Chapter 7 Fourier Analysis Fourier analysis Fourier series

























































- Slides: 57
Chapter 7: Fourier Analysis Fourier analysis = Fourier series + Fourier transform ◎ Fourier Series -- A periodic (T) function f(x) can be written as the sum of sines and cosines of varying amplitudes and frequencies 7 -1
○ Some function is formed by a finite number of sinuous functions 7 -2
Some function requires an infinite number of sinuous functions to compose 7 -3
• Spectrum The spectrum of a periodic function is discrete, consisting of components at dc, , and its multiples, e. g. , For non-periodic functions, i. e. , The spectrum of the function is continuous 7 -4
○ In complex form: Compare with 7 -5
Euler’s formula: 7 -6
7 -7
7 -8
Continuous case 7 -9
◎ Fourier Transform Discrete case: • Vector-Matrix form 7 -10
7 -11
Let 7 -12
。 Example: f = {1, 2, 3, 4}. Then, N = 4, 7 -13
7 -14
7 -15
○ Inverse DFT Let 7 -16
。 Example: 7 -17
◎ Properties ○ Linearity: Show: 7 -18
Application: Noise removal f’ = f + n, n: additive noise It may be easier to identify than n. 7 -19
○ Scaling : Show: Assignment : Show 7 -20
○ Periodicity: 7 -21
7 -22
○ Shifting: 7 -23
。 Example: 7 -24
Compared with: 7 -25
7 -26
◎ Convolution theorem: Convolution: ◎ Correlation theorem Correlation: * : conjugate 7 -27
◎ Fast Fourier Transform (FFT) -- Successive doubling method Let Assume Let N = 2 M. 7 -28
7 -29
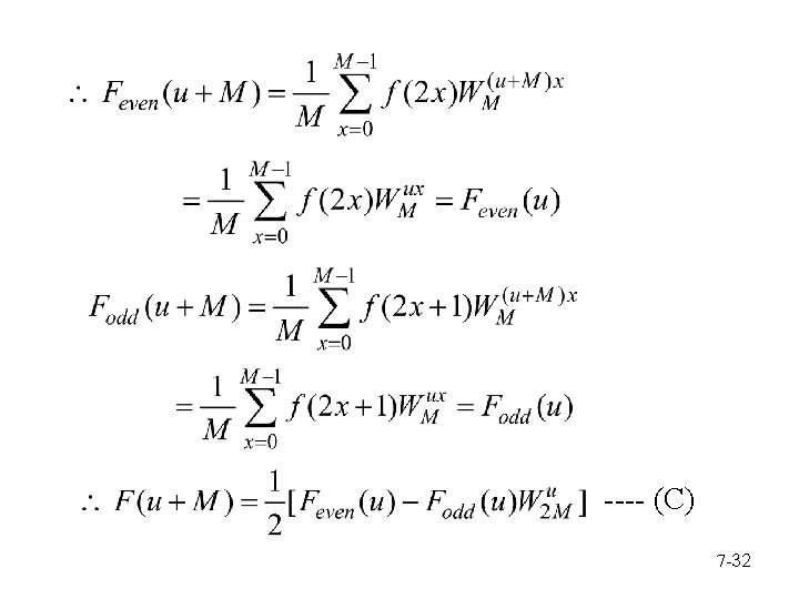
Let ----- (B) Consider 7 -30
7 -31
○ Analysis : The Fourier sequence F(u), u = 0 , … , N-1 of f(x), x = 0 , … , N-1 can be formed from sequences u = 0 , …… , M-1 Recursively divide F(u) and F(u+M), eventually each contains one element F(u), i. e. , u = 0, and F(u) = f(x). 7 -33
7 -34
○ Example: Input { f(0), f(1), ……, f(7) } Computing needs { f(0), f(2), f(4), f(6) } even Computing needs { f(1), f(3), f(5), f(7) } odd { f(0), f(4)}, { f(2), f(6) { f(0), f(2), f(4), f(6) } } even odd { f(1), f(3), f(5), f(7) } { f(1), f(5)}, {f(3), f(7) } 7 -35
{ f(0)}, { { f(0), f(4)} even odd { f(1)}, { { f(1), f(5)} { f(2)}, { { f(2), f(6)} even odd { f(3)}, { { f(3), f(7)} Reorder the input sequence into {f(0), f(4), f(2), f(6), f(1), f(5), f(3), f(7)} * Bit-Reversal Rule 7 -36
○ FFT Algorithm 7 -37
7 -38
。 Time complexity : the length of the input sequence FT: FFT: Times of speed increasing: N 4 8 16 32 64 128 256 512 1024 FT 16 84 256 1024 4096 16384 65536 262144 1048576 FFT Ratio 8 24 64 160 384 896 2048 4608 10240 2. 67 4. 0 6. 4 10. 67 18. 3 32. 0 56. 9 102. 4 7 -39
○ Inverse FFT ← Given ← compute i. Input into FFT. The output is ii. Taking the complex conjugate and multiplying by N , yields the f(x) 7 -40
◎ 2 D Fourier Transform ○ FT: IFT: 7 -41
◎ Properties ○ DC coefficient: ○ Separability: 7 -42
7 -43
○ Conjugate Symmetry: F(u, v) = F*(-u, -v) 7 -44
○ Shifting 7 -45
○ Rotation Polor coordinates: 7 -46
○ Display: effect of log operation 7 -47
7 -48
◎ Image Transform 7 -49
◎ Filtering in Frequency Domain ○ Low pass filtering I FT m IFT 7 -50
D=5 D = 30 ○ High pass filtering 7 -51
Different Ds 7 -52
◎ Butterworth Filtering ○ Low pass filter ○ High pass filter 7 -53
○ Low pass filter ○ High pass filter 7 -54
◎ Homomorphic Filtering -- Deals with images with large variation of illumination, e. g. , sunshine + shadows -- Reduces intensity range and increases local contrast ○ Idea: I = LR, L: illumination, R: Reflectance log. I = log. L + log. R low frequency high frequency 7 -55
7 -56
7 -57