Cellular DMFT studies of the doped Mott insulator










































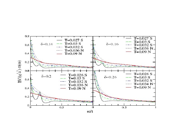
![Optical Conductivity near optimal doping. [DCA ED+NCA study, K. Haule and GK] Optical Conductivity near optimal doping. [DCA ED+NCA study, K. Haule and GK]](https://slidetodoc.com/presentation_image_h2/c5be8edf7eadee93ea31361a3a9be8ae/image-43.jpg)










































- Slides: 85
Cellular DMFT studies of the doped Mott insulator • Gabriel Kotliar • Center for Materials Theory Rutgers University • CPTH Ecole Polytechnique Palaiseau, and CEA Saclay , France Collaborators: M. Civelli, K. Haule, M. Capone, O. Parcollet, T. D. Stanescu, (Rutgers) V. Kancharla (Rutgers+Sherbrook) A. M Tremblay, D. Senechal B. Kyung (Sherbrooke) Discussions: A. Georges, N. Bontemps, A. Sacuto. $$Support : NSF DMR. Blaise Pascal Chair Fondation de l’Ecole Normale.
More Disclaimers • Leave out inhomogeneous states and ignore disorder. • What can we understand about the evolution of the electronic structure from a minimal model of a doped Mott insulator, using Dynamical Mean Field Theory ? • Approach the problem directly from finite temperatures, not from zero temperature. Address issues of finite frequency –temperature crossovers. As we increase the temperature DMFT becomes more and more accurate. • DMFT provides a reference frame capable of describing coherence-incoherence crossover phenomena.
RVB physics and Cuprate Superconductors • P. W. Anderson. Connection between high Tc and Mott physics. Science 235, 1196 (1987) • Connection between the anomalous normal state of a doped Mott insulator and high Tc. • Slave boson approach. <b> coherence order parameter. k, D singlet formation order parameters. Baskaran Zhou Anderson , Ruckenstein et. al (1987). Other states flux phase or s+id ( G. Kotliar (1988) Affleck and
RVB phase diagram of the Cuprate Superconductors. Superexchange. • The approach to the Mott insulator renormalizes the kinetic energy Trvb increases. • The proximity to the Mott insulator reduce the charge stiffness , TBE goes to zero. • Superconducting dome. Pseudogap evolves continously into the superconducting state. G. Kotliar and J. Liu Phys. Rev. B 38, 5412 (1988) Related approach using wave functions: T. M. Rice group. Zhang et. al. Supercond Scie Tech 1, 36 (1998, Gross Joynt and Rice (1986) M. Randeria N. Trivedi , A. Paramenkanti PRL 87, 217002 (2001)
Problems with the approach. • Neel order. How to continue a Neel insulating state ? Need to treat properly finite T. • Temperature dependence of the penetration depth [Wen and Lee , Ioffe and Millis ]. Theory: r[T]=x-Ta x 2 , Exp: r[T]= x-T a. • Mean field is too uniform on the Fermi surface, in contradiction with ARPES. • No quantitative computations in the regime where there is a coherent-incoherent crossover, compare well with experiments. [e. g. Ioffe Kotliar 1989] The development of DMFT solves may solve many of these problems. !!
Impurity Model-----Lattice Model Parametrizes the physics in terms of a few functions. D , Weiss Field Alternative (T. Stanescu and G. K. ) periodize the cumulants rather than the self energies.
Cluster DMFT schemes • Mapping of a lattice model onto a quantum impurity model (degrees of freedom in the presence of a Weiss field, the central concept in DMFT). Contain two elements. • 1) Determination of the Weiss field in terms of cluster quantities. • 2) Determination of lattice quantities in terms of cluster quantities (periodization). Controlled Approximation, i. e. theory can tell when the it is reliable!! Several methods, (Bethe, Pair Scheme, DCA, CDMFT, Nested Schemes, Fictive Impurity Model, etc. ) field is rapidly developing. For reviews see: Georges et. al. RMP (1996) Maier et. al RMP (2005), Kotliar et. al cond-mat 0511085. Kyung et. al cond-mat 0511085
About CDMFT • Reference frame (such as FLT-DFT ) but is able describe strongly correlated electrons at finite temperatures, in a regime where the quasiparticle picture is not valid. • It easily describes a Fermi liquid state when there is one, at low temperatures and the coherence incoherence crossover. Functional mean field!
• CDMFT study of cuprates. AFunctional of the cluster Greens function. Allows the investigation of the normal state underlying the superconducting state, by forcing a symmetric Weiss function, we can follow the normal state near the Mott transition. • Earlier studies use QMC (Katsnelson and Lichtenstein, (1998) M Hettler et. T. Maier et. al. (2000). ) used QMC as an impurity solver and DCA as cluster scheme. (Limits U to less than 8 t ) • Use exact diag ( Krauth Caffarel 1995 ) as a solver to reach larger U’s and smaller Temperature and CDMFT as the mean field scheme. • Recently (K. Haule and GK ) the region near the superconducting –normal state transition temperature near optimal doping was studied using NCA + DCA. • DYNAMICAL GENERALIZATION OF SLAVE BOSON ANZATS • w-S(k, w)+m= w/b 2 -(D+b 2 t) (cos kx + cos ky)/b 2 +l • b----> b(k), D ----- D(w), l ----- l (k ) • Extends the functional form of self energy to finite T and higher frequency.
Testing CDMFT (G. . Kotliar, S. Savrasov, G. Palsson and G. Biroli, Phys. Rev. Lett. 87, 186401 (2001) ) with two sites in the Hubbard model in one dimension V. Kancharla C. Bolech and GK PRB 67, 075110 (2003)][[M. Capone M. Civelli V Kancharla C. Castellani and GK PR B 69, 195105 (2004) ] U/t=4.
Follow the “normal state” with doping. Civelli et. al. PRL 95, 106402 (2005) Spectral Function A(k, ω→ 0)= -1/π G(k, ω → 0) vs k U=16 t, t’=-. 3 K. M. Shen et. al. 2004 If the k dependence of the self energy is weak, we expect to see contour lines corresponding to Ek = const and a height increasing as we approach the Fermi surface. 2 X 2 CDMFT
Approaching the Mott transition: CDMFT Picture • Fermi Surface Breakup. Qualitative effect, momentum space differentiation. Formation of hot –cold regions is an unavoidable consequence of the approach to the Mott insulating state! • D wave gapping of the single particle spectra as the Mott transition is approached. Real and Imaginary part of the self energies grow approaching half filling. Unlike weak coupling! • Similar scenario was encountered in previous study of the kappa organics. O Parcollet G. Biroli and G. Kotliar PRL, 92, 226402. (2004).
Spectral shapes. Large Doping Stanescu and GK cond-matt 0508302
Small Doping. T. Stanescu and GK cond-matt 0508302
Interpretation in terms of lines of zeros and lines of poles of G T. D. Stanescu and G. K cond-matt 0508302
Lines of Zeros and Spectral Shapes. Stanescu and GK cond-matt 0508302
Conclusion • CDMFT delivers the spectra. • Path between d-wave and insulator. Dynamical RVB! • Lines of zeros. Connection with other work. of A. Tsvelik and collaborators. (Perturbation theory in chains , see however Biermann et. al). T. Stanescu, fully self consistent scheme. • Weak coupling RG (T. M. Rice and collaborators). Truncation of the Fermi surface. CDMFT presents it as a strong coupling instability that begins FAR FROM FERMI SURFACE.
Superconducting State t’=0. How does the superconductor relate to the Mott insulator • Does the Hubbard model superconduct ? • Is there a superconducting dome ? • Does the superconductivity scale with J ? • How does the gap and the order parameter scale with doping ?
Superconductivity in the Hubbard model role of the Mott transition and influence of the superexchange. ( M. Capone et. al. V. Kancharla et. al. CDMFT+ED, 4+ 8 sites t’=0).
Evolution of DOS with doping U=8 t. Capone et. al. : Superconductivity is driven by transfer of spectral weight , slave boson b 2 !
Order Parameter and Superconducting Gap do not always scale! Capone et. al.
Superconducting State t’=0 • Does it superconduct ? • Yes. Unless there is a competing phase, still question of high Tc is open. See however Maier et. al. • • Is there a superconducting dome ? Yes. Provided U /W is above the Mott transition. Does the superconductivity scale with J ? Yes. Provided U /W is above the Mott transition.
Superconductivity is destroyed by transfer of spectral weight. M. Capone et. al. Similar to slave bosons d wave RVB. Notice the particle hole asymmetry (Anderson and Ong)
Anomalous Self Energy. (from Capone et. al. ) Notice the remarkable increase with decreasing doping! True superconducting pairing!! U=8 t Significant Difference with Migdal-Eliashberg.
Connection between superconducting and normal state. • Origin of the pairing. Study optics! • K. Haule development of an ED+DCA+NCA approach to the problem. • New tool for addressing the neighborhood of the dome.
RESTRICTED SUM RULES Below energy Low energy sum rule can have T and doping dependence. For nearest neighbor it gives the kinetic energy.
Treatement needs refinement • The kinetic energy of the Hubbard model contains both the kinetic energy of the holes, and the superexchange energy of the spins. • Physically they are very different. • Experimentally only measures the kinetic energy of the holes.
Conclusion • There is still a lot to be understood about the homogenous problem. • CDMFT is a significant extension of the slave boson approach. • It offers an exceptional opportunity to advance the field by having a close interaction of the “theoretical spectroscopy” and experiments.
The “healing power “ of superconductivity
• PSEUDOPARTICLES
What is the origin of the asymmetry ? Comparison with normal state near Tc. K. Haule Early slave boson work, predicted the asymmetry, and some features of the spectra. Notice that the superconducting gap is smaller than pseudogap!!
Kristjan Haule: there is an avoided quantum critical point near optimal doping.
Optical Conductivity near optimal doping. [DCA ED+NCA study, K. Haule and GK]
Behavior of the optical mass and the plasma frequency.
Magnetic Susceptibility
Outline • Theoretical Point of View, and Methodological Developments. : • Local vs Global observables. • Reference Frames. Functionals. Adiabatic Continuity. • The basic RVB pictures. • CDMFT as a numerical method, or as a boundary condition. Tests. • The superconducting state. • The underdoped region. • The optimally doped region. • Materials Design. Chemical Trends. Space of Materials.
COHERENCE INCOHERENCE CROSSOVER T/W Phase diagram of a Hubbard model with partial frustration at integer filling. M. Rozenberg et. al. , Phys. Rev. Lett. 75, 105 -108 (1995). .
Medium of free electrons : impurity model. Solve for the medium using. Self Consistency. Extraction of lattice quantities. G. . Kotliar, S. Savrasov, G. Palsson and G. Biroli, Phys. Rev. Lett. 87, 186401 (2001)
Cumulant Periodization: 2 X 2 cluster
Self energy and Greens function Periodization.
Comparison of 2 and 4 sites
Also, one would like to be able to evaluate from theory itself when the approximation is reliable!! For reviews see: Georges et. al. RMP (1996) Maier et. al RMP (2005), Kotliar et. al cond-mat 0511085. Kyung et. al cond-mat 0511085
Loesser et. al PRL
Connection with large N studies.
Cluster Extensions of Single Site DMFT
Testing CDMFT (G. . Kotliar, S. Savrasov, G. Palsson and G. Biroli, Phys. Rev. Lett. 87, 186401 (2001) ) with two sites in the Hubbard model in one dimension V. Kancharla C. Bolech and GK PRB 67, 075110 (2003)][[M. Capone M. Civelli V Kancharla C. Castellani and GK PR B 69, 195105 (2004) ] U/t=4.
References o Dynamical Mean Field Theory and a cluster extension, CDMFT: G. . Kotliar, S. Savrasov, G. Palsson and G. Biroli, Phys. Rev. Lett. 87, 186401 (2001) o Cluser Dynamical Mean Field Theories: Causality and Classical Limit. G. Biroli O. Parcollet G. Kotliar Phys. Rev. B 69 205908 • Cluster Dynamical Mean Field Theories a Strong Coupling Perspective. T. Stanescu and G. Kotliar ( 2005)
Evolution of the normal state: Questions. • Origin of electron hole asymmetry in electron and doped cuprates. • Detection of lines of zeros and the Luttinger theorem.
ED and QMC
Testing CDMFT (G. . Kotliar, S. Savrasov, G. Palsson and G. Biroli, Phys. Rev. Lett. 87, 186401 (2001) ) with two sites in the Hubbard model in one dimension V. Kancharla C. Bolech and GK PRB 67, 075110 (2003)][[M. Capone M. Civelli V Kancharla C. Castellani and GK PR B 69, 195105 (2004) ] U/t=4.
Electron Hole Asymmetry Puzzle
What about the electron doped semiconductors ?
Spectral Function A(k, ω→ 0)= -1/π G(k, ω → 0) vs k electron doped Momentum space differentiation a we approach the Mott transition is a generic phenomena. Location of cold and hot regions depend on parameters. P. Armitage et. al. 2001 Civelli et. al. 2004
Approaching the Mott transition: CDMFT Picture • Qualitative effect, momentum space differentiation. Formation of hot –cold regions is an unavoidable consequence of the approach to the Mott insulating state! • D wave gapping of the single particle spectra as the Mott transition is approached. • Similar scenario was encountered in previous study of the kappa organics. O Parcollet G. Biroli and G. Kotliar PRL, 92, 226402. (2004).
Antiferro and Supra
Competition of AF and SC or SC AF AF+SC d d
D wave Superconductivity and Antiferromagnetism t’=0 M. Capone V. Kancharla (see also VCPT Senechal and Tremblay ). Antiferromagnetic (left) and d wave superconductor (right) Order Parameters
Competition of AF and SC U /t << 8 or SC AF AF SC AF+SC d d
Conclusion
OPTICS
Differences and connections between the methods presented. • Variational approaches T=0, similar to slave boson mean field. Finite T ? • QMC small U. Is there a qualitative difference for large U ? • Weak coupling RG. Flows to strong coupling. Combine with CDMFT ?
Superconductivity is destroyed by transfer of spectral weight. M. Capone et. al. Similar to slave bosons d wave RVB.