Chapter 5 Logarithmic Exponential and Other Transcendental Functions

  • Slides: 33
Download presentation
Chapter 5 Logarithmic, Exponential, and Other Transcendental Functions

Chapter 5 Logarithmic, Exponential, and Other Transcendental Functions

For x 0 and 0 a 1, y = loga x if and only

For x 0 and 0 a 1, y = loga x if and only if x = a y. The function given by f (x) = loga x is called the logarithmic function with base a. Every logarithmic equation has an equivalent exponential form: y = loga x is equivalent to x = a y A logarithm is an exponent! A logarithmic function is the inverse function of an exponential function. Exponential function: y = ax Logarithmic function: y = logax is equivalent to x = ay

y The function defined by f(x) = loge x = ln x (x 0,

y The function defined by f(x) = loge x = ln x (x 0, e 2. 718281 ) is called the natural logarithm function. y = ln x 5 – 5 y = ln x is equivalent to e y = x In Calculus, we work almost exclusively with natural logarithms! x

Definition of the Natural Logarithmic Function

Definition of the Natural Logarithmic Function

Theorem 5. 1 Properties of the Natural Logarithmic Function

Theorem 5. 1 Properties of the Natural Logarithmic Function

Natural Log

Natural Log

Natural Log Passes through (1, 0) and (e, 1). You can’t take the log

Natural Log Passes through (1, 0) and (e, 1). You can’t take the log of zero or a negative. (Same graph 1 unit right)

Theorem 5. 2 Logarithmic Properties

Theorem 5. 2 Logarithmic Properties

Properties of Natural Log: Expand: Write as a single log:

Properties of Natural Log: Expand: Write as a single log:

Properties of Natural Log: Expand: Write as a single log:

Properties of Natural Log: Expand: Write as a single log:

Definition of e

Definition of e

Theorem 5. 3 Derivative of the Natural Logarithmic Function

Theorem 5. 3 Derivative of the Natural Logarithmic Function

Derivative of Logarithmic Functions The derivative is Notice that the derivative of expressions such

Derivative of Logarithmic Functions The derivative is Notice that the derivative of expressions such as ln|f(x)| has no logarithm in the answer. Example: Solution:

Example

Example

Example

Example

Example Product Rule

Example Product Rule

Example

Example

Example

Example

Example

Example

Example

Example

Theorem:

Theorem:

Theorem:

Theorem:

Theorem 5. 4 Derivative Involving Absolute Value

Theorem 5. 4 Derivative Involving Absolute Value

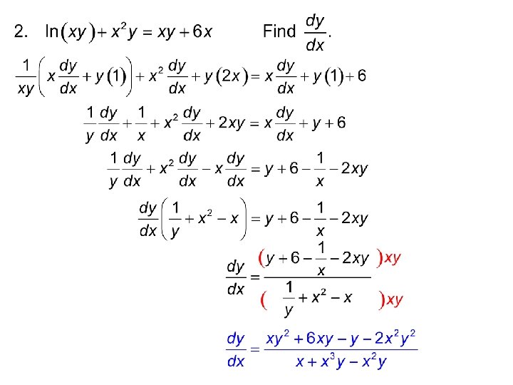
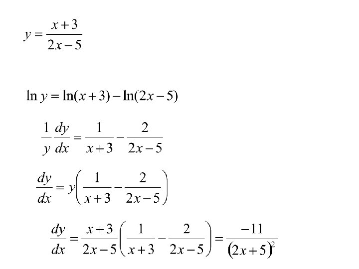
Try Logarithmic Differentiation.

Try Logarithmic Differentiation.

4. Show that statement is a solution to the.

4. Show that statement is a solution to the.

4. Show that statement is a solution to the.

4. Show that statement is a solution to the.

Find the equation of the line tangent to: At (1, 3) the slope of

Find the equation of the line tangent to: At (1, 3) the slope of the tangent is 2 at (1, 3)

Find the equation of the tangent line to the graph of the function at

Find the equation of the tangent line to the graph of the function at the point (1, 6).