Chapter 3 Queueing Systems in Equilibrium Leonard Kleinrock
Chapter 3 – Queueing Systems in Equilibrium Leonard Kleinrock, Queueing Systems, Vol I: Theory Nelson Fonseca State University of Campinas, Brazil
3. Birth-Death Queuing Systems in Equilibrium Equations: Transient solution Solution in equilibrium can not be generalized
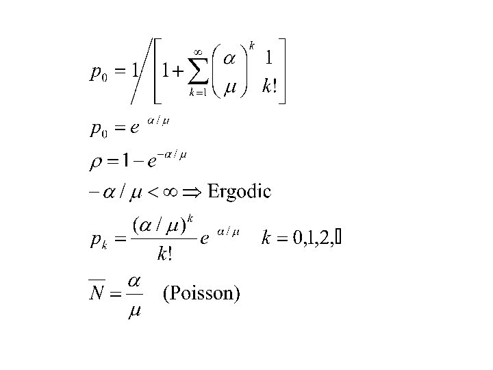
3. 1. Solution in Equilibrium Whereas pk is no longer a function of t, we are not claiming that the process does not move from state to state in this limiting case The long-run probability of finding the system with k members will be properly described by pk
0 0 1 k-1 1 1 2 k-1 2 k 0 k k k+1 Flow rate into Ek = k-1 pk-1 + k+1 pk+1 Flow rate out of Ek = ( k + k)pk In equilibrium (flow in = flow out) These equations are identical to the differential ones
Rather than surrounding each state we could choose a sequence of boundaries the first of which surrounds E 0, the second of which surrounds E 0 and E 1, and so on, we would have the following relationship:
Is there a solution in equilibrium? Ergodic: S 1 < S 2 = Recurrent null: S 1 = S 2 = Transient: S 1 = S 2 <
The M|M|1 queue: 0 1 2 k-1 k k+1
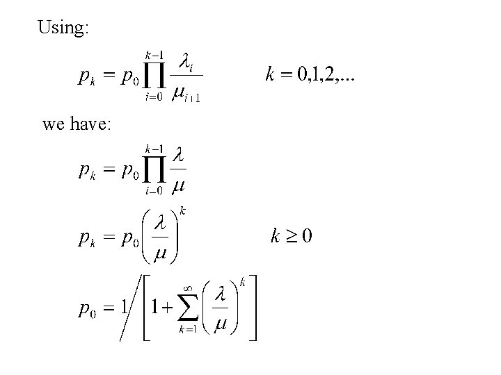
Using: we have:
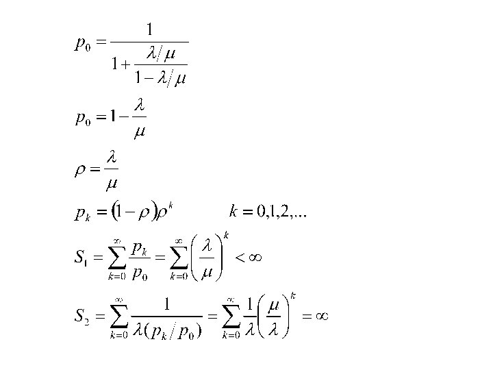
1 -r (1 -r) r pk (1 -r) r 2 (1 -r) r 3 0 1 2 3 k 4 5
0 r 1
– Probability of exceeding geometrically decreasing
3. 3. Discouraged Arrivals a/2 a 0 1 a/k 2 k-1 a/(k+1) k k+1
• 3. 4. M|M|∞ (Infinite Server) 0 1 2 2 k-1 k k k+1 (k+1)
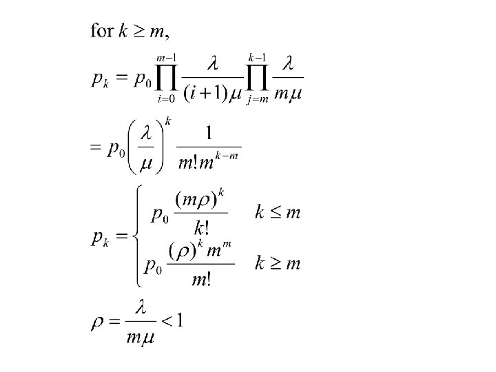
3. 5. M|M|m (m Server)
0 1 2 2 m-1 (m-1) m+1 m m m m
– P[queueing] – probability that no server is available in a system of m servers. Erlang’s C formula C(m, l/m)
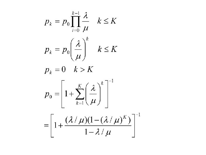
3. 6. M|M|1|k Finite Storage K=1 - Blocked calls cleared 0 1 2 K-2 K-1 K
3. 7. M|M|m|m m-Server Loss System
0 1 2 2 m-1 (m-1) m m
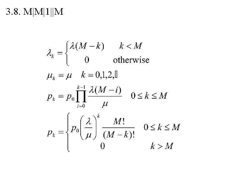
3. 8. M|M|1||M
M 0 (M-1) 1 2 2 M-2 M-1 M
M 0 (M-1) 1 2 2 2 M-1 (M-1) M M
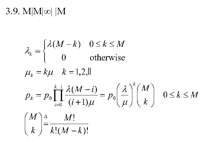
3. 10. M|M|m|K|M
Problem 3. 2 Consider a Markovian queueing system in which (a) Find the equilibrium probability pk of having k customers in the system. Express your answer in terms of p 0. (b) Give an expression for p 0.
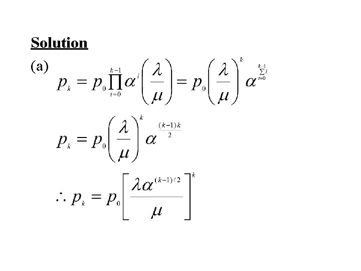
Solution (a)
(b) So Note for 0≤a<1, this system is always stable.
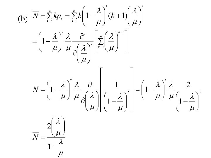
Problem 3. 5 Consider a birth-death system with the following birth and death coefficients: (a) Solve for pk. Be sure to express your answers explicitly in terms of , k, and only. (b) Find the average number of customers in the system.
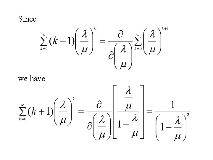
Solution (a) Here we demonstrate the “differentiation trick” for summing series (similar to that on page 69).
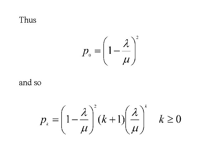
Since we have
Thus and so
- Slides: 41