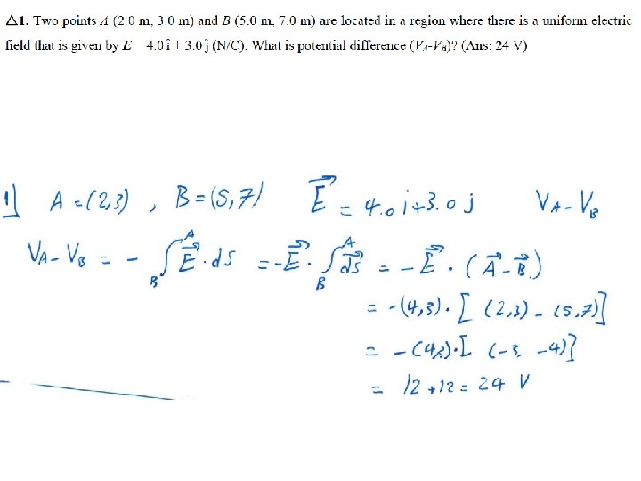
CH 24 Problems Electric Potential JH Given E

Sign up to view full document!
SIGN UP
  • Slides: 24
Download presentation