CASE 1 Penicillin gram Some gram Neisseria Treponema










































































- Slides: 74
CASE 1
Penicillin gram+ Some gram- (Neisseria) Treponema pallidum (ωχρό τρεπόνημα) Beta-lactams: Penicillins, cephalosporins, monobactams, carbapenems, b-lactamase inhibitors.
Penicillins • Pneumococcus, enterococcus, N. meningitidis, syphilis, listeria, leptospirosis, αναερόβια στόματος • Penicillin G, penicillin V (p. o. ), procaine penicillin, benzathine penicillin. • Benzathine penicillin (Penadur): μακράς δράσης (κάθε 2 -4 εβδομάδες) σε σύφιλη, λοιμώδη ενδοκαρδίτιδα, πρόληψη υποτροπής οξέος ρευματικού πυρετού • Συνεργική δράση με τις αμινογλυκοσίδες • Penicillin V (Ospen)
Tazobactam Sulbactam
CASE 1 (cont)
VRE, VISA, VRSA
Τα ελάχιστα επίπεδα πρέπει να είναι τουλάχιστον 10 mg/L και τα μέγιστα 30 mg/L. - Clostridium difficile - MRSA: Methicillin Resistant Staphylococcus Aureus
Penicillinase
Vancomycin Methicillin/Oxacillin (MSSA) Penicillin MRSA Penicillinase
Teicoplanin, Linezolid, Daptomycine, Tigecycline Vancomycin Methicillin/Oxacillin (MSSA) Penicillin VRSA, VISA, VRE MRSA Penicillinase
CASE 2 Amoxicillin/Clavulanate για 7 ημέρες
MACROLIDE SPECTRUM -erythromycin-sensitive S. pneumoniae -Haemophilus spp, Moraxella catarrhalis Atypical pneumonia pathogens -Legionella pneumophila -Chlamydia pneumoniae -Mycoplasma pneumoniae Gram-negative bacteria -Escherichia coli -Salmonella spp -Yersinia enterocolitica -Shigella spp -Campylobacter jejuni -Vibrio cholerae -Neisseria gonorrhoeae -Helicobacter pylori.
CASE 2 (modified) Πρόσφατη λοίμωξη υπό Amoxicillin/clavulanate πριν 2 μήνες
CASE 3
Πολυανθεκτικότητα - Μultidrug resistance (MDR) Πανανθεκτικότητα - Panresistance Enterococcus faecium Staphylococcus aureus (MRSA) Klebsiella pneumoniae Acinetobacter baumannii Pseudomonas aeruginosa Enterobacteriaceae (Salmonella, Escherichia coli, Yersinia, Shigella)
Tygecycline, Colistin, Aztreonam Carbapenemes: Meropenem, Imipenem, ertapenem Cephalosporins III: Ceftriaxone, Ceftazidime, Cefotaxime Aminopenicillins, cephalosporins Carbapenemase (KPC) Extended Spectrum Beta Lactamases (ESBL) Β-lactamase
Αντιψευδομοναδικά • Aminoglycosides (gentamicin, amikacin, tobramycin) • Quinolones (ciprofloxacin, levofloxacin, moxifloxacin) • Cephalosporins (ceftazidime, cefepime, αλλά όχι cefuroxime, ceftriaxone, cefotaxime) • Antipseudomonal penicillins: carboxypenicillins (piperacillin, ticarcillin) • Carbapenems (meropenem, imipenem, αλλά όχι ertapenem) • Polymyxins (colistin) • Monobactams (aztreonam)
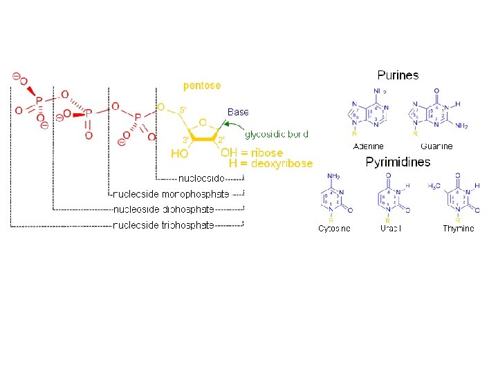
NUCLEOSIDE/NUCLEOTIDE ANALOGUES
Nucleoside analog reverse-transcriptase inhibitors Zidovudine Didanosine Zalcitabine Stavudine Lamivudine (Zeffix) (HBV) Abacavir Emtricitabine Entecavir (Baraclude) Apricitabine Acyclovir / Valacyclovir / famcyclovir * (δραστικότητα έναντι HSV 1, HSV 2, VZV) Nucleotide analog reverse-transcriptase inhibitors Tenofovir (Viread) Adefovir (Hepsera) Non-nucleoside reverse-transcriptase inhibitors Efavirenz Nevirapine Delavirdine Etravirine Rilpivirine
Integrase inhibitor: Raltegravir
Protease inhibitors
Protease inhibitors HIV/AIDS: Saquinavir, rotnavir, indinavir, nelfinavir, etc. ) Hepatitis C: Boceprevir Hepatitis C: Telaprevir
-Interferon α HBV, HCV - +polyethyleneglycol (PEG) peginterferon
Polyenes Azoles Echinocandines Amphotericin B Nystatin Imidazoles Bifonazole Butoconazole Clotrimazole Econazole Fenticonazole Isoconazole Ketoconazole Miconazole Omoconazole Oxiconazole Sertaconazole Sulconazole Tioconazole Triazoles Albaconazole Fluconazole Isavuconazole Itraconazole Posaconazole Ravuconazole Terconazole Voriconazole Thiazoles Abafungin Anidulafungin Caspofungin Micafungin
Azoles Imidazoles Bifonazole Butoconazole Clotrimazole Econazole Fenticonazole Isoconazole Ketoconazole Miconazole Omoconazole Oxiconazole Sertaconazole Sulconazole Tioconazole Triazoles Albaconazole Fluconazole (Fungustatin) Isavuconazole Itraconazole Posaconazole Ravuconazole Terconazole Voriconazole (V-fend) Thiazoles Abafungin Γενικά η βιοδιαθεσιμότητά τους δεν είναι ιδιαίτερα πρoβλέψιμη και απαιτείται παρακολούθηση των θεραπευτικών επιπέδων