Chap 3 A Tour through Critical Phenomena Youjin
































- Slides: 32
Chap. 3 A Tour through Critical Phenomena Youjin Deng 09. 12. 5
Three Important classes: Liquid-gas, magnet, binary fluid or alloy Let start with the phase diagram of water Phenomena observed near the critical point are referred to as Critical phenomena.
• Let denote the density at the critical point, along the curve, observations show that for very small • If is measured along a line through the critical point, one finds • For compressibility
The phase diagram for ferromagnet
• For ferromagnetism, When T is approaching the Curie temperature, the specific heat typically has a power law behavior:
For magnetization
For magnetic susceptibility
Critical exponent (In the language of Ising model)
Definition of critical exponent Correlation function Fourier transformation: And the relation
Then we have ? ? ? : 1), Definitions of Quantities (more rigorous) 2), Experimental Pictures
• Relation between physical observables and correlation function
• The significance of the critical exponents lie in their universality. As experiments have shown, widely different systems, with critical temperatures differing by orders of magnitudes, approximately share the same critical exponents. Their definitions have been dictated by experimental convenience. Some other linear combinations of them have more fundamental significance,
Chap. 4 Mean-field theory of Ising model Youjin Deng 09. 12. 5
• The main idea of mean field theory is to replace all interactions to any one body (here one spin) with an average or effective interaction. This reduces any multi-body problem into an effective one-body problem. The ease of solving mean field theory problems means that some insight into the behavior of the system can be obtained at a relatively low
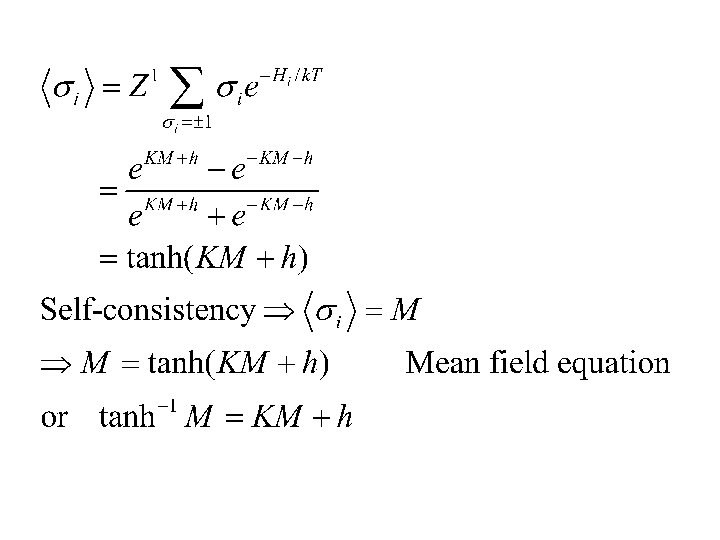
Recall the Hamiltonian of the Ising model to be For each site i, using the mean field approximation, the Hamiltonian becomes Note that The partition sum: And let
Graphical solution when K<1
Graphical solution when K>1
Graphical solution when K=Kc=1
Behavior close to critical point Magnetization in zero field (h=0)
When T=Tc and h finite When K<Kc and h finite
When K>Kc and h finite
Energy density e and C for h=0
Note that, Mean field theory does not in general give a correct description of critical behavior, since that nonuniform spin configurations have been excluded, thus, the effect of fluctuations has been ignored. Although, unsatisfactory in many aspects, the mean field theory captures a few important features of critical phenomena, it gives us a qualitative understanding of the major mechanisms behind the critical phenomena.
Chap. 5 Universality and Scaling Youjin Deng 09. 12. 5
This table summarizes the experimental values of the critical exponents as well as the results from some theoretical models. We can see that the scaling laws seem to be universal, but the individual exponents show definite deviations from truly universal behavior.
Universality class • As we can see, different systems at critical region, share the same critical exponents. • However, not all the models have the same exponents, they depend on at least: 1>the lattice dimensionality 2>the spin dimensionality 3>the fallout exponent p of the long range interactions such as
Explanation of universality • In the critical region, the correlation length is very large, approaching infinity. Only the large scale behavior is relevant. The details of the interaction at short distances are not. Such details will obviously affect the strength of interaction required to produce a phase transition, but the have no effect on the behavior in the critical region itself. • This heuristic argument is made precise and quantitative by the renormalization group
Scaling hypothesis • The scaling hypothesis has something to do with how various quantities change under a change of length scale. • The value of a quantity with dimension must be expressed in terms of a standard unit of length, and it changes when that standard is changed. • Near the critical point, the correlation length is the only characteristic length of the system, in terms of which all other lengths must be measured.