CATEDRATICA M C ZINATH JAVIER GERONIMO INVESTIGACION DE






















- Slides: 22
CATEDRATICA: M. C. ZINATH JAVIER GERONIMO INVESTIGACION DE OPERACIONES UNIDAD II: LINEAS DE ESPERA GENRY RICARDEZ GARCIA
El problema es determinar que capacidad o tasa de servicio proporciona el balance correcto. Esto no es sencillo, ya que el cliente no llega a un horario fijo, es decir, no se sabe con exactitud en que momento llegarán los clientes. También el tiempo de servicio no tiene un horario fijo. Una Cola es una línea de espera y la teoría de colas es una colección de modelos matemáticos que describen sistemas de líneas de espera particulares o sistemas de colas. Los modelos sirven para encontrar el comportamiento de estado estable, como la longitud promedio de la línea y el tiempo de espera promedio para un sistema dado. Esta información, junto con los costos pertinentes, se usa, entonces, para determinar la capacidad de servicio apropiada.
Un sistema de colas puede dividirse en sus dos componentes de mayor importancia, la cola y la instalación de servicio. Las llegadas son las unidades que entran en el sistema para recibir el servicio. Siempre se unen primero a la cola; si no hay línea de espera se dice que la cola esta vacía. De la cola, las llegadas van a la instalación de servicio de acuerdo con la disciplina de la cola, es decir, de acuerdo con la regla para decidir cuál de las llegadas se sirve después. El primero en llegar primero en servido es una regla común, pero podría servir con prioridades o siguiendo alguna otra regla. Una vez que se completa el servicio, las llegadas se convierten en salidas.
Ambas componentes del sistema tienen costos asociados que deben de considerarse.
Esperar significa desperdicio de algún recurso activo que bien se puede aprovechar en otra cosa y esta dado por : Costo total de espera = Cw. L Donde Cw = costo de espera por hora (en dólares) por llegada por unidad de tiempo y L= longitud promedio de la línea. Este en la mayoría se trata de comprar varias instalaciones de servicio , en estos casos solo se ocupan los costos comparativos o diferenciales.
Aquí hay que tomar en cuenta que para tasas bajas de servicio, se experimenta largas colas y costos de espera muy altos. Conforme aumenta el servicio disminuyen los costos de espera, pero aumenta el costo de servicio y el costo total disminuye, sin embargo , finalmente se llega a un punto de disminución en el rendimiento. Entonces el propósito es encontrar el balance adecuado para que el costo total sea el mínimo.
Las llegadas pueden ser personas, cartas, carros, incendios, ensambles intermedios en una fábrica, etc. En la siguiente tabla se muestran algunos ejemplos de varios sistemas de colas.
Esta notación sirve para etiquetar o nombrar a los diferentes modelos de líneas de espera que se pueden tener. La notación consta de 6 números de la forma siguiente: a/b/c/d/e/f Donde los símbolos representan lo siguiente: a= La distribución de tiempo entre llegadas. b= La distribución de tiempo de servicio. c= El número de servidores en paralelo. d= Tipo de disciplina en el servicio (FCFS, LCFS, SIRO, PRIORIDAD). e= Número máximo admitido en el sistema (línea de espera + en servicio). f= Tamaño de la población de donde se extrae los clientes.
Para reemplazar a los símbolos a y b se usan las siguientes iniciales: M = Cuando el tiempo de llegada o servicio tiene una distribución exponencial entrada o salida de Poisson (o Markoviana). D= Cuando el tiempo de llegada o servicio es determinista Ek = Cuando el tiempo de llegada o servicio tiene una distribución de Erlangs con parámetro K. G = Cuando el tiempo de llegada o servicio tiene una distribución general (cualquier distribución arbitraria). Como observamos los elementos básicos para crear un modelo de línea de espera, dependerá de los siguientes factores: Distribución de llegadas. (Individuales o en grupo). Distribución de servicio. (Individuales o en grupo). Diseño de la instalación (estaciones en serie, paralelo, o en red) Disciplina de servicio Tamaño de la línea (finita o infinita) Fuente de los clientes (finita o infinita)
La mayoría de los modelos de colas suponen que las entradas y salidas al sistema de colas, ocurren de acuerdo al proceso de nacimiento y muerte. En este caso un nacimiento se refiere a la entrada de un nuevo cliente y una muerte a la salida de un cliente servido. Este proceso nos sirve para calcular el número de clientes probables que habrá en un sistema en un tiempo determinado t. N(t) número de clientes que hay en el momento t. Este proceso de nacimiento y muerte describe en términos probabilísticos como cambia N (t) al aumentar t.
Este proceso hace las siguientes suposiciones: 1) Dado N (t)=n, la distribución de probabilidad para la próxima llegada es exponencial. Con un parámetro λn (n= 1, 2, 3, …. ) 2) Dado N (t)=n, la distribución de probabilidad para la próxima muerte es exponencial. Con un parámetro μn (n= 1, 2, 3, …. ) 3) Solo un nacimiento o una muerte puede ocurrir a la vez. En la aplicación de problemas λn representa la tasa media de llegadas y μn tasa media de salidas.
Existen una gran variedad de modelos para los sistemas de colas, las dos características más importantes serán: a) Los tiempos de llegada. b) Los tiempos de servicio. En los sistemas de colas reales no es posible determinar con exactitud estos dos tiempos, es decir no son determinísticos, los más comunes son los modelos probabilísticos, donde se dan un promedio de estos tiempos, por lo tanto tenemos que usar una distribución de probabilidad que se ajuste lo más cercano a la realidad.
Para calcular la probabilidad de cuál será el tiempo entre llegadas se utiliza la distribución exponencial, esta distribución tiene una función de densidad de probabilidad: (densidad de probabilidad continua) Donde: T es el tiempo entre los eventos (tiempo de llegadas o tiempo de servicio) α es la tasa media que ocurra una llegada o servicio. Si se grafica esta distribución de probabilidad nos da lo siguiente:
La media de esta función esta dado por: La varianza de esta función es:
Aquí se puede observar las siguientes propiedades de esta distribución: 1) La probabilidad de que ocurra un evento siempre es positiva pero menor que 1 2) f. T(t) es una función decreciente respecto a t, es decir es más probable que el valor de T este cercano a la media. 3) La distribución de probabilidad del tiempo para que ocurra un evento, no depende del tiempo en que ocurrió el evento anterior, es decir es independiente.
Cálculos en los modelos de colas Pn = probabilidad que en el estado estable haya n clientes en el sistema Ls = número de clientes que espera halla en el sistema Lq = número de clientes que espera halla en la línea de espera. Ws = Tiempo de espera en el sistema (línea mas servicio)
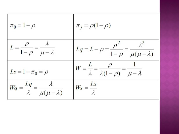
Wq = Tiempo de espera en la línea de espera. (M/M/S) S=1 Y S>1 (M/M/S) VARIACION DE COLA FINITA S=1 Y S>1(COLA FINITA) (M/M/S) VARIACION DE FUENTE DE ENTRADA FINITA S=1 Y S>1 REPARACION DE MAQUINAS (M/M/1)(GD/∞/∞), (M/M/C)(GD/∞/∞) (M/M/1)(GD/N/∞), (M/M/C)(GD/N/∞) VARIACION DE COLA FINITA (COLA FINITA) (M/M/R)(GD/K/K) MODELO DE SERV A MAQ. ORIGEN FINITO (M/M/∞)(GD/∞/∞) MODELO DE AUTOSERVICIO. FORMULARIO DE ACUERDO AL MODELO:
En estos modelos utilizaremos las siguientes literales: λ = Tasa de llegadas por unidad de tiempo. μ = Tasa de servicio por unidad de tiempo. ρ = Intensidad de tráfico del sistema. π0 = Probabilidad que sistema este ocioso. πj = Probabilidad que haya j clientes en el sistema L = Cantidad de personas en el sistema. Lq = Cantidad de personas en la cola. Ls = Cantidad de personas en servicio. W = Tiempo promedio que un cliente pasa en el Sistema. Wq = Tiempo promedio que un cliente pasa en la cola. Ws = Tiempo promedio que un cliente pasa en el servidor.
En este modelo las llegadas son de forma exponencial, el tiempo de servicio también es exponencial, solo hay un servidor, el número de clientes que se pueden formar en la cola es infinito, y el tamaño de la población también es infinito. Si ρ > 1 no existe estado estable.
En este modelo las llegadas son de forma exponencial, el tiempo de servicio también es exponencial, existen S números de servidores que dan los mismos servicios, el número de clientes que se pueden formar en una sola cola es infinito, y el tamaño de la población también es infinito.