Capitolo 12 Forze intermolecolari solidi liquidi e transizioni

























- Slides: 25
Capitolo 12 Forze intermolecolari: solidi, liquidi e transizioni di fasi Parte A Chimica - Martin S. Silberberg Copyright © 2004 – The Mc. Graw-Hill Companies srl
Segue… Chimica - Martin S. Silberberg Copyright © 2004 – The Mc. Graw-Hill Companies srl
Chimica - Martin S. Silberberg Copyright © 2004 – The Mc. Graw-Hill Companies srl
Chimica - Martin S. Silberberg Copyright © 2004 – The Mc. Graw-Hill Companies srl
Figura 12. 1 - Calori di vaporizzazione (evaporazione) e di fusione per alcune sostanze comuni Chimica - Martin S. Silberberg Copyright © 2004 – The Mc. Graw-Hill Companies srl
Figura 12. 2 - Transizioni di fase e variazioni di entalpia associate Chimica - Martin S. Silberberg Copyright © 2004 – The Mc. Graw-Hill Companies srl
Figura 12. 3 - Una curva di raffreddamento per la conversione di acqua gassosa in ghiaccio Chimica - Martin S. Silberberg Copyright © 2004 – The Mc. Graw-Hill Companies srl
Figura 12. 4 – Equilibrio liquido-gas Chimica - Martin S. Silberberg Copyright © 2004 – The Mc. Graw-Hill Companies srl
Figura 12. 5 - Effetto della temperatura sulla distribuzione delle velocità molecolari in un liquido Chimica - Martin S. Silberberg Copyright © 2004 – The Mc. Graw-Hill Companies srl
Figura 12. 6 Pressione di vapore in funzione della temperatura e delle forze intermolecolari Chimica - Martin S. Silberberg Copyright © 2004 – The Mc. Graw-Hill Companies srl
Figura 12. 7 - Diagramma rettilineo della relazione tra pressione di vapore e temperatura Chimica - Martin S. Silberberg Copyright © 2004 – The Mc. Graw-Hill Companies srl
Figura 12. 9 - Diagrammi di fase per CO 2 e H 2 O Chimica - Martin S. Silberberg Copyright © 2004 – The Mc. Graw-Hill Companies srl
Figura 12. 10 - Raggio covalente e raggio di van der Waals Chimica - Martin S. Silberberg Copyright © 2004 – The Mc. Graw-Hill Companies srl
Chimica - Martin S. Silberberg Figura 12. 11 Tendenze periodiche nei raggi covalenti e nei raggi di van der Waals (in Copyright © 2004 – The Mc. Graw-Hill Companies srl
Figura 12. 12 - Orientamento di molecole polari dovuto a forze dipolo Chimica - Martin S. Silberberg Copyright © 2004 – The Mc. Graw-Hill Companies srl
Figura 12. 13 - Momento di dipolo e temperatura di ebollizione Chimica - Martin S. Silberberg Copyright © 2004 – The Mc. Graw-Hill Companies srl
Figura 12. 14 Legame idrogeno e temperatur a di ebollizione Chimica - Martin S. Silberberg Copyright © 2004 – The Mc. Graw-Hill Companies srl
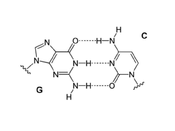
Figura 12. 15 Legami covalenti e legami idrogeno nella struttura dell’acido deossiribonuclei co (DNA) Chimica - Martin S. Silberberg Copyright © 2004 – The Mc. Graw-Hill Companies srl
Figura 12. 16 - Forze di dispersione tra molecole apolari Chimica - Martin S. Silberberg Copyright © 2004 – The Mc. Graw-Hill Companies srl
Figura 12. 17 Massa molare e temperatura di ebollizione Chimica - Martin S. Silberberg Copyright © 2004 – The Mc. Graw-Hill Companies srl