Ch 10 Simple Harmonic Motion and Elasticity The









































































- Slides: 73
Ch 10. Simple Harmonic Motion and Elasticity The Ideal Spring and Simple Harmonic Motion The constant k is called the spring constant A spring that behaves according to said to be an ideal spring. is 1
Example 1. A Tire Pressure Gauge In a tire pressure gauge, the air in the tire pushes against a plunger attached to a spring when the gauge is pressed against the tire valve. Suppose the spring constant of the spring is k = 320 N/m and the bar indicator of the gauge extends 2. 0 cm when the gauge is pressed against the tire valve. What force does the air in the tire apply to the spring? 2
Conceptual Example 2. Are Shorter Springs Stiffer Springs? A 10 -coil spring that has a spring constant k. If this spring is cut in half, so there are two 5 -coil springs, what is the spring constant of each of the smaller springs? Shorter springs are stiffer springs. Sometimes the spring constant k is referred to as the stiffness of the spring, because a large value for k means the spring is “stiff, ” in the sense that a large force is required to stretch or compress it. 3
HOOKE’S LAW RESTORING FORCE OF AN IDEAL SPRING* The restoring force of an ideal spring is (10. 2) where k is the spring constant and x is the displacement of the spring from its unstrained length. The minus sign indicates that the restoring force always points in a direction opposite to the displacement of the spring. 4
5
When the restoring force has the mathematical form given by F = –kx, the type of friction-free motion illustrated in the figure is designated as “simple harmonic motion. ” 6
The maximum excursion from equilibrium is the amplitude A of the motion. The shape of this graph is characteristic of simple harmonic motion and is called “sinusoidal, ” because it 7 has the shape of a trigonometric sine or cosine function.
Check Your Understanding 1 A 0. 42 -kg block is attached to the end of a horizontal ideal spring and rests on a frictionless surface. The block is pulled so that the spring stretches by 2. 1 cm relative to its unstrained length. When the block is released, it moves with an acceleration of 9. 0 m/s 2. What is the spring constant of the spring? 180 N/m 8
2. 1 cm kx = ma 9
mg = kd 0, which gives d 0 = mg/k. The restoring force also leads to simple harmonic motion when the object is attached to a vertical spring, just as it does when the spring is horizontal. When the spring is vertical, however, the weight of the object causes the spring to stretch, and the motion occurs with respect to the equilibrium position of the object on the stretched spring. 10
Simple Harmonic Motion and the Reference Circle Simple harmonic motion, like any motion, can be described 11 in terms of displacement, velocity, and acceleration.
DISPLACEMENT 12
For any object in simple harmonic motion, the time required to complete one cycle is the period T Instead of the period, it is more convenient to speak of the frequency f of the motion, the frequency being just the number of cycles of the motion per second. 13
One cycle per second is referred to as one hertz (Hz). One thousand cycles per second is called one kilohertz (k. Hz). is often called the angular frequency. 14
VELOCITY velocity is not constant, but varies between maximum and minimum values as time passes 15
Example 3. The Maximum Speed of a Loudspeaker Diaphragm The diaphragm of a loudspeaker moves back and forth in simple harmonic motion to create sound. The frequency of the motion is f = 1. 0 k. Hz and the amplitude is A = 0. 20 mm. (a)What is the maximum speed of the diaphragm? (b)Where in the motion does this maximum speed occur? 16
(a) (b) The speed of the diaphragm is zero when the diaphragm momentarily comes to rest at either end of its motion: x = +A and x = –A. Its maximum speed occurs midway between these two positions, or at x = 0 m. 17
Conceptual Example 4. Moving Lights Over the entrance to a restaurant is mounted a strip of equally spaced light bulbs, as Figure 10. 13 a illustrates. Starting at the left end, each bulb turns on in sequence for one-half second. Thus, a lighted bulb appears to move from left to right. Once the apparent motion of a lighted bulb reaches the right side of the sign, the motion reverses. The lighted bulb then appears to move to the left, as part b of the drawing indicates. Thus, the lighted bulb appears to oscillate back and forth. Is the apparent motion simple harmonic motion? No. Speed is constant. 18
ACCELERATION ac centripetal acceleration a acceleration of the shadow (ch 8) 19
Example 5. The Loudspeaker Revisited—The Maximum Acceleration A loudspeaker diaphragm is vibrating at a frequency of f = 1. 0 k. Hz, and the amplitude of the motion is A = 0. 20 mm. (a)What is the maximum acceleration of the diaphragm, and (b)where does this maximum acceleration occur? 20
(a) (b) the maximum acceleration occurs at x = +A and x = –A 21
FREQUENCY OF VIBRATION F = ma 22
Example 6. A Body Mass Measurement Device Astronauts who spend long periods of time in orbit periodically measure their body masses as part of their health-maintenance programs. On earth, it is simple to measure body weight W with a scale and convert it to mass m using the acceleration due to gravity, since W = mg. However, this procedure does not work in orbit, because both the scale and the astronaut are in free-fall and cannot press against each other. Instead, astronauts use a body mass measurement device. This device consists of a spring-mounted chair in which the astronaut sits. The chair is then started oscillating in simple harmonic motion. The period of the motion is measured electronically and is automatically converted into a value of the astronaut’s mass, after the mass of the chair is taken into account. The spring used in one such device has a spring constant of 606 N/m, and the mass of the chair is 12. 0 kg. The measured oscillation period is 2. 41 s. Find the mass of the 23 astronaut.
24
Check Your Understanding 2 The drawing shows plots of the displacement x versus the time t for three objects undergoing simple harmonic motion. Which object, I, II, or III, has the greatest maximum velocity? II 25
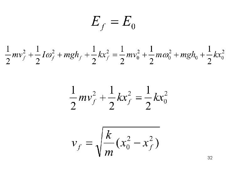
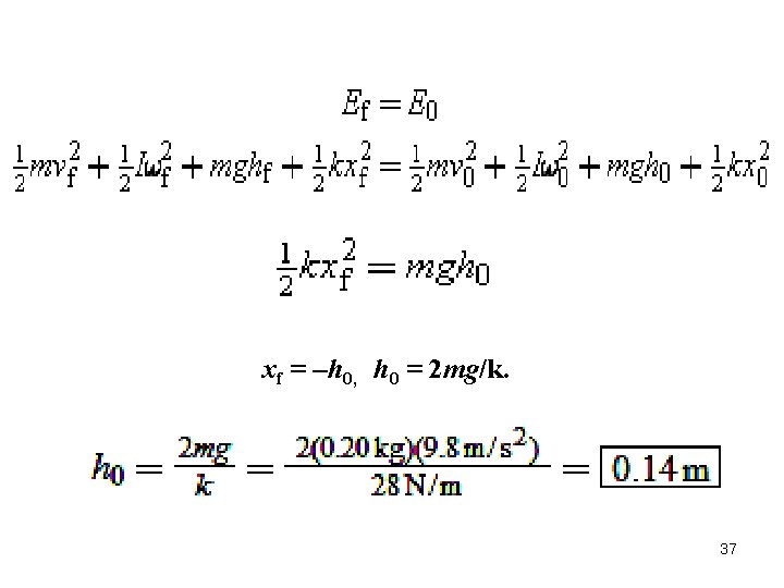
Energy and Simple Harmonic Motion A spring also has potential energy when the spring is stretched or compressed, which we refer to as elastic potential energy. Because of elastic potential energy, a stretched or compressed spring can do work on an object that is attached to the spring. 26
27
DEFINITION OF ELASTIC POTENTIAL ENERGY The elastic potential energy PEelastic is the energy that a spring has by virtue of being stretched or compressed. For an ideal spring that has a spring constant k and is stretched or compressed by an amount x relative to its unstrained length, the elastic potential energy is SI Unit of Elastic Potential Energy: joule (J) 28
29
30
Example 7. An Object on a Horizontal Spring An object of mass m = 0. 200 kg that is vibrating on a horizontal frictionless table. The spring has a spring constant k = 545 N/m. It is stretched initially to x 0 = 4. 50 cm and then released from rest (see part A of the drawing). Determine the final translational speed vf of the object when the final displacement of the spring is (a) xf = 2. 25 cm and (b) xf = 0 cm. 31
32
(a) Since x 0 = 0. 0450 m and xf = 0. 0225 m, (b) When x 0 = 0. 0450 m and xf = 0 m, 33
Conceptual Example 8. Changing the Mass of a Simple Harmonic Oscillator A box of mass m attached to a spring that has a force constant k. The box rests on a horizontal, frictionless surface. The spring is initially stretched to x = A and then released from rest. The box then executes simple harmonic motion that is characterized by a maximum speed vmax, an amplitude A, and an angular frequency w. 34
When the box is passing through the point where the spring is unstrained (x = 0 m), a second box of the same mass m and speed vmax is attached to it, as in part b of the drawing. Discuss what happens to (a) the maximum speed, (b) the amplitude, and (c) the angular frequency of the subsequent simple harmonic motion. Elastic Potential Energy A 2 (a) The maximum speed of the two-box system remains the same as that of the one-box system. (b) The amplitude of the two-box system is greater than that of the one-box system by a factor of (c) The angular frequency of the two-box system is smaller than that of the one-box system by a factor of 35
Example 9. A Falling Ball on a Vertical Spring A 0. 20 -kg ball is attached to a vertical spring. The spring constant of the spring is 28 N/m. The ball, supported initially so that the spring is neither stretched nor compressed, is released from rest. In the absence of air resistance, how far does the ball fall before being brought to a momentary stop by the spring? 36
xf = –h 0, h 0 = 2 mg/k. 37
Check Your Understanding 3 A block is attached to the end of a horizontal ideal spring and rests on a frictionless surface. The block is pulled so that the spring stretches relative to its unstrained length. In each of the following three cases, the spring is stretched initially by the same amount, but the block is given different initial speeds. Rank the amplitudes of the resulting simple harmonic motion in decreasing order (largest first). (a) The block is released from rest. (b) The block is given an initial speed v 0. (c) The block is given an initial speed v 0/2. (b), (c), (a) 38
The Pendulum A simple pendulum consists of a particle of mass m, attached to a frictionless pivot P by a cable of length L and negligible mass. 39
40
Example 10. Keeping Time Determine the length of a simple pendulum that will swing back and forth in simple harmonic motion with a period of 1. 00 s. 41
Example 11. Pendulum Motion and Walking When we walk, our legs alternately swing forward about the hip joint as a pivot. In this motion the leg is acting approximately as a physical pendulum. Treating the leg as a uniform rod of length D = 0. 80 m, find the time it takes for the leg to swing forward. The desired time is one-half of the period or 0. 75 s. 42
Damped Harmonic Motion In the presence of energy dissipation, the amplitude of oscillation decreases as time passes, and the motion is no longer simple harmonic motion. Instead, it is referred to as damped harmonic motion, the decrease in amplitude being called “damping. ” 43
The smallest degree of damping that completely eliminates the oscillations is termed “critical damping, ” and the motion is said to be critically damped. When the damping exceeds the critical value, the motion is said to be overdamped. In contrast, when the damping is less than the critical level, the motion is said to be underdamped (curves 2 and 3). 44
Conceptual Question 6 REASONING AND SOLUTION A block is attached to a horizontal spring and slides back and forth in simple harmonic motion on a frictionless horizontal surface. A second identical block is suddenly attached to the first block when the first block is at one extreme end of the oscillation cycle. a. Since the attachment is made at one extreme end of the oscillation cycle, where the velocity is zero, the extreme end of the oscillation cycle will remain at the same point; in other words, the amplitude remains the same. 45
b. The angular frequency of an object of mass m in simple harmonic motion at the end of a spring of force constant k is given by Equation 10. 11: . Since the mass m is doubled while the force constant k remains the same, the angular frequency decreases by a factor of. The vibrational frequency f is related to w by f = w/(2 ) ; the vibrational frequency f will also decrease by a factor of c. The maximum speed of oscillation is given by Equation 10. 8: . Since the amplitude, A, remains the same and the angular frequency, w, decreases by a factor of , the maximum speed of oscillation also decreases by a factor of. 46
Conceptual Question 11 REASONING AND SOLUTION From Equations 10. 5 and 10. 11, we can deduce that the period of the simple harmonic motion of an ideal spring is given by , where m is the mass at the end of the ideal spring and k is the spring constant. We can deduce from Equations 10. 5 and 10. 16 that, for small angles, the period, T, of a simple pendulum is given by where L is the length of the pendulum. In principle, the motion of a simple pendulum and an object on an ideal spring can both be used to provide the period of a clock. However, it is clear from the expressions for the period given above that the period of the mass-spring system depends only on the mass and the spring constant, while the period of the pendulum depends on the acceleration due to gravity. Therefore, a pendulum clock is likely to become more inaccurate when it is carried to the top of a high mountain where the value of g will be smaller than it is at sea level. 47
Conceptual Question 12 REASONING AND SOLUTION We can deduce from Equations 10. 5 and 10. 16 that, for small angles, the period, T, of a simple pendulum is given by where L is the length of the pendulum. This can be solved for the acceleration due to gravity to yield: If you were held prisoner in a room and had only a watch and a pair of shoes with shoelaces of known length, you could determine whether this room is on earth or on the moon in the following way: You could use one of the shoelaces and one of the shoes to make a pendulum. You could then set the pendulum into oscillation and use the watch to measure the period of the pendulum. The acceleration due to gravity could then be calculated from the expression above. If the value is close to 9. 80 m/s 2, then it can be concluded that the room is on earth. If the value is close to 1. 6 m/s 2, then it can be concluded 48 that the room is on the moon.
Problem 8 REASONING AND SOLUTION The figure at the right shows the original situation before the spring is cut. The weight, W, of the object stretches the string by an amount x. Applying F = kx to this situation gives W = kx (1) 49
The figure at the right shows the situation after the spring is cut into two segments of equal length. Let k' represent the spring constant of each half of the spring after it is cut. Now the weight, W, of the object stretches each segment by an amount x'. Applying F = kx to this situation gives W = k'x' + k'x' = 2 k'x' (2) 50
Combining Equations (1) and (2) yields kx = 2 k'x' From Conceptual Example 2, we know that k' = 2 k so that kx = 2(2 k)x' Solving for x' gives 51
Problem 16 REASONING AND SOLUTION From Conceptual Example 2, we know that when the spring is cut in half, the spring constant for each half is twice as large as that of the original spring. In this case, the spring is cut into four shorter springs. Thus, each of the four shorter springs with 25 coils has a spring constant of The angular frequency of simple harmonic motion is given by Equation 10. 11: 52
Problem 17 REASONING AND SOLUTION a. Since the object oscillates between , the amplitude of the motion is 0. 08 m b. From the graph, the period is T=4. 0 s. Therefore, according to Equation 10. 4, 53
c. Equation 10. 11 relates the angular frequency to the spring constant: . Solving for k we find d. At t=1. 0 s, the graph shows that the spring has its maximum displacement. At this location, the object is momentarily at rest, so that its speed is v=0 m/s e. The acceleration of the object at t=1. 0 s is a maximum, and its magnitude is 54
Problem 21 REASONING The frequency of vibration of the spring is related to the added mass m by Equations 10. 6 and 10. 11: The spring constant can be determined from Equation 10. 1 SOLUTION Since the spring stretches by 0. 018 m when a 2. 8 -kg object is suspended from its end, the spring constant is, according to Equation 10. 1, 55
Solving Equation (1) for m, we find that the mass required to make the spring vibrate at 3. 0 Hz is 56
Problem 25 0. 2 m 0. 392 m 0. 2 m 2. 0 kg 0. 2 m point of release 57
Problem 25 REASONING AND SOLUTION If we neglect air resistance, only the conservative forces of the spring and gravity act on the ball. Therefore, the principle of conservation of mechanical energy applies When the 2. 00 kg object is hung on the end of the vertical spring, it stretches the spring by an amount x, where This position represents the equilibrium position of the system with the 2. 00‑kg object suspended from the spring. The object is then pulled down another 0. 200 m and released from rest 58 (v 0=0 m/s).
At this point the spring is stretched by an amount of. This point represents the zero reference level ( m) for the gravitational potential energy. h = 0 m: The kinetic energy, the gravitational potential energy, and the elastic potential energy at the point of release are: The total mechanical energy E 0 at the point of release is the sum of the three energies above: 59
h = 0. 200 m: When the object has risen a distance of above the release point, the spring is stretched by an amount of. Since the total mechanical energy is conserved, its value at this point is still. The gravitational and elastic potential energies are: Since 60
h = 0. 400 m: When the object has risen a distance of above the release point, the spring is stretched by an amount of. At this point, the total mechanical energy is still. The gravitational and elastic potential energies are: The kinetic energy is 61
The results are summarized in the table below h 0. 000 m 0. 200 m 0. 400 m KE 0. 00 J 1. 00 J 0. 00 J E 0. 00 J 3. 92 J 7. 84 J 8. 76 J 3. 84 J 0. 92 J 8. 76 J 62
Problem 32 k f = 3. 0 HZ m A = 5. 08*10 -2 m k m/2 Max speed at halfway of the amplitude. m m/2 63
REASONING AND SOLUTION a. Now look at conservation of energy before and after the split Before split (1/2) mvmax 2 = (1/2) k. A 2 Solving for the amplitude A gives After split If new amplitude is A’ (1/2) (m/2)v'2 = (1/2) (m/2)(vmax)2 = (1/2) k. A'2 64
Solving for the amplitude A' gives Therefore, we find that A' = A/ = (5. 08 * 10– 2 m)/ = 3. 59*10 -2 m Similarly, for the frequency, we can show that f' = f = (3. 00 Hz) = 4. 24 Hz 65
b. If the block splits at one of the extreme positions, the amplitude of the SHM would not change, so it would remain as 5. 08*10 -2 m The frequency would be f' = f = (3. 00 Hz) = 4. 24 Hz 66
Problem 38 x . . . t = 0. 25 s Object is resting on the spring. F = kx = mg 67
REASONING AND SOLUTION Using f = 1/T = 1/(0. 250 s) = 4. 00 Hz and also we can find the ratio k/m = 4 2 f 2 = 632 N/(kg m) With the object resting on the spring, F = kx = mg so that, 68
When the mass leaves the spring, potential energy of the spring has been converted to gravitational energy, i. e. , if h is the height, it can reach (1/2) kx'2 = mgh Where x' = 0. 0500 m + 0. 0155 m = 0. 0655 m Solving for h we get 69
Problem 41 REASONING AND SOLUTION Recall that the relationship between frequency f and period T is. Then, according to Equations 10. 6 and 10. 16, the period of the simple pendulum is given by where L is the length of the pendulum. Solving for g and noting that the period is T = (280 s)/100 = 2. 8 s, we obtain 70
Problem 68 REASONING The force F that the spring exerts on the block just before it is released is equal to –kx, according to Equation 10. 2. Here k is the spring constant and x is the displacement of the spring from its equilibrium position. Once the block has been released, it oscillates back and forth with an angular frequency given by Equation 10. 11 as , where m is the mass of the block. The maximum speed that the block attains during the oscillatory motion is vmax = A (Equation 10. 8). The magnitude of the maximum acceleration that the block attains is amax = A 2 (Equation 10. 10). 71
SOLUTION a. The force F exerted on the block by the spring is b. The angular frequency motion is of the resulting oscillatory 72
c. The maximum speed vmax is the product of the amplitude and the angular frequency: d. The magnitude amax of the maximum acceleration is 73