Charm production in the dipole approach Introduction Charm



















































- Slides: 51
Charm production in the dipole approach Introduction Charm structure function Charm pt distribution in e. A Charm production in pp and p. A Summary (focus on saturation effects) F. S. N. , V. P. Gonçalves and E. Cazaroto IFUSP / BRAZIL
Introduction Heavy enough for perturbative QCD Why charm ? Light enough to be abundant more important at low x saturation effects ? How to calculate ? Collinear factorization + DGLAP evolution KT factorization + unintegrated gluon densities Zotov´s talk Color dipole + dipole cross section Dipoles: easy inclusion of saturation effects Nikolaev, Zakharov (1991), A. Müller (1994)
ep: boson-gluon fusion pp: gluon-gluon fusion color (singlet) dipole color (octet) dipole A p A
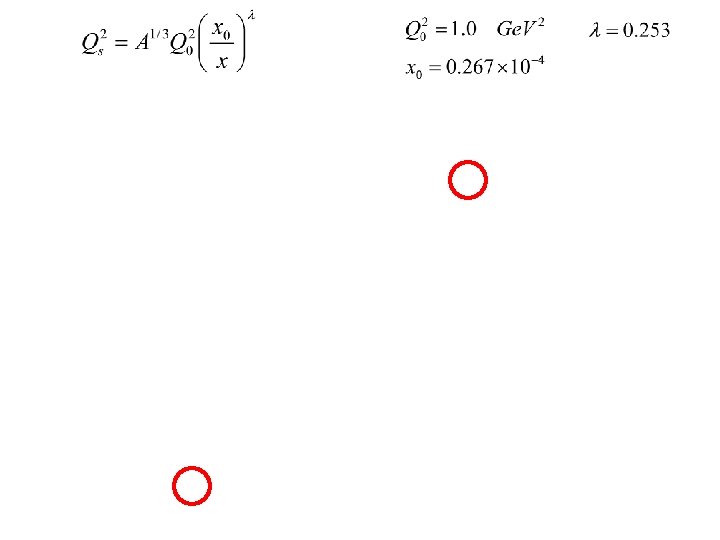
Charm structure function in e. A Albacete´s talk Stasto´s talk Armesto (2002) QCD input: in the dipole – proton cross section ! A A
Dipole – proton cross section Golec-Biernat - Wüsthoff GBW (1998) Bartels – Golec-Biernat - Kowalski BGK (2002) Kowalski - Teaney IPsat (2003) Iancu – Itakura - Munier IIM (2004) Kharzeev - Kovchegov -Tuchin KKT (2004) Kowalski - Motyka - Watt b. CGC (2006) Dumitru - Hayashigaki – Jalilian-Marian DHJ (2006) Gonçalves – Kugeratski – Machado – Navarra GKMN (2006) Marquet - Peshanski - Soyez MPS (2007) Boer - Utermann - Wessels BUW (2008) Albacete – Armesto – Milhano - Salgado rc. BK (and others. . . sorry for omissions) (2009)
Linear limit with dipoles dp GBW KKT linear IIM full rc. BK (all numerical) saturation
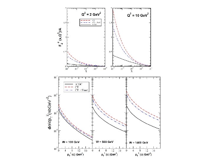
d. A Mixed description: from GRV 98 from EKS 98 Color transparency (CT) Color transparency + Shadowing (CT + Shad) Linear - p: linear
Charm structure function in e. A Pb Pb Linear - p Gonçalves, Kugerastski, Navarra (2010) Saturation: reduction by a factor 3 to 4 at Almost no reduction Gonçalves, Kugerastski, Navarra (2005)
Linear limit without dipoles Saturation: reduction by a factor ~ 2 Stasto´s talk
Linear limit without dipoles Collinear factorization approach: Coefficient function from p. QCD DS: de Florian, Sassot (2004) EPS: Eskola, Paukkunen, Salgado (2008) Difficult to see saturation Cazaroto, Gonçalves, Carvalho, Navarra (2009)
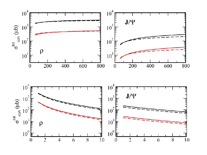
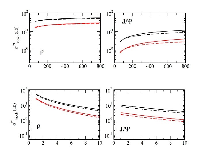
e. A Heavy quark pt distribution Flöter, Kopeliovich, Pirner, Raufeisen (2007) A A
e. A 3 -4 5 -8 1. 5 - 2 charm Gonçalves, Kugerastski, Navarra (2010) ~2 ~3 bottom ~1. 5
e. A charm 2 3 -4 ~3 ~1. 5 5 ~4 Gonçalves, Kugerastski, Navarra (2010) bottom
e. A D meson pt distribution Peterson fragment. Gonçalves, Kugerastski, Navarra (2010)
Charm production in p. A collisions Kopeliovich, Tarasov (2002) GRV 98
pp Merino et al. (2009) C-Rays PHENIX C-Rays nucl-ex/0607015 KT fac UA 2 NLO QCD KT factorization Cazaroto, Gonçalves, Navarra in progress Merino, Pajares, Ryzhinskiy, Shabelski, Shuvaev, ar. Xiv: 0910. 2364
p. A Total cross section linear p Saturation: reduction by 10 % with x going down to
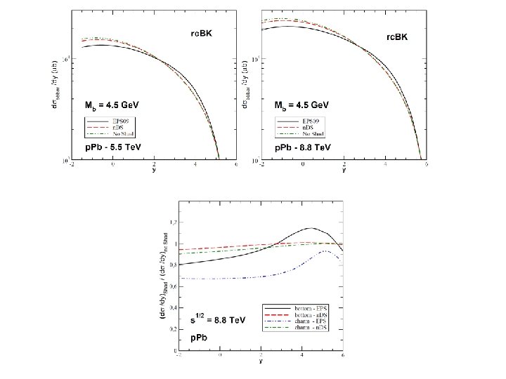
Rapidity distribution Saturation: reduction by 1. 7 at y = 6
Summary Well established dipole model for charm production in ep, e. A, pp and p. A Different ways to estimate the linear predictions in e. A and p. A: CT (overestimates linear regime) CT+Shad Linear p (underestimates linear regime) F 2 c: almost no suppression with (linear-p) F 2 c: large suppression factors (3 – 4) with (CT , CT+Shad) Rc: no sign of saturation F 2 c: large suppression factors (2) in other approaches e. A @ 1 Te. V: large suppression factors (1. 5 – 8) in d. N/d pt (CT , CT+Shad) Dipole models reproduce well the data on p. A @ 10 Te. V: reduction by 10 % (or 1. 1) in the total cross section (linear-p) p. A @ 10 Te. V: reduction by 1. 7 in d. N/dy at large y (linear–p)
pp Not so small r GBW rc. BK (? ) Very small r
Discussion On charm production in pp and AA : Merino, Pajares, Ryzhinskiy, Shabelski, Shuvaev, ar. Xiv: 0910. 2364 STAR data KT factorization NLO QCD FONLL KT factorization Will we have data on total cross section from Tevatron? Disagreement between PHENIX and STAR is gone ?
Tevatron data KT factorization NLO QCD Fragmentation ? If STAR was right enhanced production might have non-pert. origin: strong fields Should we prefer KT factorization?
pp C-Rays Merino et al. (2009) PHENIX UA 2 Cazaroto, Gonçalves, Navarra in progress Merino et al. (2009)
NLO QCD Merino, Pajares, Ryzhinskiy, Shabelski, Shuvaev, ar. Xiv: 0910. 2364 KT factorization
F 2 R = full / linear
Charm structure function in the KLN model Glück, Reya, Stratmann (1994) Glück, Reya, Vogt (1995) Coefficient function from p. QCD saturation linear Kharzeev, Levin, Nardi (2001)
ep Carvalho, Durães Navarra, Szpigel (2009)
e. A
Charm production in p. A collisions Kopeliovich, Tarasov (2002)
Back ups
Introduction NLO collinear factorization Fixed Order plus Next to Leading Log (FONLL)
KT factorization
Color dipole formalism
p. A
p. A Rapidity distribution Saturation: reduction by 1. 7 at y = 6