Chapter 13 Metabolism of Nucleic Acids Catabolism Anabolism
Chapter 13 Metabolism of Nucleic Acids (Catabolism & Anabolism of Nucleic Acids) 1
Class II Restriction enzyme对底物(DNA)具有特异识别 位点(识别序列,通常具有4-8 bp的回纹结构) Example:E. co. R I (E-菌的属,co-菌的种,R-菌的株,I酶的编号)。 E. co. R I 5′…GAATTC… 3′ 5´…G AATTC… 3′ + G… 5′ 3′…CTTAAG… 5′ 3´…CTTAA Form cohesive end 粘性末端 5′…GGCC… 3′ Hae III 5′…GG 3′…CCGG… 5′ 3′…CC CC… 3 ′ + GG… 5´ Form blunt end 平 端 7
Neucleoprotein from food 略 gastric acid Protein Nucleic acid(DNA、RNA) pancreas nuclease(DNase, RNase) (磷酸二酯酶) Mononucleotide 胰、肠Nucleotidase(磷酸单酯酶) Pi Ns Base Pentose or Phosphate-pentose 9
13
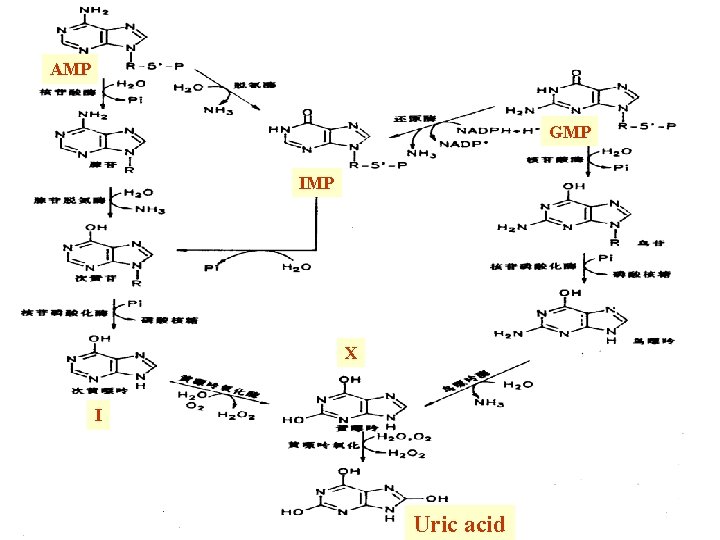
Breakdown of purine Nucleotides (人,猿、鸟、昆虫、爬虫) AMP IMP GMP Pi Pi Pi Adenine + sugar Adenosine Inosine 肌苷 NH 3 次黄嘌呤 Hypoxanthine + sugar Xanthine oxidase Xanthine + sugar Guanosine NH 3 Xanthine oxidase Uric Acid 14
AMP GMP IMP X I Uric acid 15
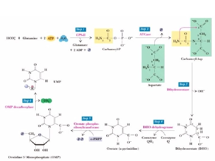
二、Breakdown of Pyrimidine nucleotide 1. C、U C U (脱氨酶) U DHU β-脲基丙酸 β-Ala (还原、水解开环) 2. T U DHT β-脲异丁酸 β-氨基异丁酸 Urea + Malonic acid(微生物) 18
20
5 -p-R + ATP p-R-pp 10 steps IMP (Gln、Asp、Gly、One carbon group参加) 5 -p-R, where from? 具体反应过程了解!掌握要点 21
Origin of the atoms in the purine skeleton Radioactive pigeon food What are you’re feeding me that #$%&? for? Radioactive pigeon…output, e. g. uric acid 记住哈!! 22
酰胺转移酶 H 2 N-1 -R-5 -P PP-1 -R-5 -P Gln 起始物质 5 -磷酸核糖胺PRA Glu Gly ATP NH H 2 C CHO O=C NH FH 4 转甲酰基酶 GAR 合成酶 Mg 2+ H 2 C-NH 2 O=C N 5 N 10 -CH=FH 4 NH R-5'-P 甲酰甘氨酰胺核苷酸FGAR R-5'-P 甘氨酰胺核苷酸GAR 24
NH NH H 2 C CHO Gln Glu H 2 C CHO HN=C O=C NH ATP Mg 2+ R-5'-P 甲酰甘胺咪核苷酸FGAM R-5'-P 甲酰甘氨酰胺核苷酸 FGAR 5 -氨基咪 唑核苷酸 AIR NH HC N ATP C CH Mg 2+ H 2 N N AIR合成酶 K+ R-5'-P 25
HC N C CH O 羧化酶 H 2 N N HO CO 2 R-5'-P 5 -氨基咪唑核苷酸AIR HOOC HC HOOC H 2 N C CH N R-5'-P C NH N C H 2 N O H 2 C C 5 -氨基咪唑 4 -羧酸核苷酸CAIR N C C CH N R-5'-P Asp Mg 2+ 合成酶 ATP 5 -氨基咪唑 4 -(N-琥珀酸)-甲酰胺核苷酸SAICAR 26
O N C H 2 N O=CH C H 2 O CH C NH 环水解酶 N O R-5'-P 5 -甲酰氨基咪唑 4 -甲酰胺核苷酸 FAICAR C HN HC N C C NH CH N R-5'-P IMP 28
IMP XMP NAD, H 2 O NADH 2 (XMP脱H酶 K+) GMP Gln, ATP Glu, ADP (GMP合成酶Mg++) 细菌直接以NH 3为供体、动物以Gln为NH 3供体 IMP 合成酶 Mg+ 腺苷琥珀酸 Asp, GTP GDP, Pi 裂解酶 AMP 延胡索酸 31
• 过程: PRPP合成酶 5 -磷酸核糖+ATP PRPP+AMP Asp Gly Gln One C unit CO 2 1 IMP 2 AMP GMP 32
33
• AMP和GMP的生成: AMP IMP XMP GMP 34
38
Major regulation occurs at the first two steps End product inhibition and “feed forward” regulation Regulation of the Purine Biosynthetic pathway “cross regulation” occurs from IMP to 39 AMP and GMP
40
42
45
CDP、CTP、UDP、UTP合成 UMP + ATP UDP + ATP Kinase, Mg++ UDP+ ADP Kinase, Mg++ UTP+Gln+ATP+H 2 O UTP+ADP Synthetase CTP + Glu +ADP+Pi 在三磷酸水平(TP水平)上转化 CTP CDP 46
Biosynthesis: Purine vs Pyrimidine 48
三、Biosynthesis of d. Nt 1、d. AMP, d. GMP, d. CMP, d. UMP 皆在NDP水平上进行 2、d. TMP 在MP水平进行 49
(一)Synthesis of d. ADP, d. GDP, d. CDP, d. UDP (MP水平进行) AMP + ATP GMP + ATP CMP + ATP UMP + ATP NDP Kinase ADP + ADP GDP + ADP CDP + ADP UDP + ADP d. NDP (DP水平上进行) 50
(二)d. TMP合成 d. UMP + N, N甲叉-FH 4 (FH 2 + NADPH 2 d. TMP + FH 2 FH 4 + NADP+) d. TTP 51
52
- Slides: 60