Chapter 5 Normal Distribution Introduction to continuous probability
Chapter 5 Normal Distribution
ü Introduction to continuous probability distributions ü Normal distribution and it’s general features ü Standard ü The normal distribution applications of normal distributions
Section 1 -- Introduction to continuous probability distributions
【EXAMPLE 1】The weight of 1402 pregnant women was measured.
TABLE 2. 1 The frequency distribution of weight from 1402 pregnant women
Probability density weight
Type of graph Y axis Frequency distribution graph f histogram f/i Probability density f/i·n f frequency i interval width in frequency distribution table n sample size
Section 2 --normal distribution and it’s general features
When the class intervals become more and more finer, the peak line of histogram will turn into a smooth curve. This is normal distribution. The area under normal curve is 1, because the cumulative percentage is 1.
The characteristics of this family of curves were developed by Abraham de Moivre and karl Friedrich Gauss, so also called Gaussian distribution.
Other examples of normal distribution. ü RBC ü WBC ü Hb ü Blood pressure ü Height ü Weight
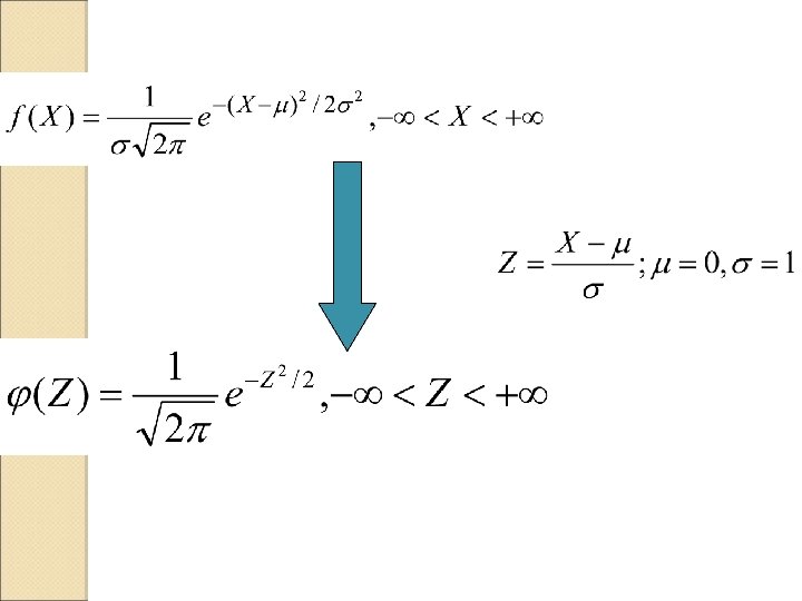
The probability density function for a normal random variable Population mean The probability density, or variance the height of vertical axis Circle rate (3. 14258)
If X has a normal distribution with mean μ and standard deviation σ Then we denote this X~N( μ, σ2)
The probability distribution function for a normal random variable The area between -∝ to X 1
f(x ) a x b
General features of Normal Distribution 1 The distribution is centered at mean 2 The distribution is symmetric. 3 The distribution has two parameters. One is μ( location parameter), the other is σ (variability parameter)
FIG 3 the shift of the graph of the normal density function for various values of μ , the location parameter
σ =0. 5 σ =1 σ =2 FIG 4 the effect on the graph of normal density function of various values of σ , the “spread” of the distribution linkage
4 The distribution regularity of area under the normal curve Fig 5 the normal curve and it’s area distribution
Section 3 --Standard normal distribution
Normal distribution Standard normal distribution 1 x Z
The area under normal curve area (probability) : -the shaded area from negative infinitive to negative Z
General features of Standard Normal Distribution 1 The distribution is centered at 0 2 The distribution is symmetric.
3 The distribution regularity of area under the standard normal curve. Fig 6 the standard normal curve and it’s area distribution
The second decimal place of Z value Combination the number on the column with the corresponding Z value on the row, then Look up cross point Normal Distribution Z 0 0. 01 0. 02 0. 03 0. 04 0. 05 0. 06 0. 07 0. 08 0. 09 0. 0 0. 1 0. 2 0. 3 0. 4 0. 5 0. 6 0. 7 0. 8 0. 9 0. 5000 0. 4600 0. 4210 0. 3820 0. 3450 0. 3090 0. 2740 0. 2420 0. 2120 0. 1840 0. 4960 0. 4560 0. 4170 0. 3780 0. 3410 0. 3050 0. 2710 0. 2390 0. 2090 0. 1810 0. 4920 0. 4520 0. 4130 0. 3750 0. 3370 0. 3020 0. 2680 0. 2360 0. 2060 0. 1790 0. 4880 0. 4480 0. 4090 0. 3710 0. 3340 0. 2980 0. 2640 0. 2330 0. 2030 0. 1760 0. 4840 0. 4440 0. 4050 0. 3670 0. 3300 0. 2950 0. 2610 0. 2300 0. 2010 0. 1740 0. 4800 0. 4400 0. 4010 0. 3630 0. 3260 0. 2910 0. 2580 0. 2270 0. 1980 0. 1710 0. 4760 0. 4360 0. 3970 0. 3590 0. 3230 0. 2880 0. 2550 0. 2240 0. 1950 0. 1690 0. 4720 0. 4330 0. 3940 0. 3560 0. 3190 0. 2840 0. 2510 0. 2210 0. 1920 0. 1660 0. 4680 0. 4260 0. 3900 0. 3520 0. 3160 0. 2810 0. 2480 0. 2180 0. 1890 0. 1640 0. 4250 0. 3860 0. 3480 0. 3120 0. 2780 0. 2450 0. 2150 0. 1870 0. 1610 1. 1 1. 2 1. 3 1. 4 1. 5 1. 6 1. 7 1. 8 1. 9 0. 1590 0. 1360 0. 1150 0. 0968 0. 0808 0. 0668 0. 0548 0. 0446 0. 0359 0. 0287 0. 1560 0. 1340 0. 1130 0. 0915 0. 0792 0. 0655 0. 0537 0. 0436 0. 0352 0. 0281 0. 1540 0. 1310 0. 1110 0. 0934 0. 0778 0. 0643 0. 0526 0. 0427 0. 0344 0. 0274 0. 1520 0. 1290 0. 1090 0. 0918 0. 0764 0. 0630 0. 0516 0. 0418 0. 0336 0. 0268 0. 1480 0. 1270 0. 1080 0. 9010 0. 0749 0. 0618 0. 0505 0. 0409 0. 0329 0. 0262 0. 1470 0. 1250 0. 1060 0. 0885 0. 0735 0. 0606 0. 0495 0. 0401 0. 0322 0. 0265 0. 1450 0. 1230 0. 1040 0. 0869 0. 0721 0. 0594 0. 0485 0. 0392 0. 0314 0. 0250 0. 1420 0. 1210 0. 1020 0. 0853 0. 0708 0. 0582 0. 0475 0. 0384 0. 0307 0. 0244 0. 1400 0. 1190 0. 1000 0. 0838 0. 0694 0. 0571 0. 0465 0. 0375 0. 0301 0. 0239 0. 1380 0. 1170 0. 0985 0. 0823 0. 0681 0. 0559 0. 0455 0. 0367 0. 0294 0. 0233
Table 1 critical value of standard normal curve 1 The area under normal curve is 1 2 The distributio n is symmetric at 0 3 The data represents one-tail area
Example 4. 1 Suppose that the scores on an aptitude test are normally distributed with a mean of 100 and standard deviation of 10. What is the probability that a randomly selected score is below 90?
Steps Calculate Z Look up Z critical value table and get probability
Solution Transform X into a standard normal variable. μ =100 and σ=10, Thus a score of 90 can be represented as 1 standard deviation below the mean P(X<90)=P(Z<-1. 0)
Table 1 critical value of standard normal curve
The probability that Z is smaller than -1 is 0. 1587, so the probability of a score less than 90 is 15. 87%
Example 4. 2 What is the probability of a score between 90 and 115?
Solution Transform X into a standard normal variable. μ =100 and σ=10,
Table 1 critical value of standard normal curve
We wish to find the shaded area from Z=-1. 0 to Z=1. 5 15. 87% 6. 68% 77. 45% -1. 0 0 1. 5 100% - 6. 68% - 15. 87%= 77. 45%
Exercise 1 Suppose that diastolic blood pressure X in hypertensive women centers about 100 mm. Hg and has a standard deviation of 16 mm. Hg and is normally distributed. Find P(X<90) and P(X>124).
Solution Transform X into a standard normal variable. μ =100 and σ=16,
Table 1 critical value of standard normal curve
We wish to find the area when Z<-0. 625 or Z>1. 5 26. 43% -0. 625 6. 68% 0 1. 5
Section 4 --The application of normal distribution
1 Estimate reference range 2 Estimate distribution of frequency
1 Estimate reference range (95%) Reference range usually describes the variations of a measurement or value in healthy individuals. It is a basis for a physician or other health professional to interpret a set of results for a particular patient.
Definition of reference range ----The prediction interval between which 95% of values of a reference group fall into, in such a way that 5% of the time a sample value will be beyond this range.
Methods One-sided normal distribution two-sided One-sided Percentile method two-sided <P 95 Or >P 5 P 2. 5~P 97. 5
Two-sided values 2. 5% of the time a sample value will be less than the lower limit of this interval, and 2. 5% of the time it will be larger than the upper limit of this interval Examples: SBP, DBP, Weight……
One-sided values In many cases, only one side of the range is usually of interest, such as with markers of pathology including cancer antigen, where it is generally without any clinical significance to have a value below what is usual in the population. Therefore, such targets are often given with only one limit of the reference range given, and, strictly, such values are rather cut-off values or threshold values.
Example 4. 3 Suppose the concentration of hemoglobin in 120 health women is normally distributed with a mean of 117. 4 g/L and standard deviation 10. 2 g/L. What is the 95% reference range of hemoglobin?
SOLUTION Because it is abnormal whether hemoglobin is too higher or too lower. We should use two-sided range. So 95% reference range of hemoglobin is from 97. 41 to 137. 39 g/L
EXERCISE 2 Suppose the concentration of RBC in 144 health men is normally distributed with a mean of 5. 38 × 1012 g/L and standard deviation of 0. 44× 10. 2 g/L. What is 95% reference range of RBC?
SOLUTION Because it is abnormal whether RBC is too higher or too lower. We should use two-sided range. So 95% reference range of RBC is from 4. 52× 1012 to 6. 24× 1012 g/L
Example 4. 4 Measure the vital capacity of 110 health adult men and get a mean of 4. 2/L and standard deviation of 0. 7/L. What is 95% reference range of vital capacity ?
SOLUTION Because it is abnormal when vital capacity is too lower. We should use one-sided range. So 95% reference range of vital capacity is not less than 3. 052 L
Reference ranges can also be established directly from the 2. 5 th and 97. 5 th percentile of the measurements in the reference group. For example, if the reference group consists of 200 people, and counting from the measurement with lowest value to highest, the lower limit of the reference range would correspond to the 5 th measurement and the upper limit would correspond to the 195 th measurement. This method can be used even when measurement values do not appear to conform conveniently to any form of normal distribution or other function.
2 Estimate frequency distribution Example 5. 4 Suppose that the scores on CET-4 are normally distributed with a mean of 70 and standard deviation of 6. What is the probability that a randomly selected score is larger than 80?
Solution Transform X into a standard normal variable. P(X>80)=P(Z>1. 67)=0. 0475 So the probability that a randomly selected score is larger than 80 is 0. 0475. that is to say, the scores of 4. 75% people is higher than 80
An instructor is administering a final examination. She tells her class that she will give an A grade to the 10% of the students who earn the highest marks. Past experience with the same examination has yielded grades that are normally distributed with a mean of 70 and SD of 10. If the same present class runs true to form, what numerical score would a student need to earn an A grade?
Step one P (One-sided area)=0. 1 Z? 10% Z=1. 28
Table 1 critical value of standard normal curve
Step two Z=1. 28 x? x=82. 8
- Slides: 62