Cellule adelomorfe Spec Pepsina aa aromatici acidi e




















































- Slides: 52
(Cellule adelomorfe) Spec. Pepsina: aa aromatici, acidi e Leu
Ormoni attivi nella digestione Gastrina: ormone peptidico prodotto dalle cellule G presenti nella mucosa pilorica dello stomaco e nella parte prossimale del tenue, la cui funzione principale è regolare la secrezione di HCl e pepsinogeno. Gli stimoli alla sua produzione possono essere di natura: - meccanica (cioè la distensione delle pareti dello stomaco) - chimica (ad opera di peptidi, amminoacidi, alcool o un ambiente intragastrico troppo basico). Secretina: ormone peptidico rilasciato nel sangue dalle cellule S delle cripte del Lieberkühn del duodeno quando il contenuto dello stomaco passa nell’intestino; stimola il pancreas a secernere HCO 3 - nell’intestino. Colecistochinina: ormone peptidico rilasciato nel sangue dalle cellule I dell’intestino quando arrivano amminoacidi e grassi nel duodeno; stimola la secrezione degli enzimi pancreatici e della bile. Sopprime il senso di fame.
Attivazione proteolitica degli zimogeni Proteasi secreta da cellule delle cripte del Lieberkühn del duodeno in risposta al passaggio di cibo dallo stomaco all’intestino. Inibitore pancreatico della tripsina
Assorbimento intestinale degli amminoacidi Trasportatori situati nell’orletto a spazzola degli enterociti – funzionano in simporto con Na+ Identificati 4 sistemi di trasporto: - Trasportatore degli amminoacidi neutri - Trasportatore degli amminoacidi basici (anche Cys) - Trasportatore degli amminoacidi bicarbossilici (acidi) - Trasportatore per Gly e Pro
Amminoacidi essenziali per l’uomo • • • Fenilalanina Isoleucina Istidina Leucina Lisina Metionina Treonina Triptofano Valina (Arginina)
Eliminazione dell’azoto
Destino dell’azoto
Reazione di transamminazione
Piridossale Piridossamina
A
Aspar
Vitamina B 6 VITAMERI: La piridossina, il piridossale e la piridossamina (e i corrispondenti esteri 5' fosfati - il più noto è il piridossalfosfato) sono le forme con cui si presenta la vitamina B 6. Il piridossalfosfato è la forma attiva della vitamina B 6 e un cofattore di enzimi transferasi come le transaminasi. FONTI: La vitamina B 6 è presente nei cibi sia di origine animale che vegetale. Generalmente nei primi vi è una maggior quantità di piridossamina e piridossale fosforilati mentre nei secondi prevale la piridossina. RDA: 1 -2 mg/die CARENZA: La carenza di vitamina B 6 è rara. Studi su volontari che hanno assunto un antagonista della vitamina hanno registrato comparsa di depressione con nausea, vomito, dermatite seborroica, lesioni delle mucose, glossite e neuropatie periferiche.
Aspartato amminotransferasi (AST)
Aspartato amminotransferasi (AST)
Glu deidrogenasi (presente nei mitocondri, formato da 6 subunità)
Ser/Thr deidratasi
Ser/Thr deidratasi a-chetobutirrato decarbossilato a propionil-Co. A
Catabolismo del gruppo amminico (fegato)
Trasporto di ammoniaca come glutammina
Ciclo muscolo-epatico alanina glucosio
Carbamil fosfato sintetasi I
+ H 2 O
Urea ematica 5 m. M Nel caso di grave insufficienza epatica 250 m. M
Nel citosol
Stechiometria del ciclo dell’urea CO 2 + NH 4+ + 3 ATP + Asp + 2 H 2 O Urea + 2 ADP + 2 Pi + AMP + PPi + fumarato
N-acetilglutammato come regolatore del ciclo dell’urea Acetil-Co. A, Glu e Arg segnalano che energia e intermedi per il ciclo dell’urea sono disponibili
Amminoacidi che danno piruvato
Amminoacidi che danno a-chetoglutarato
Amminoacidi che danno ossalacetato
Amminoacidi che danno succinil-Co. A
Ciclo muscolo-epatico alanina glucosio
Berg et al. , BIOCHIMICA 6/E, Zanichelli editore S. p. A. Copyright © 2007
Degradazione di Phe e Tyr * ** *Phe idrossilasi: Phe + O 2 +NADPH + H+ Tyr + NADP+ + H 2 O Deficit: fenilchetonuria (Phe e Phepyr nelle urine, ritardo mentale) ** Omogentisato ossidasi: Omogentisato + O 2 maleilacetato + H+ Deficit: Alcaptonuria (omogentisato nelle urine, all’aria dà un polimero di colore scuro)
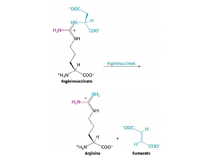
Trattamento della carenza di Argininosuccinasi Dieta arricchita in Arg e limitata assunzione di proteine
Trattamento della carenza di carbamil fosfato sintetasi e OTC Dieta povera di proteine integrata con grandi quantità di benzoato e fenilacetato