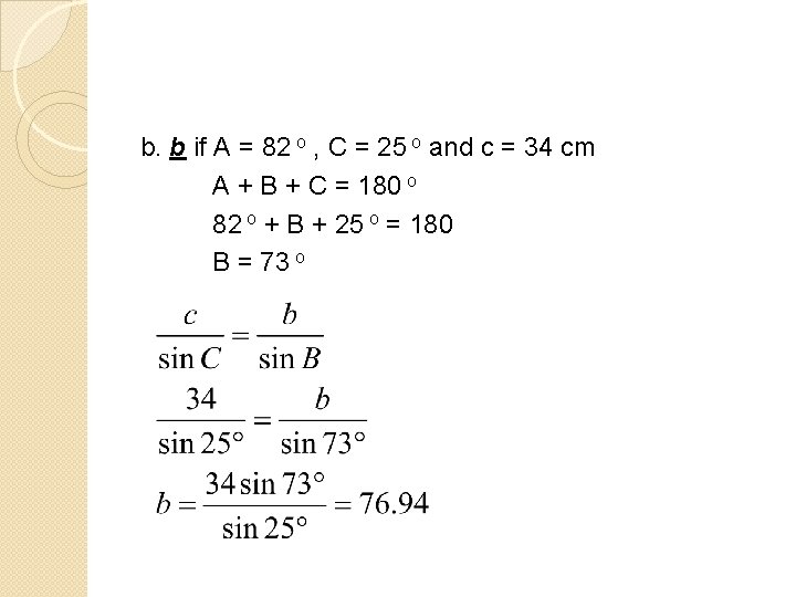
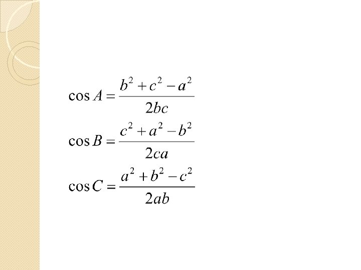
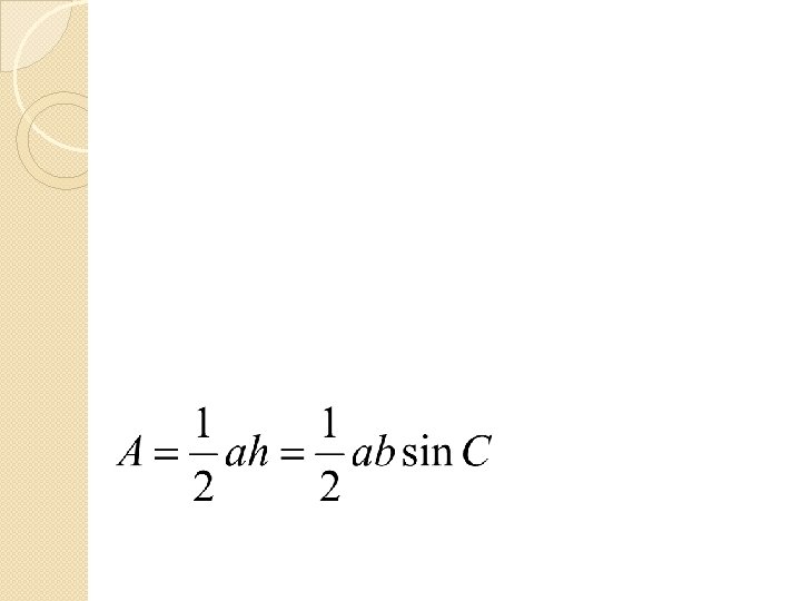
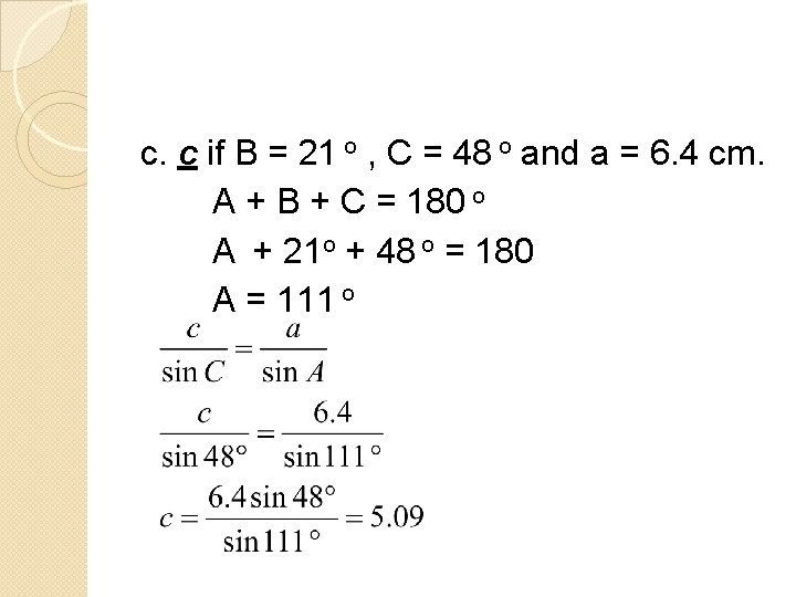
Chapter 9 Nonright Angled Triangle Trigonometry Opening problem

Sign up to view full document!
SIGN UP
  • Slides: 38
Download presentation