Ch 9 Rotational Dynamics The Action of Forces





















































































- Slides: 85
Ch 9. Rotational Dynamics The Action of Forces and Torques on Rigid Objects (a) Translation (b) Combined translation and rotation 1
DEFINITION OF TORQUE Direction: The torque is positive when the force tends to produce a counterclockwise rotation about the axis, and negative when the force tends to produce a clockwise rotation. SI Unit of Torque: newton · meter (N · m) 2
The line of action is an extended line drawn colinear with the force. The lever arm is the distance between the line of action and the axis of rotation, measured on a line that is perpendicular to both. The torque is represented by the symbol t (Greek letter tau), and its magnitude is defined as the magnitude of the force times the lever arm 3
Forces of the same magnitude can produce different torques, depending on the value of the lever arm. 4
Example 1. Different Lever Arms, Different Torques 5
A force whose magnitude is 55 N is applied to a door. However, the lever arms are different in the three parts of the drawing: (a) = 0. 80 m, (b) = 0. 60 m, and (c) = 0 m. Find the magnitude of the torque in each case. (a) (b) (c) In part c the line of action of F passes through the axis of rotation (the hinge). Hence, the lever arm is zero, and the torque is zero. 6
Example 2. The Achilles Tendon The ankle joint and the Achilles tendon attached to the heel at point P. The tendon exerts a force of magnitude F = 720 N. Determine the torque (magnitude and direction) of this force about the ankle joint, which is located 3. 6 × 10– 2 m away from 7 point P.
= (3. 6 × 10– 2 m) cos 55° The force F tends to produce a clockwise rotation about the ankle joint, so the torque is negative: 8
Check Your Understanding 1 The drawing shows an overhead view of a horizontal bar that is free to rotate about an axis perpendicular to the page. Two forces act on the bar, and they have the same magnitude. However, one force is perpendicular to the bar, and the other makes an angle f with respect to it. The angle f can be 90°, 45°, or 0°. Rank the values of f according to the magnitude of the net torque (the sum of the torques) that the two forces produce, largest net torque first. 0°, 45°, 90° 9
Rigid Objects in Equilibrium CONCEPTS AT A GLANCE If a rigid body is in equilibrium, neither its linear motion nor its rotational motion changes. This lack of change leads to certain equations that apply for rigid-body equilibrium. 10
EQUILIBRIUM OF A RIGID BODY: A rigid body is in equilibrium if it has zero translational acceleration and zero angular acceleration. In equilibrium, the sum of the externally applied forces is zero, and the sum of the externally applied torques is zero: 11
Example 3. A Diving Board 12
A woman whose weight is 530 N is poised at the right end of a diving board with a length of 3. 90 m. The board has negligible weight and is bolted down at the left end, while being supported 1. 40 m away by a fulcrum. Find the forces F 1 and F 2 that the bolt and the fulcrum, respectively, exert on the board W = 530 N 13
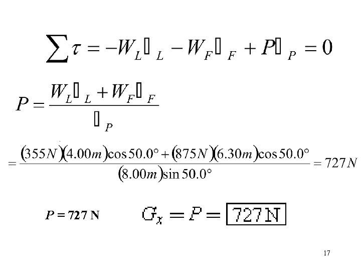
Example 4. Fighting a Fire 14
An 8. 00 -m ladder of weight WL = 355 N leans against a smooth vertical wall. The term “smooth” means that the wall can exert only a normal force directed perpendicular to the wall and cannot exert a frictional force parallel to it. A firefighter, whose weight is WF = 875 N, stands 6. 30 m from the bottom of the ladder. Assume that the ladder’s weight acts at the ladder’s center and neglect the hose’s weight. Find the forces that the wall and the ground exert on the ladder. 15
Force Lever Arm Torque WL = 355 N L = (4. 00 m) cos 50. 0° WF = 875 N F = (6. 30 m) cos 50. 0° P –WL L –WF F P = (8. 00 m) sin 50. 0° +P P 16
P = 727 N 17
Example 5. Bodybuilding 18
A bodybuilder holds a dumbbell of weight Wd. His arm is horizontal and weighs Wa = 31. 0 N. The deltoid muscle is assumed to be the only muscle acting and is attached to the arm as shown. The maximum force M that the deltoid muscle can supply has a magnitude of 1840 N. The distances that locate where the various forces act on the arm. The locations from where the various forces act on the arm are shown in the figure. What is the weight of the heaviest dumbbell that can be held, and what are the horizontal and vertical force components, Sx and Sy, that the shoulder joint applies to the left end of the arm? 19
Force Wa = 31. 0 N Wd Lever Arm = 0. 280 m Torque a –Wa a d = 0. 620 m –Wd d M = 1840 N M = (0. 150) sin 13. 0° +M M 20
21
Check Your Understanding 2 Three forces act on each of the thin, square sheets shown in the drawing. In parts A and B of the drawing, the force labeled 2 F acts at the center of the sheet. The forces can have different magnitudes (F or 2 F) and can be applied at different points on an object. In which drawing is (a) the translational acceleration equal to zero, but the angular acceleration is not equal to zero, (b) the translational acceleration is not equal to zero, but the angular acceleration is equal to zero, and (c) the object in equilibrium? (a) C, (b) A, (c) B 22
Center of Gravity DEFINITION OF CENTER OF GRAVITY: The center of gravity of a rigid body is the point at which its weight can be considered to act when the torque due to the weight is being calculated. 23
24
Example 6. The Center of Gravity of an Arm The horizontal arm is composed of three parts: the upper arm (weight W 1 = 17 N), the lower arm (W 2 = 11 N), and the hand (W 3 = 4. 2 N). The drawing shows the center of gravity of each part, measured with respect to the shoulder joint. Find the center of gravity of the entire arm, relative to the shoulder joint. 25
26
Conceptual Example 7. Overloading a Cargo Plane 27
A stationary cargo plane with its front landing gear 9 meters off the ground. This accident occurred because the plane was overloaded toward the rear. How did a shift in the center of gravity of the loaded plane cause the accident? Because of the overloading, the center of gravity has shifted behind the rear landing gear. The torque due to W is now counterclockwise and is not balanced by any clockwise torque. Due to the unbalanced counterclockwise torque, the plane rotates until its tail hits the ground, which applies an upward force to the tail. The clockwise torque due to this upward force balances the counterclockwise torque due to W, and the plane comes again into an equilibrium state, this time with the front landing gear 9 meters off the ground. 28
The center of gravity of an object with an irregular shape and a nonuniform weight distribution can be found by suspending the object from two different points P 1 and P 2, one at a time. 29
Newton's Second Law for Rotational Motion About a Fixed Axis FT = ma. T t = FTr t = ma. Tr a. T = ra The constant of proportionality is I = mr 2, which is called the moment of inertia of the particle. The SI unit for moment of inertia is kg · m 2. 30
31
ROTATIONAL ANALOG OF NEWTON’S SECOND LAW FOR A RIGID BODY ROTATING ABOUT A FIXED AXIS Requirement: a must be expressed in rad/s 2 Although a rigid object possesses a unique total mass, it does not have a unique moment of inertia, for the moment of inertia depends on the location and orientation of the axis relative to the particles that make up the object. 32
Example 8. The Moment of Inertia Depends on Where the Axis Is Two particles each have a mass m and are fixed to the ends of a thin rigid rod, whose mass can be ignored. The length of the rod is L. Find the moment of inertia when this object rotates relative to an axis that is perpendicular to the rod at (a) one end and (b) the center 33
(a) (r 1=0, r 2=L) (b) 34
35
36
37
38
Example 9. The Torque of an Electric Saw Motor The motor in an electric saw brings the circular blade from rest up to the rated angular velocity of 80. 0 rev/s in 240. 0 rev. One type of blade has a moment of inertia of 1. 41 × 10– 2 kg · m 2. What net torque (assumed constant) must the motor apply to the blade? q� a w 1508 rad ? (240. 0 rev) w 0 t 503 rad/s 0 (80. 0 rev/s) rad/s 39
40
The lever arm is just the radius of the circular rail, which is designed to be as large as possible. Thus, a relatively large torque can be generated for a given force, allowing the rider to accelerate quickly. 41
Conceptual Example 10. Archery and Bow Stabilizers Archers can shoot with amazing accuracy, especially using modern bows. Notice the bow stabilizer, a long, thin rod that extends from the front of the bow and has a relatively massive cylinder at the tip. Advertisements claim that the stabilizer helps to steady the archer’s aim. Could there be any truth to this claim? Explain. To the extent that I is larger, a given net torque St will create a smaller angular acceleration and less disturbance of the aim. It is to increase the moment of inertia of the bow that the stabilizer has been added. The relatively massive cylinder is particularly effective in increasing the moment of inertia, because it is placed at the tip of the stabilizer, far from the axis of rotation (a large 42 value of r in the equation I = Smr 2).
Example 11. Hoisting a Crate 43
A crate that weighs 4420 N is being lifted by the mechanism. The two cables are wrapped around their respective pulleys, which have radii of 0. 600 and 0. 200 m. The pulleys are fastened together to form a dual pulley and turn as a single unit about the center axle, relative to which the combined moment of inertia is I = 50. 0 kg · m 2. A tension of magnitude T 1 = 2150 N is maintained in the cable attached to the motor. Find the angular acceleration of the dual pulley and the tension in the cable connected to the crate. 44
m = (4420 N)/(9. 80 m/s 2) = 451 kg: ay = ra = (0. 200 m)a. 45
Analogies Between Rotational and Translational Concepts Physical Concept Rotational Displacement q� Velocity v Acceleration w a The cause of acceleration Torque t Force F Inertia Moment of inertia I Mass m Newton’s second law Work St = Ia tq� SF = ma Fs Kinetic energy ½Iw 2 ½mv 2 Momentum L = Iw p = mv Translational s a 46
Check Your Understanding 3 47
Three massless rods are free to rotate about an axis at their left end (see the drawing). The same force F is applied to the right end of each rod. Objects with different masses are attached to the rods, but the total mass (3 m) of the objects is the same for each rod. Rank the angular acceleration of the rods, largest to smallest. Let’s say the length is 2 a. All three has the same Torque around axis to page. 48
Since is the same for all 3, the product should be the same for all 3, hence large I should have smaller . IC > IB > IA A, B, C 49
Rotational Work and Energy DEFINITION OF ROTATIONAL WORK The rotational work WR done by a constant torque t in turning an object through an angle q� is Requirement: q� must be expressed in radians. W = Fs = Frq� SI Unit of Rotational Work: joule (J) 50
kinetic energy is 51
DEFINITION OF ROTATIONAL KINETIC ENERGY The rotational kinetic energy KER of a rigid object rotating with an angular speed w about a fixed axis and having a moment of inertia I is Requirement: w must be expressed in rad/s. SI Unit of Rotational Kinetic Energy: joule (J) 52
53
Example 12. Rolling Cylinders A thin-walled hollow cylinder (mass = mh, radius = rh) and a solid cylinder (mass = ms, radius = rs) start from rest at the top of an incline. Both cylinders start at the same vertical height h 0. All heights are measured relative to an arbitrarily chosen zero level that passes through the center of mass of a cylinder when it is at the bottom of the incline. Ignoring energy losses due to retarding forces, determine which cylinder has the greatest translational speed upon reaching the bottom. 54
h = h 0, v 0 = 0 m/s, w 0 = 0 rad/s 55
The solid cylinder, having the greater translational speed, arrives at the bottom first. 56
Check Your Understanding 4 Two solid balls are placed side by side at the top of an incline plane and, starting from rest, are allowed to roll down the incline. Which ball, if either, has the greater translational speed at the bottom if (a) they have the same radii but one is more massive than the other, and (b) they have the same mass but one has a larger radius? 57
Solid ball I= (2/5) mr 2 For m 1 and r 1 , I 1= (2/5) m 1 r 12 58
For m 2 and r 2 , I 2= (2/5) m 2 r 22 (a), (b) Both have the same translational speed. 59
Angular Momentum DEFINITION OF ANGULAR MOMENTUM The angular momentum L of a body rotating about a fixed axis is the product of the body’s moment of inertia I and its angular velocity w with respect to that axis: Requirement: w must be expressed in rad/s. SI Unit of Angular Momentum: kg·m 2/s 60
PRINCIPLE OF CONSERVATION OF ANGULAR MOMENTUM The total angular momentum of a system remains constant (is conserved) if the net average external torque acting on the system is zero. 61
Conceptual Example 13. A Spinning Skater An ice skater is spinning with both arms and a leg outstretched. She pulls her arms and leg inward. As a result of this maneuver, her spinning motion changes dramatically. Using the principle of conservation of angular momentum, explain how and why it changes. 62
Example 14. A Satellite in an Elliptical Orbit An artificial satellite is placed into an elliptical orbit about the earth. Telemetry data indicate that its point of closest approach (called the perigee) is r. P = 8. 37 × 106 m from the center of the earth, and its point of greatest distance (called the apogee) is r. A = 25. 1 × 106 m from the center of the earth. The speed of the satellite at the perigee is v. P = 8450 m/s. Find its speed v. A at the apogee. 63
Kepler’s second law of planetary motion states that a line joining a planet to the sun sweeps out equal areas in equal time intervals. 64
Concepts & Calculations Example 15. Torque and Force A crate resting on a horizontal surface. It has a square cross section and a weight of W = 580 N, which is uniformly distributed. At the bottom right edge is a small obstruction that prevents the crate from sliding when a horizontal pushing force P is applied to the left side. However, if this force is great enough, the crate will begin to tip or rotate over the obstruction. Determine the minimum pushing force that leads to tipping. 65
66
Concepts & Calculations Example 16. Which Sphere Takes Longer to Stop? Two spheres are each rotating at an angular speed of 24 rad/s about axes that pass through their centers. Each has a radius of 0. 20 m and a mass of 1. 5 kg. However, one is solid and the other is a thinwalled spherical shell. 67
Suddenly, a net external torque due to friction (magnitude = 0. 12 N · m) begins to act on each sphere and slows the motion down. How long does it take each sphere to come to a halt? 68
Solid sphere I=(2/5)MR 2 69
Spherical shell I=(2/3)MR 2 70
Conceptual Question 20 If the ice cap at the South Pole melted and the water were uniformly distributed over the earth's oceans, 1) earth’s angular velocity increases, decreases, or same? I increases but constant (no external torques) 71
REASONING AND SOLUTION Consider the earth to be an isolated system. Note that the earth rotates about an axis that passes through the North and South poles and is perpendicular to the plane of the equator. If the ice cap at the South Pole melted and the water were uniformly distributed over the earth's oceans, the mass at the South Pole would be uniformly distributed and, on average, be farther from the earth's rotational axis. The moment of inertia of the earth would, therefore, increase. Since the earth is an isolated system, any torques involved in the redistribution of the water would be internal torques; therefore, the angular momentum of the earth must remain the same. If the moment of inertia increases, and the angular momentum is to remain constant, the angular velocity of the earth must decrease. 72
Conceptual Question 21 River sediments, (Mississippi), towards equator. What happens to angular velocity? Main distribution from top towards equator (r---larger) I increases. Since is constant, (why? ) decreases. 73
Conceptual Question 21 REASONING AND SOLUTION Note that the earth rotates about an axis that passes through the North and South poles and is perpendicular to the plane of the equator. When rivers like the Mississippi carry sediment toward the equator, they redistribute the mass from a more uniform distribution to a distribution with more mass concentrated around the equator. This increases the moment of inertia of the earth. If the earth is considered to be an isolated system, then any torques involved in the redistribution of mass are internal torques. Therefore, the angular momentum of the earth must remain constant. The moment of inertia increases, and the angular momentum must remain the same; therefore, the angular velocity must decrease. 74
Conceptual Question 22 REASONING AND SOLUTION Let the system be the rotating cloud of interstellar gas. The gravitational force that pulls the particles together is internal to the system; hence, the torque resulting from the gravitational force is an internal torque. Since there is no net external torque acting on the collapsing cloud, the angular momentum, , of the cloud must remain constant. Since the cloud is shrinking, its moment of inertia I decreases. Since the product remains constant, the angular velocity must increase as I decreases. Therefore, the angular velocity of the formed star would be greater than the angular velocity of the original gas cloud. 75
Problem 12 REASONING When the board just begins to tip, three forces act on the board. They are the weight W of the board, the weight WP of the person, and the force F exerted by the right support. x F 1. 4 m x W = 225 N W 450 N P = 76
Since the board will rotate around the right support, the lever arm for this force is zero, and the torque exerted by the right support is zero. The lever arm for the weight of the board is equal to one-half the length of the board minus the overhang length: 2. 5 m 1. 1 m = 1. 4 m The lever arm for the weight of the person is x. Therefore, taking counterclockwise torques as positive, we have This expression can be solved for x. SOLUTION Solving the expression above for x, we obtain 77
Problem 19 Fr Axis cg Ff REASONING The jet is in equilibrium, so the sum of the external forces is zero, and the sum of the external torques is zero. We can use these two conditions to evaluate the forces exerted on the wheels. 78
SOLUTION a. Let Ff be the magnitude of the normal force that the ground exerts on the front wheel. Since the net torque acting on the plane is zero, we have (using an axis through the points of contact between the rear wheels and the ground) St = W w + Ff f = 0 where W is the weight of the plane, and w and f are the lever arms for the forces W and Ff , respectively. Thus, St = (1. 00 *106 N)(15. 0 m 12. 6 m) + Ff (15. 0 m) = 0 Solving for Ff gives Ff = 79
b. Setting the sum of the vertical forces equal to zero yields SFy = Ff + 2 Fr W = 0 where the factor of 2 arises because there are two rear wheels. Substituting in the data, SFy = 1. 60 *105 N + 2 Fr 1. 00 * 106 N = 0 Fr = 80
Problem 42 a a T 2 REASONING AND SOLUTION Newton's law applied to the 11. 0 -kg object gives T 1 T 2 (11. 0 kg)(9. 80 m/s 2) = (11. 0 kg)(4. 90 m/s 2) or T 2 = 162 N m 2= m 1= A similar treatment for the 44. 0 -kg object yields T 1 (44. 0 kg)(9. 80 m/s 2) = (44. 0 kg)( 4. 90 m/s 2) 81 or T 1 = 216 N
For an axis about the center of the pulley r r Clockwise rotation T 2 T 1 r T 2 r = I(a) 82
Solving for the mass M we obtain M = ( 2/a)(T 2 T 1) = [ 2/(4. 90 m/s 2)](162 N 216 N) =22. 0 kg 83
Problem 52 I total (stretched arms) 5. 40 kg. m 2 I red =3. 8 84
Problem 52 Angular momentum is conserved. 85