CHAPITRE 4 Calcul littral et Identits Remarquables Objectifs
CHAPITRE 4 Calcul littéral et Identités Remarquables
Objectifs: -Factoriser et développer des expressions en utilisant les identités remarquables. -Tester la validité d’une factorisation ou d’un développement.
I. Les outils 1) La simple et la double distributivité Quelques soient les nombres relatifs a, b, c, d et k on a : kx(a+b)=kxa+kxb ( a + b ) x ( c + d )= a x c + a x d + b x c + b x d Exemples : 143 x 102 = 143 x ( 100 + 2 ) kx(a+b)=kxa+kxb = 143 x 100 + 143 x 2 = 14 300 = 14 586 + 286
102 x 209 = ( 100 + 2 ) x ( 200 + 9 ) ( a + b ) x ( c + d )= a x c + a x d + b x c + b x d = 100 x 200 + 100 x 9 + 2 x 200 + 2 x 9 = 20 000 + 900 + 400 + 18 = 21 318 A = 3(- 6 x + 4) kx(a+b)=kxa+kxb = -18 x + 12 B = (2 x + 3)(3 x - 4) ( a + b ) x ( c + d )= a x c + a x d + b x c + b x d = 6 x² - 8 x + 9 x – 12 = 6 x² + x - 12
2) Règle de suppression des parenthèses Dans un calcul, on peut supprimer les parenthèses : - précédées du signe + et ce signe +, sans changer le signe des nombres à l’intérieur des parenthèses. - précédées du signe - et ce signe -, en changeant chaque nombre à l’intérieur des parenthèses en son opposé. Exemple : A = 8 + (- 3 + x ) - ( 4 - 3 x ) = 8 – 3 + x – 4 + 3 x = 4 x + 1
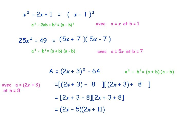
3) Les trois identités remarquables Quelques soient les nombres relatifs a et b on a : (a + b)² = a² + 2 ab + b² (a - b)² = a² - 2 ab + b² (a + b)(a – b) = a² - b² Voir les démonstrations de ces identités dans le cahier d’exercices. Exemples : 103² = ( 100 + 3 )² (a + b)² = a² + 2 ab + b² = 100² + 2 x 100 x 3 + 3² = 10 000 + 600 = 10 609 + 9
96² = ( 100 - 4 )² (a - b)² = a² - 2 ab + b² = 100² - 2 x 100 x 4 + 4² = 10 000 - 800 + 16 = 9 216 105 x 95 = ( 100 + 5 ) x ( 100 - 5 ) (a + b)(a - b) = a² - b² = 100² - 5² = 10 000 = 9 975 - 25
II. Développer une expression littérale, c’est la transformer en une somme de termes. 1) Développer une identité remarquable Exemples : Développer en utilisant les identités remarquables A = (x + 3)² (a + b)² = a² + 2 ab + b² a est représenté par x : donc a² vaut x² = x² + 6 x + 9 b est représenté par 3 : donc 2 ab vaut 2 x x x 3 = 6 x et b² vaut 3²= 9
B = (4 - 3 x)² (a - b)² = a² - 2 ab + b² a est représenté par 4 : donc a² vaut 4²=16 = 16 - 24 x + 9 x² b est représenté par 3 x : donc et C = (2 x + 3)(2 x - 3) = 4 x²- 9 b² 2 ab vaut 2 x 4 x 3 x = 24 x (3 x )²= 9 x² (a + b)(a - b) = a² - b² a est représenté par 2 x : donc a² vaut (2 x )²= 4 x² b est représenté par 3 : donc b² vaut 3²= 9
2) Application à des développements plus complexes Exemples : Développer et réduire les expressions suivantes. A = (2 x - 3)² + (x + 5)(3 - x ) (a - b)² = a² - 2 ab + b² ( a + b ) x ( c + d )= a x c + a x d + b x c + b x d = 4 x² - 12 x + 9 + 3 x – x ² + 15 - 5 x = 3 x² - 14 x + 24
B = ( x - 3)( x + 3) - (4 - 3 x)² (a - b)² = a² - 2 ab + b² (a + b)(a - b) = a² - b² = x² - 9 - ( 16 - 24 x + 9 x² ) = x² - 9 - 16 + 24 x - 9 x² = -8 x² + 24 x - 25 Règle de suppression des parenthèses précédées du signe -
III. Factoriser une expression littérale, c’est la transformer en un produit de facteurs. 1) Le facteur commun est apparent Remarque : pour factoriser, il faut trouver dans l’expression un facteur commun, puis utiliser la formule de simple distributivité. ka+kb = k(a+b) Exemples : Factoriser et réduire les expressions suivantes. A = 4 x - 4 y + 8 = 4 x - 4 y + 4 x 2 = 4( x - y + 2 )
B = x² + 3 x - 5 x² = x x x + x x 3 - x x 5 x = x ( x + 3 - 5 x ) = x (- 4 x + 3) C = (1 - 6 x)² - (1 - 6 x)(2 + 5 x) = (1 - 6 x) - (1 - 6 x)(2 + 5 x) Règle de suppression des parenthèses précédées du signe - = (1 - 6 x)[ (1 - 6 x) - (2 + 5 x)] = (1 - 6 x)[ 1 - 6 x - 2 - 5 x] = (1 - 6 x)( - 11 x - 1 )
2) Le facteur commun n’est pas apparent Remarque : pour factoriser, il faut utiliser une identité remarquable. a² + 2 ab + b² = (a + b)² a² - 2 ab + b² = (a - b)² a² - b² = (a + b)(a - b) Exemples : Factoriser et réduire les expressions suivantes. 4 x² + 12 x + 9 = (2 x 2 x + 3 )² a² + 2 ab + b²= (a + b)² avec a = 2 x et b = 3
- Slides: 15