Ch 3 5 Elimination multiplication Objective To solve
Ch 3. 5 Elimination (multiplication) Objective: To solve a system of linear equations using multi-step elimination (multiplication and addition).
Rules 1) Rearrange the equations so that “like” terms are lined up. 2) Find the LCM (least common multiple) of the coefficients pertaining to one of the variables. 3) Multiply each equation so the coefficient of the chosen variable equals the LCM. 4) Add (or subtract) the two equations to each other to eliminate a variable. 5) Solve for the remaining variable. Check Your Answers! Plug in the x and y solutions into BOTH equations to verify that they both make TRUE statements.
Review Find the LCM for the following: 1) 2 x, 3 x x 1 = 2 x 3 x x 2 = 4 x 6 x x 3 = 6 x x 4 = 8 x 2) 2 y, 8 y x 1 = 2 y x 2 = 4 y x 3 = 6 y x 4 = 8 y LCM (x) = 6 LCM (y) = 8
Example 1 Solve using elimination 2 x + 3 y = 3 LCM (x) = 2 x + 6 y = -3 1(2 x + 3 y = 3) -2( x + 6 y = -3) 2 x + 3 y = 3 + -2 x - 12 y = 6 2 x + 3 y = 3 2 x + 3(-1) = 3 − 3 +3 2 x = 6 x=3 -9 y = 9 -9 -9 y = -1 x = 3, y = -1
Example 2 Solve using elimination 2 x + 3 y = -4 x – 4 y = 9 LCM (x) = 2 1(2 x + 3 y = -4) -2( x – 4 y = 9) 2 x + 3 y = - 4 + -2 x + 8 y = -18 2 x + 3 y = -4 2 x + 3(-2) = -4 +6 − 6 2 x = 2 x=1 11 y = -22 11 11 y = -2 x = 1, y = -2
Example 3 Solve using elimination -2 x + 3 y = 5 5 x – 2 y = 4 LCM (x) = 10 5(-2 x + 3 y = 5) 2( 5 x – 2 y = 4) -10 x + 15 y = 25 + 10 x – 4 y = 8 -2 x + 3 y = 5 -2 x + 3(3) = 5 − 9 -2 x = -4 x=2 11 y = 33 11 11 y=3 x = 2, y = 3
Example 4 Solve using elimination 15 x + 8 y = -27 LCM (x) = 15 1(15 x + 8 y = -27) 5 x + 2 y = -13 -3( 5 x + 2 y = -13) 15 x + 8 y = -27 + -15 x – 6 y = 39 15 x + 8 y = -27 15 x + 8(6) = -27 − 48 15 x = -75 x = -5 2 y = 12 2 2 y=6 x = -5, y = 6
Classwork 1) 2 x – 9 y = 9 -8 x – 3 y = 3 2) -7 x – 2 y = -11 -8 x – 4 y = -4 3) -2 x – 4 y = -22 -7 x – 3 y = 0 4) 3 x + 3 y = 18 5 x + 7 y = 22
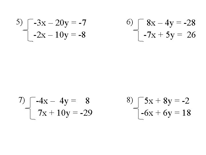
5) 7) -3 x – 20 y = -7 -2 x – 10 y = -8 -4 x – 4 y = 8 7 x + 10 y = -29 6) 8) 8 x – 4 y = -28 -7 x + 5 y = 26 5 x + 8 y = -2 -6 x + 6 y = 18
- Slides: 9