Chap 6 Finite Element Method 2021 12 30

  • Slides: 24
Download presentation
Chap 6 Finite Element Method 2021 -12 -30 서강대학교 전자파 연구실 1

Chap 6 Finite Element Method 2021 -12 -30 서강대학교 전자파 연구실 1

6. 1 Introduction • FEM을 적용하는 과정. (4단계) (1) Solution region을 유한한 수의 subregion

6. 1 Introduction • FEM을 적용하는 과정. (4단계) (1) Solution region을 유한한 수의 subregion 이나 element로 분리. (2) Typical element에 의한 식을 도출 함. (3) Solution region에서 모든 element를 모음. (4) 얻어진 식의 system을 푼다. 연속체의 discretization은 solution region을 subdomain(finite element)으로 나누게 함. 2021 -12 -30 서강대학교 전자파 연구실 2

6. 2 solution of Laplace equation 6. 2. 1 Finite Element Discretization 근사해 일반적인

6. 2 solution of Laplace equation 6. 2. 1 Finite Element Discretization 근사해 일반적인 근사해 형태(triangular element) Quadrilateral element 2021 -12 -30 서강대학교 전자파 연구실 3

6. 2. 2 Element Governing Equation 2021 -12 -30 서강대학교 전자파 연구실 4

6. 2. 2 Element Governing Equation 2021 -12 -30 서강대학교 전자파 연구실 4

A : area of the element e. 2021 -12 -30 서강대학교 전자파 연구실 5

A : area of the element e. 2021 -12 -30 서강대학교 전자파 연구실 5

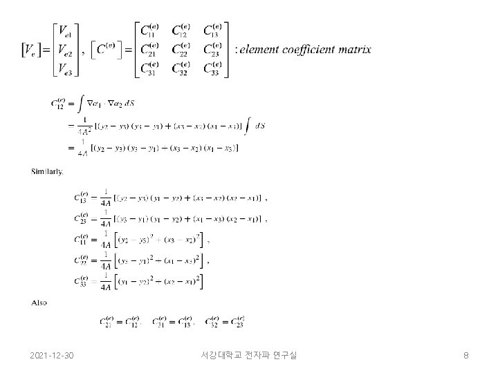
Functional corresponding to Laplace’s eq Matrix form 2021 -12 -30 서강대학교 전자파 연구실 7

Functional corresponding to Laplace’s eq Matrix form 2021 -12 -30 서강대학교 전자파 연구실 7

6. 2. 3 Assembling of all element Element의 집합과 관련된 energy N : element의

6. 2. 3 Assembling of all element Element의 집합과 관련된 energy N : element의 숫자 n : node의 숫자 C : global coefficient matrix 2021 -12 -30 서강대학교 전자파 연구실 9

Global coefficient matrix를 얻기 위해 각각의 element coefficient matrix를 모으는 과정 Global coefficient matrix의

Global coefficient matrix를 얻기 위해 각각의 element coefficient matrix를 모으는 과정 Global coefficient matrix의 형태 2021 -12 -30 서강대학교 전자파 연구실 10

Global coefficient matrix 2021 -12 -30 서강대학교 전자파 연구실 11

Global coefficient matrix 2021 -12 -30 서강대학교 전자파 연구실 11

6. 2. 4 solving the resulting equations Total energy가 solution 영역에서 최소 일 때

6. 2. 4 solving the resulting equations Total energy가 solution 영역에서 최소 일 때 Laplace eq가 만족됨. 2021 -12 -30 서강대학교 전자파 연구실 12

2) Band matrix method 모든 free node가 먼저 numbered 되고, fixed node가 나중에 되면.

2) Band matrix method 모든 free node가 먼저 numbered 되고, fixed node가 나중에 되면. . f, p : free, fixed potential or 2021 -12 -30 서강대학교 전자파 연구실 15

Term of global coefficient matrix 2021 -12 -30 서강대학교 전자파 연구실 18

Term of global coefficient matrix 2021 -12 -30 서강대학교 전자파 연구실 18

6. 3 solution of Poisson’s equation 6. 3. 1 Deriving element-governing equation 2021 -12

6. 3 solution of Poisson’s equation 6. 3. 1 Deriving element-governing equation 2021 -12 -30 서강대학교 전자파 연구실 20

Energy functional 2021 -12 -30 서강대학교 전자파 연구실 21

Energy functional 2021 -12 -30 서강대학교 전자파 연구실 21

Sum of functionals 6. 3. 2 solving the resulting equation Iteration method 2021 -12

Sum of functionals 6. 3. 2 solving the resulting equation Iteration method 2021 -12 -30 서강대학교 전자파 연구실 22

Band matrix method 2021 -12 -30 서강대학교 전자파 연구실 24

Band matrix method 2021 -12 -30 서강대학교 전자파 연구실 24