Chapter 16 The Chemistry of Benzene Derivatives Morphine
Chapter 16 The Chemistry of Benzene Derivatives
Morphine Valium 2
Aromatic Hydrocarbons • Common sources: coal and petroleum • Physical properties: – Tend to be insoluble in water – MP’s relatively high – BP’s similar to molecules of similar structure and symmetry • Each additional C atom adds 20 -30°C to the BP
Common Nomenclature 4
IUPAC Nomenclature • Monosubstituted benzenes are named as other hydrocarbons, with –benzene as the parent name • Alkyl-substituted benzenes (arenes) are named in two ways: 1) If the alkyl group has 6 or fewer carbons, it is named as the substituent and the benzene ring is the parent 5
2) If the alkyl chain has more than 6 carbons, then the benzene ring is the substituent and is called a “phenyl” group • A phenyl group can be represented a few different ways • Don’t confuse a phenyl group with a benzyl group 6
• Disubstitued benzenes can be named in two ways: – Using o, m, or p – Using numbers 7
Nomenclature • Principle groups – If a substituent has highest priority, it is assumed to be on carbon #1 – If none of the substituents has priority over the others, cite them in alphabetical order 8
• Numbering is required when more than two substituents are present • Recall priorities: carboxylic acid > anhydride > ester > acid halide > amide > nitrile > aldehyde > ketone > alcohol (phenol) > thiol > amine 16. 1 Nomenclature of Benzene Derivatives 9
Problems • Name the following compounds: 10
Electrophilic Aromatic Substitution 11
Halogenation of Benzene • Compare with the addition product for that of an alkene 16. 4 Electrophilic Aromatic Substitution Reactions of Benzene 12
Mechanism of Halogenation 16. 4 Electrophilic Aromatic Substitution Reactions of Benzene 13
Mechanism of Halogenation 16. 4 Electrophilic Aromatic Substitution Reactions of Benzene 14
Recall: 15
Three Mechanistic Steps in EAS 1. Generation of an electrophile 2. Nucleophilic reaction of the p electrons of the aromatic ring with the electrophile 3. Loss of a proton from the carbocation to form a substituted aromatic compound 16
17
Problem 1) Monobromination of toluene gives 3 products. Draw the entire mechanism for the formation of one product and draw the other two. 2) Draw the product(s): 18
Nitration of Benzene • Mechanism: 16. 4 Electrophilic Aromatic Substitution Reactions of Benzene 19
Nitration of Benzene 16. 4 Electrophilic Aromatic Substitution Reactions of Benzene 20
Reduction of Nitro-substituted Benzene Rings to Arylamines • Also works with Sn. Cl 2 21
Sulfonation of Benzene • Mechanism: 22
23
Problems 1) Draw the reactants required to produce the molecule below: 2) Draw the products for each step: 24
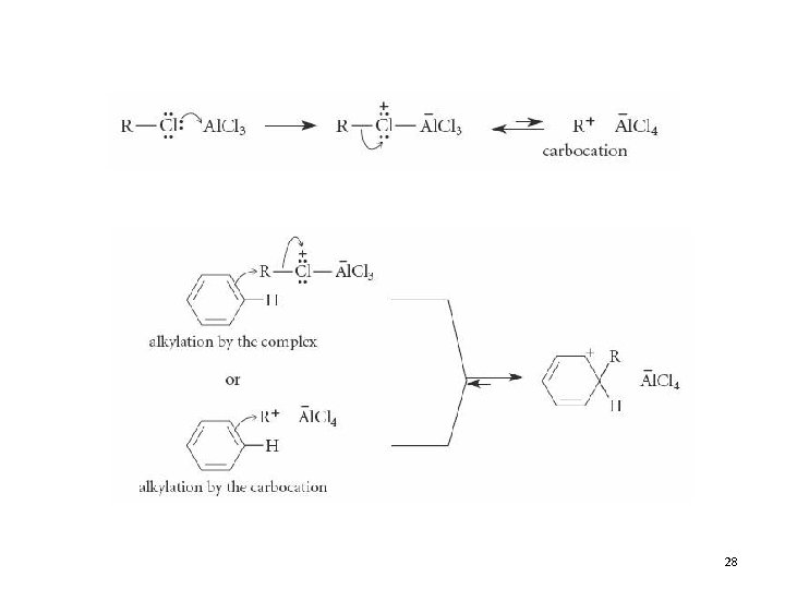
Friedel-Crafts Alkylation of Benzene • Compare the role of Al. Cl 3 with that of Fe. Br 3 in the bromination reaction 25
Limitations to Friedel-Crafts Alkylation 1) R must be an alkyl halide 2) The benzene ring cannot have amino or strongly electron withdrawing substituents 26
3) Reaction often does not stop after the first substitution 4) Rearrangement products are often produced 27
28
• Hydride Shift: • Alkyl Shift: 29
Problems • Give the products for the following reactions: 30
- Slides: 30