Chapter 11 General Stability Criterion Most industrial processes
Chapter 11 General Stability Criterion Most industrial processes are stable without feedback control. Thus, they are said to be open-loop stable or self-regulating. An open-loop stable process will return to the original steady state after a transient disturbance (one that is not sustained) occurs. By contrast there a few processes, such as exothermic chemical reactors, that can be open-loop unstable. Definition of Stability. An unconstrained linear system is said to be stable if the output response is bounded for all bounded inputs. Otherwise it is said to be unstable.
Stability of Closed-Loop Control System – An Example
Stability of Closed-Loop Control System – Example (I)
Chapter 11
Characteristic Equation
Stability Criterion of Closed-Loop System
Chapter 11
Chapter 11 Roots of 1 + Gc. Gv. Gp. Gm=0 (Note complex roots always occur in pairs)
Example 1
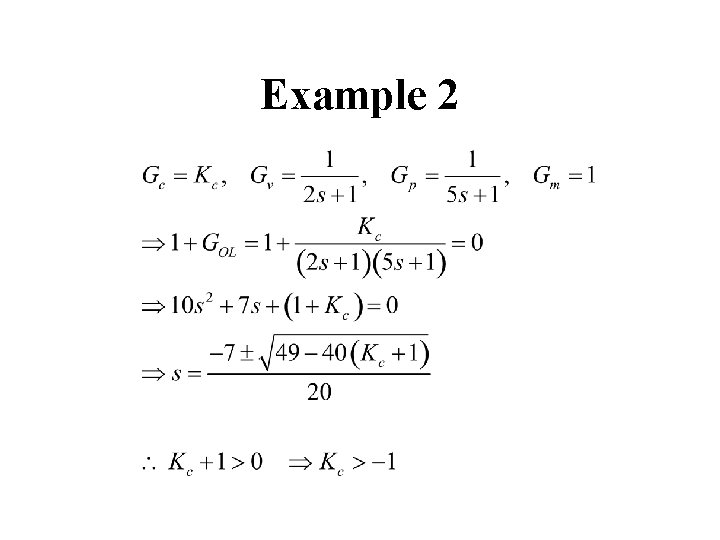
Example 2
Example 3
Chapter 11
Root Locus
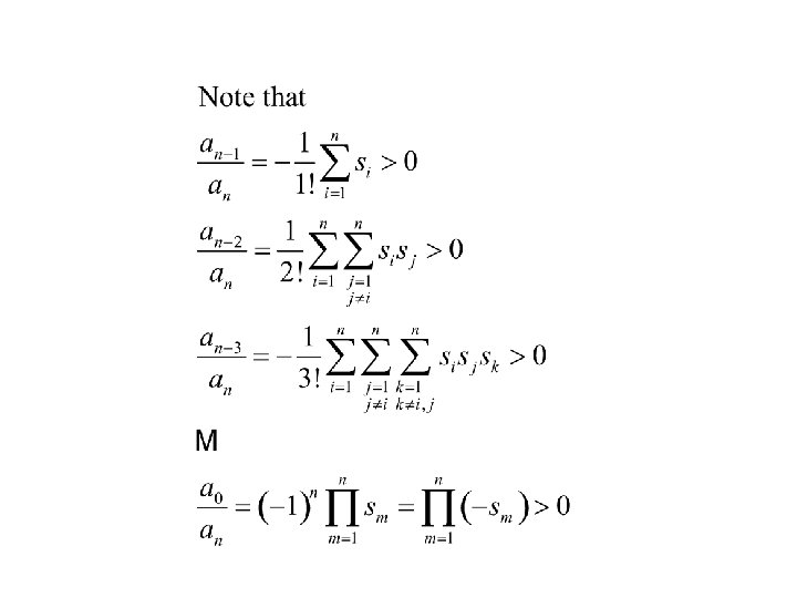
Chapter 11 Necessary Conditions for Roots with Negative Real Parts
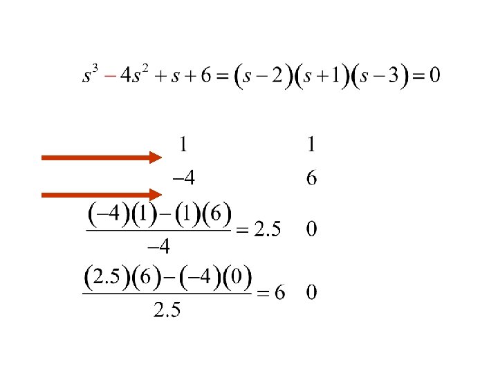
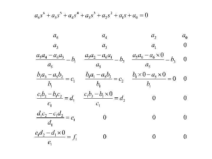
Chapter 11 Routh Array
Chapter 11 The first two rows of the Routh Array are comprised of the coefficients in the characteristic equation. The elements in the remaining rows are calculated from coefficients by using the following formulas: . .
Routh Criterion The roots of a polynomial are all in the left half of s-plane if all elements of the first column of the Routh array are of the same sign. If there are changes of signs in the elements of the first column, the number of sign changes indicates the number of roots with positive real parts.
Closed-Loop Example (I) – Solved by Routh Test
Closed-Loop Example (II)
Direct Substitution Method This method is based on the fact that, if the roots of the characteristic equation vary continuously with loop parameters, at the point at which a stable loop just becomes unstable at least one and usually two of the roots must lie on the imaginary axis of the complex plane, that is, there must be pure imaginary roots.
Direct Substitution Steps
Closed-Loop Example (I) – Solved by Direct Substitution
Chapter 11 Figure 11. 29 Flowchart for performing a stability analysis.
Chapter 11 Additional Stability Criteria 1. Bode Stability Criterion • Ch. 14 - can handle time delays 2. Nyquist Stability Criterion • Ch. 14 - can handle time delays
Special Cases of Routh Criterion 1. The first element in any one row of the Routh array is zero, but the other elements are not. 2. The elements in one row of the Routh array are all zero.
Example of Case 1
Case 1: Remedial Technique 1 – multiply an extra term (s+a)
Case 1: Remedial Technique 2 – replace 0 by a small positive number
Causes of Case 2 1. Pairs of real roots with opposite signs. 2. Pairs of imaginary roots. 3. Pairs of complex-conjugate roots forming symmetry about the origin of the s-plane.
Example 1 of Case 2 (1)
Remedial Steps of Case 2 1. Take the derivative of the auxiliary equation wrt s. 2. Replace the row of zeros with the coefficients of the resultant equation obtained in step 1. 3. Carry on Routh test in the usual manner with the newly formed tabulation.
Example 1 of Case 2 (2)
Example 2 of Case 2 (1)
Example 2 of Case 2 (2)
Closed-Loop Example (I) – Solved by Routh Test
- Slides: 39