Chapter 5 Statistical Models in Simulation Basic Probability
Chapter 5 Statistical Models in Simulation
Basic Probability Theory Concepts • Discrete random variables • Continuous random variables • Cumulative distribution function • Expectation
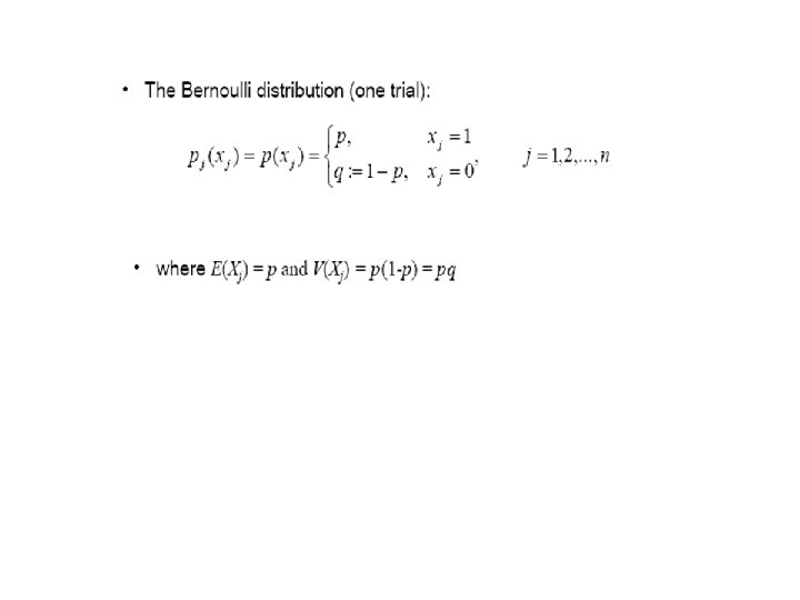
Discrete Distributions Discrete random variables are used to describe random phenomena in which only integer values can occur. • Bernoulli trials and Bernoulli distribution • Binomial distribution • Geometric distribution • Poisson distribution
-N Bernoulli trials where trials are independent -Each trial has only two possible outcomes: S or F and -Prob of success remains constant for each trial.
§Models the no of independent events that occur in some fixed amt of time or space
Summary: Discrete Probability Distributions 1. Binomial Distribution: Models No. of successes in n bernoulli trials 2. Geometric Distribution: Models no. of Bernoulli trials to achieve 1 st success 3. Negative Binomial Distribution: Models no. of Bernoulli trials to achieve kth success. 4. Poisson Distribution: Models no. of independent events that occur in fixed amount of time or space.
Continuous Distributions Continuous random variables can be used to describe random phenomena in which the variable can take on any value in some interval. • Uniform • Exponential • Weibull • Normal • Lognormal
pdf cdf
Exponential Distribution 1. It describes the time between the events in a poisson process. 2. Used to model the IATs when the arrivals are completely random and to model STs that are highly variable. 3. It can be used to model situations where certain events occur with a constant probability per unit length. 4. In the Queuing theory, it can be used to model STs of agents in the system. 5. It can also be used to model lifetime of the component that fails catastrophically.
Proof=?
Gamma Distribution • A random variable X is gamma distributed with parameters β and θ if its pdf is given by =0 • , Otherwise cdf of X is given by Fig. Pdf with θ =1 and β=1, 2, 3…… • Mean and Variance of Gamma Distribution are given by
• • The gamma distribution is frequently a probability model for waiting times Notation: X~┌(β, θ) or X~gamma(β, θ) Fig. Pdf with θ =1 and β=1, 2, 3…….
• If β is an integer Gamma Distribution is related to Expo. Distri. : If X=X 1+X 2+……. . +Xβ Where pdf of X j is given by and Xj are mutually independent, then X has pdf of Gamma Distribution. • When β =1 => Expo distri results.
Erlang Distribution: The pdf of Gammma Distri is called Erlang Distri of order k when β =k , an integer. • E(X)=E(X 1) +E(X 2)+………+E(Xk) = • • Mode= (k-1) / (kθ ) The cdf of Erlang distributed random variable X is given by • Reliability Function: Probability that system will operate for at least x hours. R(x) = 1 - F(x)
Triangular Distribution • Models a process when only the min, most likely and max. values of the distribution are known. • A Random variable X has a triangular distribution if its pdf is given by where a ≤ b ≤ c. • Mean and Mode are computed as: • cdf is given by 1 , Otherwise
Weibull Distribution • Models time to failure for the component. • A random variable X has a Weibull distribution if its pdf has the form • When v=0 and β =1 Weibull distribution is reduced to Exponential distribution with parameter λ =1/α • The mean and variance of Weibull distribution are given by • The cdf of Weibull distribution is given by
Figure Weibull probability density functions for selected values of and .
Models the process that can be thought as the sum of a number of component processes. E. g. Time to assemble a product
Models a process that can be thought of as a product of a number of component processes. E. g. Rate of return on the investment.
Empirical Distributions • A distribution whose parameters are the observed values in a sample of data. • May be used when it is impossible or unnecessary to establish that a random variable has any particular parametric distribution.
Table: Arrivals per party distribution Fig. Histogram of the party size Fig. Empirical cdfof party size
Useful Statistical Models • Queueing systems • Inventory and supply-chain systems • Reliability and maintainability • Limited data
- Slides: 47