 1 s 2, 2 p 6, 3 s 2, 3 p 6 if chlorine can gain an electron it will have a noble gas electron config. like argon but will be charged -1 (17 p/18 e) Clsodium chloride = Na. Cl or Na+Cl-
covalent bonds Lewis Dot representations H . . Be. . . . C. Ne H 2 O = . . H : O. . : H see homework! review your gen chem text! . . : Cl. . . O. . .
atomic orbitals s p d etc.
hybrid atomic orbitals s + p s + p => 3 sp 2 s + p + p => 4 sp 3 => 2 sp hybrids
Hybrid atomic orbitals: sp = linear; 180 o sp 2 = trigonal; 120 o sp 3 = tetrahedral; 109. 5 o
VSEPR (valence shell electron pair repulsion) prediction of hybridization number of ligands (X) plus number of unshared pair of valence electrons (E) equals number of orbitals needed what type of hybrid orbitals are needed
. . eg. H 2 O => H: . . O : H or . . H—O—H. . 2 ligands + 2 lone pair = 4 orbitals AX 2 E 2 sp 3 tetrahedral, 109. 5 o water is a bent molecule with bond angles of 105 o
VSEPR AX 2 sp 180 o linear AX 3 sp 2 120 o trigonal AX 2 E sp 2 ~120 o or “bent” AX 4 sp 3 109. 5 o tetrahedral AX 3 E sp 3 ~109. 5 o or “pyramidal AX 2 E 2 sp 3 ~109. 5 o or “bent”
We can use the VSEPR method to predict the shape and bond angles for simple covalent molecules. SHAPE is important! review gen chem text! Do the homework!!!!!
Polarity Covalent bonds are polar when the two atoms sharing electrons have different electronegativities. eg. H—Cl δ+ δa charge separation or a dipole gives a polar bond. . . O 2 : O=O: has a non-polar bond
Representation of dipoles using vectors a) magnitude = length b) direction = positive negative A molecule will be non-polar if the vector sum of the bond dipoles is zero; eg. they cancel one another. A molecule with be polar if the vector sum of the bond dipoles is non-zero.
Determining polarity of covalent molecules: 1. Lewis dot structure 2. VSEPR hybridization shape of the molecule 3. dipoles for polar bonds 4. vector sum of the bond dipoles 5. vector sum = 0 non-polar molecule 6. vector sum 0 polar molecule
CO 2 : O=C=O: sp linear vector sum = 0 non-polar molecule H 2 O . . H—O—H AX 2 E 2 sp 3 tetrahedral (bent) . . vector sum 0 polar molecule!
CH 3 OH Both C & O are sp 3 hybridized. The bond dipole vectors do not cancel each other and the molecule is polar. NB: must know shape to determine polarity!
Intermolecular forces. Attractions between molecules. ionic attractions (very strong) Na+Cl. Cl-Na+ dipole-dipole attractions H—Br Br—H hydrogen bonding ( H attached to N, O, F ) H—O----H—O | H H van der Waals (London forces) (weak) Br—Br
intermolecular attractions strongest ionic attractions dipole-dipole / hydrogen bonding van der Waals weakest ionic bonds => ionic attractions polar covalent => dipole-dipole attractions non-polar covalent => van der Waals
Cl 2 non-polar covalent => van der Waals CO 2 non-polar covalent => van der Waals H 2 O polar covalent => dipole-dipole & Hydrogen bonding CH 4 non-polar covalent => van der Waals KBr ionic bonding => ionic attractions
bonding => shape => polarity => physical properties: melting point boiling point solubility The stronger the intermolecular forces the higher the mp/bp. Ionic substances have significantly higher mp/bp than do covalent substances. [note: mp/bp also increase with increasing size. ]
Prediction of mp/bp (relatively high or low? ): mp bp Mg(OH)2 ionic => ionic attractions 350 o. C -- CH 3 OH polar => dipole-dipole + H-bond -94 o. C 65 o. C CH 2 O polar => dipole-dipole -920 C -21 o. C CH 3 non-polar => van der Waals -183 o. C – 89 o. C
Solubility “like dissolves like” ~ water soluble? must be ionic or highly polar + H-bond (hydrophilic) ~ water insoluble? must be non-polar or weakly polar (hydrophobic) Most organic compounds are water insoluble!
Acids/Bases historic: acids – from L. acidus = “sour” sour taste react with metals H 2 react with bases water + salts change litmus red react with limestone CO 2 examples: HCl, H 2 SO 4, HNO 3, HCl. O 4
historic: bases - bitter taste soapy feel react with acids water + salts change litmus blue examples: Na. OH, Al(OH)3, K 2 CO 3, Na. HCO 3
Lowry-Brønsted Acid - a substance that donates a proton (H+) in a chemical reaction. Lowry-Brønsted Base – a substance that accepts a proton (H+) in a chemical reaction. CH 3 Mg. Br + NH 3 CH 4 + Mg(NH 2)Br base acid base Na. OH + H 2 SO 4 H 2 O + Na. HSO 4 base acid base
Lewis Acid – a substance that accepts an electron pair in a chemical reaction to form a covalent bond. Lewis Base – a substance that donates an electron pair in a chemical reaction to form a covalent bond. - + BF 3 + : NH 3 F 3 B: NH 3 Lewis Lowry-Brønsted
Rule: acid/base reactions must run “down hill. ” stronger acid/base weaker acid/base H 2 SO 4 + H 2 O HSO 4 - + H 3 O+ stronger weaker acid base acid H 2 O + NH 3 NH 4+ + OH weaker stronger acid base (note direction of reactions)
Within a period of the periodic chart, acid strength increases with increasing electronegativity: CH 4 < NH 3 < H 2 O < HF Within a family of elements, acid strength increases with increasing size: HF < HCl < HBr < HI
Which is the stronger acid? H 2 O or H 2 S? oxygen & sulfur are in the same family and sulfur is bigger: H 2 S > H 2 O What is the order of base strength? F- Cl- Br- I- in the halogen family base strength decreases with increasing size: - > Cl- > Br- > I- F
Will H 2 O react with Na. SH as shown below? H 2 O + Na. SH Na. OH + H 2 S WA SA no, H 2 O < H 2 S Will the following reaction proceed as shown? HI + Na. Cl HCl + Na. I SA WA yes, HI > HCl
Isomers - different compounds with the same molecular formula. example: C 2 H 6 O CH 3 CH 2 OH CH 3 OCH 3 ethyl alcohol dimethyl ether bp 78 o. C bp – 24 o. C