CHAPTER 3 Fourier Representation of Signals and LTI




















![DTFS Properties Time Scaling If a is not an integer, some values of z[n] DTFS Properties Time Scaling If a is not an integer, some values of z[n]](https://slidetodoc.com/presentation_image_h/2f43f40be2f45fb20e9bd3e968f3b71f/image-21.jpg)














![Cont’d… Step 2: Solve for the frequency-domain, X[k]. From step 1, we found the Cont’d… Step 2: Solve for the frequency-domain, X[k]. From step 1, we found the](https://slidetodoc.com/presentation_image_h/2f43f40be2f45fb20e9bd3e968f3b71f/image-36.jpg)

- Slides: 37
CHAPTER 3 Fourier Representation of Signals and LTI Systems. EKT 232 1
3. 1 Introduction. þ Signals are represented as superposition's of complex sinusoids which leads to a useful expression for the system output and provide a characterization of signals and systems. þ Example in music, the orchestra is a superposition of sounds generated by different equipment having different frequency range such as string, base, violin and ect. The same example applied the choir team. þ Study of signals and systems using sinusoidal representation is termed as Fourier Analysis introduced by Joseph Fourier (1768 -1830). þ There are four distinct Fourier representations, each applicable to different class of signals. 2
Fourier Series Discrete Time Fourier series (DTFS) 3
Fourier Series Notice that in the summation is over exactly one period, a finite summation. This is because of the periodicity of the complex sinusoid, This occurs because discrete time n is always an integer.
Fourier Series 5
CT Fourier Series Definition 6
CTFS Properties Linearity 3/9/2021 Dr. Abid Yahya 7
CTFS Properties Time Shifting 3/9/2021 8
CTFS Properties Frequency Shifting (Harmonic Number Shifting) A shift in frequency (harmonic number) corresponds to multiplication of the time function by a complex exponential. Time Reversal 3/9/2021 9
CTFS Properties Change of Representation Time (m is any positive integer) 3/9/2021 Dr. Abid Yahya 10
CTFS Properties Change of Representation Time 3/9/2021 11
CTFS Properties Time Differentiation 3/9/2021 12
CTFS Properties Time Integration Case 1 Case 2 is not periodic 3/9/2021 . J. Roberts - All Rights Reserved 13
CTFS Properties Multiplication-Convolution Duality 3/9/2021 14
Fourier Series(DTFS) 3/9/2021 15
Fourier Series(DTFS) Notice that in the summation is over exactly one period, a finite summ This is because of the periodicity of the complex sinusoid, This occurs because discrete time n is always an integ 3/9/2021 16
Fourier Series(DTFS) 3/9/2021 17
DTFS Properties Linearity 3/9/2021 18
DTFS Properties Time Shifting 3/9/2021 19
DTFS Properties Frequency Shifting (Harmonic Number Shifting) 3/9/2021 20
DTFS Properties Time Scaling If a is not an integer, some values of z[n] are undefined and no DTFS can be found. If a is an integer (other than 1) then z[n] is a decimated version of x[n] with some values missing and there cannot be a unique relationship between their harmonic functions. However, if then 3/9/2021 21
DTFS Properties Change of Representation Time (q is any positive integer) 3/9/2021 22
DTFS Properties Multiplication. Convolution Duality First Backward Difference 3/9/2021 Dr. Abid Yahya 23
The Fourier Transform
Extending the CTFS • The CTFS is a good analysis tool for systems with periodic excitation but the CTFS cannot represent an aperiodic signal for all time • The continuous-time Fourier transform (CTFT) can represent an aperiodic signal for all time 3/9/2021 Dr. Abid Yahya 25
Definition of the CTFT Forward f form w form Inverse Commonly-used notation: or 3/9/2021 26
Some Remarkable Implications of the Fourier Transform The CTFT expresses a finite-amplitude, real-valued, aperiodic signal which can also, in general, be time-limite as a summation (an integral) of an infinite continuum of weighted, infinitesimal-amplitude, complex sinusoids, eac of which is unlimited in time. (Time limited means “havin non-zero values only for a finite time. ”) 3/9/2021 27
The Discrete-Time Fourier Transform
Extending the DTFS • Analogous to the CTFS, the DTFS is a good analysis tool for systems with periodic excitation but cannot represent an aperiodic signal for all time • The discrete-time Fourier transform (DTFT) can represent an aperiodic signal for all time 3/9/2021 Dr. Abid Yahya 29
Definition of the DTFT 3/9/2021 Inverse F Form Forward Inverse W Form Forward 30
The Fourier Methods 3/9/2021 31
Relations Among Fourier Methods Multiplication-Convolution Duality 3/9/2021 Dr. Abid Yahya 32
Relations Among Fourier Methods Time and Frequency Shifting 3/9/2021 Dr. Abid Yahya 33
, Tutorials 1. Compute the CTFS: 3/9/2021 34
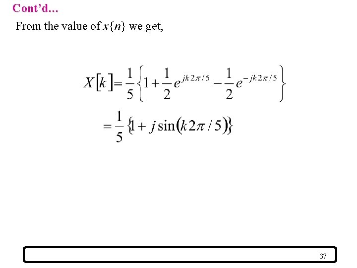
2. Find the frequency-domain representation of the signal in Figure 3. 1 below. Figure 3. 1: Time Domain Signal. Solution: Step 1: Determine N and W 0. The signal has period N=5, so W 0=2 p/5. Also the signal has odd symmetry, so we sum over n = -2 to n = 2 from equation 35
Cont’d… Step 2: Solve for the frequency-domain, X[k]. From step 1, we found the fundamental frequency, N =5, and we sum over n = -2 to n = 2. 36
Cont’d… From the value of x{n} we get, 37