Chapter 10 Organic Reactions Pathways to New Products











































- Slides: 43
Chapter 10 – Organic Reactions: Pathways to New Products
Reactions of Alkanes • Alkanes are insoluble in water but are soluble in non-polar solvents. • There are weak dispersion forces between molecules as evidenced by their low melting and boiling points. • The stability of the carbon-carbon bonds and the non polar nature of the molecules means that alkanes are very resistant to reaction. • Most reactions involving alkanes are either combustion or substitution.
Combustion • Alkanes are used as fuels. • Combustion reactions involving alkanes release large amounts of heat energy. • Methane is the major component in natural gas and octane is an important component of petrol. • The combustion equations for these two alkanes are: CH 4(g) + 2 O 2(g) CO 2(g) + 2 H 2 O(g) + energy 2 C 8 H 18(g) + 25 O 2(g) 16 CO 2(g) + 18 H 2 O(g) + energy
Substitution Reactions • In substitution reactions, one or more of the hydrogen atoms in an alkane is replaced by a different atom or functional group. • This involves breaking the carbon-hydrogen bonds and making new bonds with the substituted group or atom. • An example of this is the reaction between a chlorine molecule and a hydrocarbon. • The chlorine molecule breaks into separate atoms and because these are unstable with only 7 outer electrons the chlorine free radicals attack the carbon-hydrogen bonds. RH + Cl 2 RCl + HCl
Reactions of Alkenes • Ethene: – – – Is unsaturated Is a non-polar molecule Is insoluble in water Is a flammable gas Participates in addition reactions Polymerises to produce polyethene. • Since ethene is a small, non-polar molecule, the only attractive forces between its molecules are dispersion forces and ethene therefore has a very low boiling temperature.
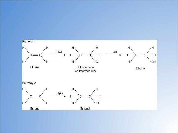
Addition Reactions of Alkenes • Ethene reacts more readily and with more chemicals than ethane. • The reaction of ethene usually involve addition of a small molecule to produce a single product. • In these situations, the double carbon-carbon bond is broken and the new molecule bonds to each carbon.
Addition Reaction Example…
Addition Reactions cont… • Ethanol can be produced by an addition reaction of ethene and water using a catalyst to speed up the reaction. • Ethene with water is known as a hydrolysis reaction. • The other alkenes that undergo similar addition reactions to produce alkanols and chloralkanes.
Hydrolysis Reaction Example…
Addition Polymerisation • A type of addition reaction of ethene is involved in making polyethene. • The number, n, in this reaction is very large. • A molecule made by linking a large amount of small molecules is called a polymer. • The singular small molecule is called a monomer. • A reaction where many monomer react together to produce a polymer is called addition polymerisation.
Addition Polymerisation cont… • When the polymer is formed, the ethene molecules add to the end of growing polymer chains.
Addition Polymerisation cont… • Ethene is also used to synthesise other monomers which are used to manufacture addition polymers, for example PVC and polystyrene. • PVC is the abbreviated name for the polymer polyvinyl chloride. • Polyvinyl chloride is manufactured by an addition polymerisation reaction of the monomer chloroethen (vinyl chloride).
Addition Polymerisation cont… • Polystyrene is made from the monomer styrene, which in turn is made from ethene. • A copolymer is a polymer made of more than one monomer.
Reactions of Functional Groups • The influence of functional groups on the chemistry of organic molecules may be seen by studying their reactoins. • When considering how new substances can be made, we should think about how the structure of the functional group determines the way a particular molecule reacts and the conditions needed for the reaction to occur.
Reactions of Chloroalkanes • When a more electronegative atom such as chlorine has been substituted for a hydrogen, the hydrocarbon becomes polar. • Electrons are more attracted to the chlorine atom, which makes the carbon atom at the other end of the bond susceptible to be attacked by anions. • For example, chloromethane is converted to methanol when it reacted with hydroxide ions. • The chlorine atom is substituted by an OH functional group. • The carbon-chlorine bond is also susceptible to attack by the negatively charged end of a polar molecule, like in the case of ethanol.
Reactions of Chloroalkanes example…
Reactions of Chloroalkanes cont… • Chloroalkanes will also reaction with ammonia to form amines. RCl + NH 3 RNH 2 + HCl
Reactions of Alkanols • Alkanols can undergo substitution reaction. • The amino functional group can be introduced to the chain by a substitution reaction between ammonia and an alkanol. • Ethylamine is formed by passing ammonia and ethanol vapour over aluminium oxide heated to about 400 degrees. CH 3 CH 2 OH(g) + NH 3(g) CH 3 CH 2 NH 2(g) + H 2 O(l)
Reactions of Alkanols cont… • Alkanols can be oxidised to form carboxylic acids. • Not all alkanols will oxidise to form carboxylic acids. • The position of the OH in an alkanol determines the oxidation product. • Carboxylic acids are produced from the oxidation of primary alkanols. • Primary alkanols have an OH functional group attached at the end of a chain of carbon atoms, or at the end of a side chain. CH 3 CH 2 OH(as) CH 3 COOH(aq) O 2 • Alkanols react with carboxylic acids to form esters.
• Structures of the isomers of C 4 H 9 OH: • a a primary alkanol, butan-1 -ol • b a secondary alkonal, butan-2 -ol • c a tertiary alkonal, 2 -methylpropan-2 -ol.
Reactions of Carboxylic Acids • All carboxylic acids are weak acids, reacting with water to form a weakly acidic solution: CH 3 COOH(aq) + H 2 O(l) CH 3 COO-(aq) + H 3 O+(aq) • Carboxylic acids such as ethanoic acid react with bases, reactive metals and carbonates.
Esters • Esters are a group of organic compounds responsible for some of the natural and synthetic flavours and smells in ice cream, lollies, flowers and fruits. Ester Smell of Flavour Pentyl Propanoate Apricot Ethyl Butanoate Pineapple Octyl Ethanoate Orange 2 -Methylpropyl Methanoate Raspberry Ethyl Methanoate Rum Pentyl Ethanoate Banana
Esters cont… • Esters composed of small molecules are volatile and have distinctive odours. • They have low boiling points that allow them to evaporate easily and reach your nose. • Esters of larger molecular size are oils and waxes. • Esters are made by a condensation reaction between a carboxylic acid an alkanol. • Reactions that involve the combination of two reactants and the elimination of a small molecule, such as water, are called condensation reactions.
Esters cont… • For example, gently heating a mixture of ethanol and pure ethanoic acid with a trace amount of sulfuric acid added produces an ester (ethyl ethanoate) and water. • The sulfuric acid acts as a catalyst. The general equation for the esterification reaction involving a carboxylic acid an alkanol is shown below.
Esters cont… • Esters have two part names. • The first part is derived from the name of the alkanol from which is is made, where yl replaces anol. • The second part comes from the carboxylic acid, where ic is replaced by the suffix ate.
Reaction Pathways • The reaction pathway selected needs to take into account the yield and purity of the product and also minimise any unwanted side-products and waste materials. • Time and cost factors also need to be considered. • There is also a lot of current interest in working out green synthetic routes- ones that minimise waste, use more environmentally friendly solvent, require less energy and help to preserve the world’s resources.
Example: synthesis of ethyl propanoate • Ethyl propanoate is to be formed using alkanes and alkenes as starting materials. • Looking at the structure, it indicates that it is an ester produced by a condensation reaction between propanoic acid and ethanol. • Ethanol is a two carbon compound that can be synthesised directly from ethene, or from ethene via the intermediate product chloroethane. • In this case, the more direct route is selected.
• Propanoic acid is a carboxylic acid containing three carbon atoms. • It is prepared by the oxidation of the primary alkanol propan 1 -ol. • This in turn can be formed by the reaction of 1 -chloropropane with sodium hydroxide. • 1 -chloropropane can be prepared by reacting propane with chlorine. • A number of chlorine-substituted products will be formed. • These are separated by fractional distillation.
• The substitution reaction of propane is chosen rather than an addition reaction of propene because the addition of HCl to propene with result in the formation of unwanted 2 chloropropane. • Having synthesised ethanol and propanoic acid, ethyl propanoate can be prepared using a condensation reaction.
• The reaction pathways for the preparation of ethanol, propanoic acid and ethyl propanoate can be summarised.
• The ester can be separated from the reaction mixture and purified by fractional distillation. • Its identity can then be verified using instrumental analysis such as IR, NMR or Mass Spectroscopy.
Considerations in Devising a Synthesis • When planning a reaction pathway, the structure of the required compound or target molecule is studied and the functional groups are identified. • A synthetic pathway is devised using knowledge of the reactions of functional groups. • The synthesis may require the preparation of a number of intermediate compounds. • More than one possible pathway may need to be considered as a desired product may be synthesised via a number of pathways.
Considerations in Devising a Synthesis cont… • The formation of isomers and other byproducts also needs to be considered. • The methods of separation of the desired intermediate and final product from isomers and other by-products must be determined. • The final product then needs to be purified and the purity evaluated. • The yield must also be taken into account, as not all of the reactants are necessarily converted to product.
Considerations in Devising a Synthesis example… • For example, in the reaction: CH 3 CH 2 Cl + OH- CH 3 CH 2 OH + Cl • You would expect 6. 45 g of chloroethane to produce 4. 60 g of ethanol if all the chloroethane was converted to ethanol. • If only 2. 30 g of ethanol was obtained, then the yield would be 50%. • Where there a number of intermediate steps involved in a synthesis, the yield for each step must be taken into account. • A low yield in one of the intermediate reactions can have a dramatic effect on the overall yield.
Worked Example… • In a particular synthesis, the yield of A B is 80% and the yield of B C is 70%. Calculate the overall percentage yield for the preparation of C from A. When A reacts to form B, only 80% or 80/100 of theoretical mass of B is formed. Then, when B forms C, only 70% of 70/100 of C is formed. Hence the overall yield of C = (80/100) x (70/100) x 100% = 56%
Fractional Distillation • Is a technique used to separate liquids that have different boiling points. • It is commonly used in the lab to separate volatile liquids from a reaction mixture. • Industrial applications of fractional distillation include: – Separation of the fraction from crude oil – Production of oxygen and nitrogen by fractional distillation of air – Extraction of ethanol in the fermentation of sugar
Fractional Distillation cont…
Fractional Distillation cont… • The principle on which fractional distillation is based is that if a mixture of volatile liquids is heated, the vapour contains a higher concentration of the lower boiling point components. • In fractional distillation the components of a mixture of volatile liquids are separated by what can be considered to be a succession of simple distillations. • When the mixture of liquids is heated in the distillation flask, the vapours rise up the fractioning column. • These vapours contain a higher concentration of the more volatile component than the liquid in the distillation flask. • Eventually the vapours reach a height in the fractioning column where the temperature is low enough for condensation to occur. • As the condensed liquid trickles back down the column it is reheated by vapours rising from the distillation flask.
Fractional Distillation cont… • As a result, some of the condensed liquid evaporates, and the resulting vapour has an even higher concentration of the low boiling point component. • This process is repeated many times throughout the length of the column, and the concentration of the more volatile substance in the vapour increases in each evaporation-condensation cycle. • At the same time, the concentration of the less volatile (higher boiling point) substances in the distillation flask will increase. • When the vapour reaches the top of the fractioning column it will ideally consist of only the more volatile component. • When the component reaches the top of the column the temperature remains stable. • The material that condenses over a small temperature range near the boiling point of the substance of interest is collected. • It is not always possible to achieve a complete separation.
Using Fractional Distillation • Pure ethyl ethanoate can be extracted from the reaction mixture by fractional distillation. • The reaction in the mixture is heated in the distillation flask. • The vapours rise up the fractioning column. • The temperature at the bottom of the column slowly increases until it stabilises at about 57 degrees, which is the boiling point of ethyl ethanoate. • The fraction condensing over a small range of temperatures, 55 -59 degrees, near the boiling point of ethyl ethanoate is collected.