Chapter 7 Blood Pressure and Sound Function of
Chapter 7 Blood Pressure and Sound
Function of blood circulation: oxygen, nutrient metabolic waste Tissues
Blood pressure measurement (Ideal) Target: Blood pressure @ the heart chambers @ the peripheral vascular system Purpose: to help the physician to determine the functional integrity (完整) of the cardiovascular system Methods: 1. Direct (invasive) techniques 2. Indirect (noninvasive) techniques
Phonocardiography The sources of heart sounds: the variations set up by the accelerations and deaccelerations of blood
組織 大動脈 下大靜脈 肺 肺 組織 Figure 7. 1 The left ventricle ejects blood into the systemic circulatory system. The right ventricle ejects blood into the pulmonary circulatory system.
Valve: 瓣膜
https: //en. wikipedia. org/wiki/Heart_sounds By Madhero 88 - Own work, CC BY-SA 3. 0, https: //commons. wikimedia. org/w/index. php? curid=9692123
Heart valves https: //medicine. umich. edu/dept/cardiac-surgery/patient-information/adult-cardiac-surgery/adult-conditions-treatments/heart-valve-disease S 1 S 2 lub-dub Tricuspid Valve 三尖瓣, 右房室瓣. Mitral valve 僧帽瓣; 左房室瓣. Pulmonary valve 肺動脈瓣, (出右心室處). Aortic valve 主動脈瓣.
Heart valve diseases Heart valves can have three basic kinds of problems: • Regurgitation or backflow occurs when a valve doesn't close tightly. Blood leaks back into the chamber rather than flowing forward through the heart or into an artery. In the United States, backflow is most often due to prolapse. "Prolapse" is when the flaps of the valve flop or bulge back into an upper heart chamber during a heartbeat. Prolapse mainly affects the mitral valve, but it can affect the other valves, as well. • Stenosis occurs when the flaps of a valve thicken, stiffen, or fuse together. This prevents the heart valve from fully opening, and not enough blood flows through the valve. Some valves can have both stenosis and backflow problems. • Atresia occurs when a heart valve lacks an opening for blood to pass through. Source: https: //medicine. umich. edu/dept/cardiac-surgery/patient-information/adult-cardiac-surgery/adult-conditionstreatments/heart-valve-disease Regurgitation 回流 Prolapse 脫垂 Stenosis 狹窄 Atresia 不通, 閉鎖.
7. 1 Direct Measurements Blood pressure sensors: Type 1) Extravascular pressure sensors Type 2) intravascular pressure sensors Types of sensor elements: Strain gage, linear-variable differential transformer, variable inductance, variable capacitance, optoelectronic, piezoelectric, semiconductor
Diaphragm A c B Armature C Rx ui D (a) R 2 Ry R 1 b a Strain-gage wires d (b) Stationary Moving R 4 R 3 D uo Ri
Diaphragm A c B Armature C (a) R 2 Rx ui D Ry R 1 b a R 4 R 3 Strain-gage wires d (b) D uo Ri Figure 2. 2 (a) Unbonded strain-gage pressure sensor. The diaphragm is directly coupled by an armature to an unbonded strain-gage system. With increasing pressure, the strain on gage pair B and C is increased, while that on gage pair A and D is decreased. (b) Wheatstone bridge with four active elements. R 1 = A, R 2 = B, R 3 = D, and R 4 = C when the unbonded strain gage is connected for translation motion. Resistor Ry and potentiometer Rx are used to initially balance the bridge. vi is the applied voltage and Dv 0 is the output voltage on a voltmeter or similar device with an internal resistance of Ri.
Figure 2. 2 Diaphragm A c B Armature C (a) R 2 Rx ui D Ry R 1 b a R 4 R 3 Strain-gage wires d (b) D uo Ri Figure 2. 2 (a) Unbonded strain-gage pressure sensor. The diaphragm is directly coupled by an armature to an unbonded strain-gage system. With increasing pressure, the strain on gage pair B and C is increased, while that on gage pair A and D is decreased. (b) Wheatstone bridge with four active elements. R 1 = A, R 2 = B, R 3 = D, and R 4 = C when the unbonded strain gage is connected for translation motion. Resistor Ry and potentiometer Rx are used to initially balance the bridge. vi is the applied voltage and Dv 0 is the output voltage on a voltmeter or similar device with an internal resistance of Ri.
Diaphragm A c B Armature C (a) R 2 Rx ui D Ry R 1 b a R 4 R 3 Strain-gage wires d (b) D uo Ri Figure 2. 2 (a) Unbonded strain-gage pressure sensor. The diaphragm is directly coupled by an armature to an unbonded strain-gage system. With increasing pressure, the strain on gage pair B and C is increased, while that on gage pair A and D is decreased. (b) Wheatstone bridge with four active elements. R 1 = A, R 2 = B, R 3 = D, and R 4 = C when the unbonded strain gage is connected for translation motion. Resistor Ry and potentiometer Rx are used to initially balance the bridge. vi is the applied voltage and Dv 0 is the output voltage on a voltmeter or similar device with an internal resistance of Ri.
Flush solution under pressure Sensing port Sample and transducer zero stopcock Roller clamp Electrical connector Disposable pressure transducer with an integral flush device Figure 7. 3 Extravascular pressure-sensor system A catheter couples a flush solution (heparinized saline) through a disposable pressure sensor with an integral flush device to the sensing port. The three-way stopcock is used to take blood samples and zero the pressure sensor.
7. 3 Dynamic properties of the pressure sensor Static pressure Blood pressure (dynamic)
Models of liquid-filled catheter sensor: Distributed-parameter model: More accurate; More complicated; Lumped-parameter model: Acceptable accuracy; Easier to work with;
Properties of liquid-filled catheter sensor: Property Hydraulic quantity Electric analog Inertia (慣性) Inertance Electric inductance (L) Friction (摩擦力 ) Resistance Electric resistance (R ) Elasticity (彈性 ) Compliance Electric capacitance (C ) (順從性) Pressure (P), pascal = N/m 2 Voltage (V), V Voluminal flow rate (F), m 3/s Current (I), C/s = A Liquid volume, m 3 Electric charge, coulomb
Hydraulic quantity Electric analog Pressure (P), pascal = N/m 2 Voltage (V), V Voluminal flow rate (F), m 3/s Current (I), C/s = A Liquid volume, m 3 Electric charge, coulomb △P F I +△V-
Compliance vs capacitance Given d. V C small Q small
Small L Big L
Physical model & Analogous electrical model Analogous (adj. ) 類似的 Analog (adj. ) 類比式的 Sensor (a) P Diaphragm Catheter Liquid Rc Lc Incremental length Rc Lc Rc DV Lc Rs Ls (b) Cc Cc Cc Cs C d= DV DP Figure 7. 7 (a) Physical model of a catheter-sensor system. (b) Analogous electric system for this catheter-sensor system. Each segment of the catheter has its own resistance Rc, inertance Lc, and compliance Cc. In addition, the sensor has resistor Rs, inertance, Ls, and compliance Cs. The compliance of the diaphragm is Cd.
Rc Poiseuille equation: a physical law that describes slow viscous incompressible flow through a constant circular cross-section
Lc
Cd >, =, < Compliance: Ball Clay Elasticity: Ball Clay
Sensor (a) P Diaphragm Catheter Liquid Rc Lc Incremental length Rc Lc Rc DV Lc Rs Ls (b) Cc Cc Cc Cs C DV d= DP Figure 7. 7 (a) Physical model of a catheter-sensor system. (b) Analogous electric system for this catheter-sensor system. Each segment of the catheter has its own resistance Rc, inertance Lc, and compliance Cc. In addition, the sensor has resistor Rs, inertance, Ls, and compliance Cs. The compliance of the diaphragm is Cd.
Lc Rc Physical model & Analogous electrical model L R cd cd Cb Analogous (adj. ) 類似的 Analog (adj. ) 類比式的 uo (t) Cd Sensor (a) P Diaphragm Catheter Liquid Rc Lc Incremental length Rc Lc Rc DV Lc Rs Ls (b) Cc Cc Cc Cs C d= DV DP Figure 7. 7 (a) Physical model of a catheter-sensor system. (b) Analogous electric system for this catheter-sensor system. Each segment of the catheter has its own resistance Rc, inertance Lc, and compliance Cc. In addition, the sensor has resistor Rs, inertance, Ls, and compliance Cs. The compliance of the diaphragm is Cd.
Catheter liquid inertia Catheter liquid resistance Sensor diaphragm compliance (a) Lc Rc Lcd ui (t) Cb Rcd Cd uo (t) (b) Lc Rc Cb ui (t) (c) Cd uo (t) Figure 7. 8 (a) Simplified analogous circuit. Compliance of the sensor diaphragm is larger than compliance of catheter or sensor cavity for a bubble-free, noncompliant catheter. The resistance and inertance of the catheter are larger than those of the sensor, because the catheter has longer length and smaller diameter. (b) Analogous circuit for catheter-sensor system with a bubble in the catheter. Catheter properties proximal to the bubble are inertance Lc and resistance Rc. Catheter properties distal to the bubble are Lcd and Rcd. Compliance of the diaphragm is Cd; Compliance of the bubble is Cb. (c) Simplified analogous circuit for catheter-sensor system with a bubble in the catheter, assuming that Lcd and Rcd are negligible with respect to Rc and Lc.
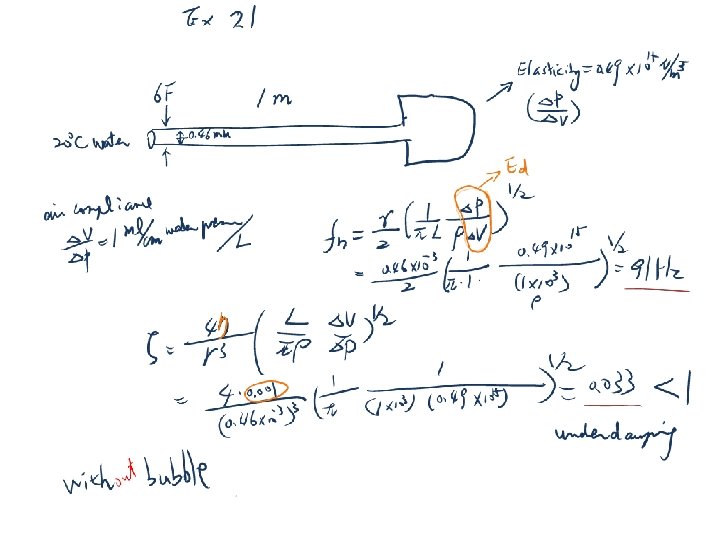
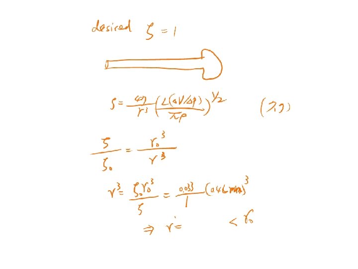
Example 7. 1 Sensor Pin (real) (a) Pout (measured) P Diaphragm Catheter Liquid Rc Lc Incremental length Rc Lc Rc DV Lc Rs Ls (b) Cc Cc Cc Cs C d= DV DP
fn = 91 Hz = 0. 033 10 fn = 22 Hz = 0. 137 uo (jw) ui (jw) 1. 0 No bubble Bubble 0. 1 0. 01 0. 02 0. 04 0. 06 0. 1 0. 22 0. 4 0. 6 f / fn 1 0. 91 2 4 6 8 10 Figure 7. 9 Frequency-response curves for catheter-sensor system with and without bubbles. Natural frequency decreases from 91 Hz to 22 Hz and damping ratio increases from 0. 033 to 0. 137 with the bubble present.
Sensor (a) P Diaphragm Catheter Liquid Rc Lc Incremental length Rc Lc Rc DV Lc Rs Ls (b) Cc Cc Cc Cs C d= DV DP
Threeway stopcock Surgical glove Match O-ring Air Saline Rubber washer Sphygmomanometer bulb Figure 7. 10 Transient-response technique for testing a pressure-sensor-catheter-sensor system.
Figure 7. 11 Pressure-sensor transient response Negative-step input pressure is recorded on the top channel; the bottom channel is sensor response for a Statham P 23 Gb sensor connected to a 31 -cm needle (0. 495 mm ID). (From I. T. Gabe, "Pressure Measurement in Experimental Physiology, " in D. H. Bergel, ed. , Cardiovascular Fluid Dynamics, vol I, New York: Academic Press, 1972. )
Figure 7. 12 A sinusoidal pressure-generator test system A low-frequency sine generator drives an underwater-speaker system that is coupled to the catheter of the pressure sensor under test. An "ideal" pressure sensor, with a frequency response from 0 to 100 Hz, is connected directly to the test chamber housing and monitors input pressure. Pressure sensor "Ideal“ sensor Catheter Underwater speaker Saline Low-frequency sine generator
7. 6 Bandwidth requirements for measuring blood pressure May ignore harmonics of the blood pressure waveform higher than the tenth. e. g. : 20 Hz bandwidth would be enough for a heart rate of 120 bpm (or 2 Hz) Measurements of the derivative of the pressure signal increase the bandwidth requirements.
7. 7 Typical pressure-waveform distortion Overdamping: due to air bubbles or blood clots due to pinching the catheter Catheter whip (猛然挪動): The catheter is bent and whipped in a region of high pulsatile flow
7. 13 Indirect Measurements of Blood Pressure
7. 13 Indirect Measurements of Blood Pressure A rubber bulb for inflation of the cuff (橡膠球) (充氣) An inflatable cuff for occlusion of the blood vessel A mercury for detection of pressure Sphygmomanometern 血壓計
Figure 7. 20 Typical indirect blood-pressure measurement system The sphygmomanometer cuff is inflated by a hand bulb to pressures above the systolic level. Pressure is then slowly released, and blood flow under the cuff is monitored by a microphone or stethoscope placed over a downstream artery. The first Korotkoff sound detected indicates systolic pressure, whereas the transition from muffling to silence brackets diastolic pressure. (From R. F. Rushmer, Cardiovascular Dynamics, 3 rd ed. , 1970. Philadelphia: W. B. Saunders Co. Used with permission. )
Normal blood pressure values
- Slides: 47