Cdigo Gentico e Sntese de Protenas Agradecimentos Profa

  • Slides: 35
Download presentation
Código Genético e Síntese de Proteínas Agradecimentos: Profa. Dra. Aline Maria da Silva Instituto

Código Genético e Síntese de Proteínas Agradecimentos: Profa. Dra. Aline Maria da Silva Instituto de Química- USP Bibliografia: Genes VII - Benjamin Lewin Biologia Molecular Básica-Arnaldo Zaha Lenhinger Principles of Biochemistry (3 a. Ed. )

Replicação Transcrição Reversa Replicação de RNA Tradução Proteína - Processo para síntese das proteínas

Replicação Transcrição Reversa Replicação de RNA Tradução Proteína - Processo para síntese das proteínas da célula - Processo que ocorre nos ribossomos

Síntese e Processamento de Proteínas Transcrição Processamento pós-tradução Transcrito primário Processamento póstranscricional m. RNA

Síntese e Processamento de Proteínas Transcrição Processamento pós-tradução Transcrito primário Processamento póstranscricional m. RNA maduro Tradução Dobramento Modificações covalentes nos aminoácidos Proteína (inativa) Proteína ativa

t. RNA -Estrutura secundária com grampos e alças formando um trevo -Alto número de

t. RNA -Estrutura secundária com grampos e alças formando um trevo -Alto número de bases modificadas depois da sua transcrição

t. RNA

t. RNA

2 a. Letra do códon 1 a. Letra do códon Degeneração do código genético

2 a. Letra do códon 1 a. Letra do códon Degeneração do código genético

Pareamento oscilante da terceira base do códon (wobble base-pairing)

Pareamento oscilante da terceira base do códon (wobble base-pairing)

Pareamento oscilante da terceira base do códon (wobble base-pairing)

Pareamento oscilante da terceira base do códon (wobble base-pairing)

Código genético alternativo em mitocondrias

Código genético alternativo em mitocondrias

Etapas da síntese de proteínas 1. Ativação do aminoácido 2. Iniciação 3. Elongação 4.

Etapas da síntese de proteínas 1. Ativação do aminoácido 2. Iniciação 3. Elongação 4. Terminação 5. Dobramento/processamento pós-tradução

Ribossomo bacteriano 70 S (2, 7 x 106) Ribossomo Eucariótico 80 S (4, 6

Ribossomo bacteriano 70 S (2, 7 x 106) Ribossomo Eucariótico 80 S (4, 6 x 106)

O ribossomo acomoda dois t. RNAs carregados

O ribossomo acomoda dois t. RNAs carregados

1. Ativação do aminoácido

1. Ativação do aminoácido

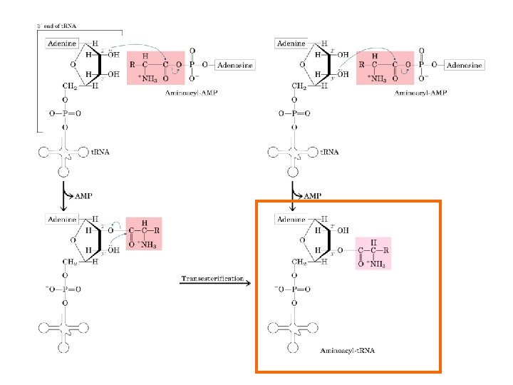
Aminoacil- t. RNA

Aminoacil- t. RNA

Sequencia de Shine-Dalgarno ou Ribossomal Binding site (RBS)

Sequencia de Shine-Dalgarno ou Ribossomal Binding site (RBS)

2. Iniciação (bactéria)

2. Iniciação (bactéria)

2. Iniciação (eucariotos)

2. Iniciação (eucariotos)

2. Iniciação (eucariotos)

2. Iniciação (eucariotos)

3. Elongação

3. Elongação

Translocação

Translocação

4. Terminação

4. Terminação

Peptídeo sinal direciona proteínas secretadas e/ou glicosiladas para o retículo endoplasmático (ER)

Peptídeo sinal direciona proteínas secretadas e/ou glicosiladas para o retículo endoplasmático (ER)

Síntese de proteínas acoplada ao ER

Síntese de proteínas acoplada ao ER

Nuclear localization sequence (NLS) direciona proteínas para o núcleo

Nuclear localization sequence (NLS) direciona proteínas para o núcleo