CAPACITACIN PARA LOS ESTADOS MIEMBROS DE LA CURSO
CAPACITACIÓN PARA LOS ESTADOS MIEMBROS DE LA CURSO CAPEV 2011 CURSO DE CAPACITACIÓN VIRTUAL: PERSPECTIVA DE LA ENERGÍA SOLAR TÉRMICA PARA EL CALENTAMIENTO DE AGUA EN AMÉRICA LATINA Y EL CARIBE Dr. Oscar Alfredo Jaramillo Salgado Centro de Investigación en Energía. Universidad Nacional Autónoma de México ojs@cie. unam. mx 5 de abril 2011
Relación entre el uso del energía y su impacto ambiental y los sistemas de energías renovables. El recuso solar.
Fuentes de energía Para efectos prácticos la energía de todos los suministros pueden dividirse en dos clases: Energías renovables. 'Energía obtenida de las corrientes naturales y persistentes de la energía que se producen en el entorno inmediato'. Un ejemplo evidente es la energía solar, donde 'repetitivas' se refiere al período mayor de 24 horas. Tenga en cuenta que la energía ya está pasando por el medio ambiente como una corriente o flujo, independientemente de que exista un dispositivo para interceptar y aprovechar este energía. También puede ser llamada energía verde o energía sostenible. Energía no renovable. 'Energía obtenida de fuentes estáticas de energía que permanecen subterráneas antes de la interacción humana'. Algunos ejemplos son combustibles nucleares y combustibles fósiles de carbón, petróleo y gas natural. Tenga en cuenta que la energía es inicialmente un potencial energético aislado, y una acción exterior es necesaria para iniciar el suministro de energía para fines prácticos. Para evitar el uso de la palabra desgarbada no renovable, dichos suministros de energía se denominan suministros finitos o energía cafe.
Fuentes de Energía en el mundo
Proyecciones Futuras de las energías Objetivo sostenible en el crecimiento de la demanda energética primaria mundial geotermia otras renovables Solar térmica (solo calor) Potencia solar (FV + Solar térmico) Viento Biomasa avanzada Biomasa tradicional Hidro electricidad Potencia nuclear Gas Carbón Petróleo Source: German Advisory Council on Global Change, 2003, www. wbgu. de Año
Energía Solar, un recurso inagotable La energía solar recibida cada 10 días sobre la Tierra equivale a TODAS las reservas conocidas de petróleo, carbón y gas. El 70% de la población del planeta vive dentro de la denominada “Franja Solar”. 40 N 35 S
Energía Termosolar en operación: finales 2007 Totales 146. 8 GWt 209 millones de m 2 Potencia GWt • • • Captadores planos c/cubierta: 46. 39 Tubos evacuados: 74. 11 Sub. Total 120. 50 Sin cubierta de plástico: 25. 10 Captadores para aire: 1. 20 Total 146. 80 Superficie, 106 m 2 66. 30 105. 90 172. 20 35. 80 1. 70 209. 70
Captadores solares planos y evacuados Liderazgo mundial: 2007 (GWt) • • • China 79. 9 Turquía 7. 1 Alemania 6. 1 Japón 4. 9 Israel 3. 5 China en el período de 2006 al 2007 aumento su mercado en 2% • • • Brasil 2. 51 Grecia 2. 50 Austria 2. 1 Estados Unidos 1. 7 India 1. 5
Capacidad total de captadores solares para agua en operación en los 10 países líderes al final de 2007
Cálculo de la producción y correspondiente equivalente de petróleo, así como la reducción de emisiones de CO 2 para todos los sistemas solares (agua caliente, calentamiento de espacios y de piscinas) al final de 2007 País Área total de captador, m 2 Capacidad total MWt Número de sistemas calculado Producción del captador GWt/año Producción del captador, TJ/año Ahorro de energía y equivalente de petroleo (t/año) Reducción de CO 2 Fuente: IEA-SHC, 2009. Solar Heat Worldwide. Markets and Contribution to the Energy Supply 2007 -
Cálculo de la producción y correspondiente equivalente de petróleo, así como la reducción de emisiones de C 02 para todos los sistemas solares( agua caliente, calentamiento de espacios y de piscinas) al final de 2007 País Área total de captador, m 2 Capacidad total MWt Número de sistemas calculado Producción del captador GWt/año Producción del captador, TJ/año Ahorro de energía y equivalente de petroleo (t/año) Reducción de CO 2 Fuente: IEA-SHC, 2009. Solar Heat Worldwide. Markets and Contribution to the Energy Supply 2007 -
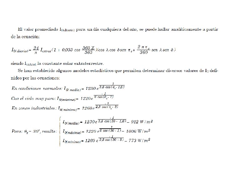
Tierra recibe en el exterior de su atmósfera un total de 174, 423 x 109 k. Wh , o sea 1, 353 k. W/m 2, que se conoce como constante solar y cuyo valor fluctúa en un ± 3% debido a la variación periódica de la distancia entre la Tierra y el Sol. La energía solar recibida cada 10 días sobre la Tierra equivale a todas las reservas conocidas de petróleo, carbón y gas.
Movimiento aparente del Sol La Tierra, en su movimiento alrededor del Sol, describe una órbita elíptica, de escasa excentricidad, de forma que la distancia entre el Sol y la Tierra varía aproximadamente un ± 3%. La distancia media Tierra-Sol es: d = 149 millones de Km. En el solsticio de verano, la Tierra está alejada una distancia del Sol máxima: dmáx = 1, 017 d. En el solsticio de invierno, la Tierra se halla a la distancia mínima del Sol: dmin = 0, 983 d
Dominio espectral m Potencia W m-2 % Ultravioleta (0. 115 – o. 405) 128. 70 9. 41 Visible ( 0. 405 – 0. 740) 564. 70 41. 30 Infrarrojo ( 0. 74 – 2. 0 ) 582. 47 42. 60 ( 2. 0 – 5. 0 ) 84. 49 6. 18 ( 5. 0 – 1000 ) 6. 64 0. 48 1367. 00 100 Total
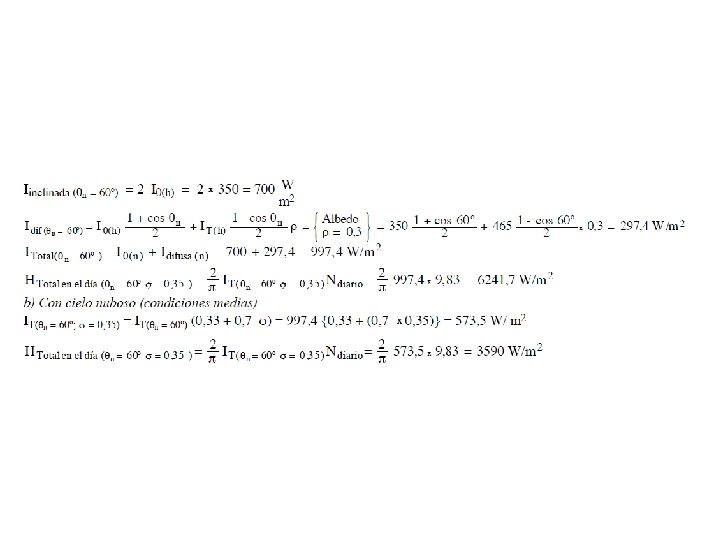
La radiación solar que llega a la superficie de la tierra tiene una potencia de G < 1000 W/m 2
Albedo solar Regiones oceánicas con poca nubosidad tienen albedos bajos, mientras que los desiertos tienen albedos con valores del orden de 30% a 40%. El albedo del suelo en general está comprendido entre el 10% y el 30%, el barro húmedo baja su valor hasta un 5 %, en el caso de arena seca eleva su valor a un 40%. El albedo de los sembrados y bosques está entre 10 y 25% y la nieve reciente alcanza un valor de 80 a 90%. SUPERFICIE ALBEDO % Nieve fresca 80– 85 Arena 20 -30 Pasto 20 -25 Bosque 5 -10 Suelo seco 15 -25 Agua (sol cerca del horizonte) 50 -80 Agua (sol cerca del cenit) 3 -5 Nube gruesa 70 -80 Nube delgada 25 -30 Tierra y atmósfera global 30
Sensores de radiación • Los sensores de radiación son dispositivos cuyos materiales de construcción sufren un cambio en la temperatura o en alguna propiedad eléctrica , cuando incide en ellos un flujo radiativo característico, clasificándose en sensores de radaiación de tipo térmico y en fotodetectores. • Sensores térmicos. La absorción de la radiación solar provoca una elevación directa de la temperatura en los materiales y esto puede provocar también un cambio en las propiedades eléctricas debido al cambio en la temperatura. Se clasifican en calorimétricos, termopares y termopilas, bolómetros y piroeléctricos. • Sensores calorimétricos. Existen varios tipos, en los cuales se relaciona la cantidad de energía radiante incidente sobre la superficie del sensor con la elevación de la temperatura sea en un flujo de agua, en un disco metálico o en un gas encerrado, observándose en este último el cambio en la presión interior. En general su construcción es simple, pero la respuesta es lenta.
• • Sensores termopares o termopilas. La radiación incidente provoca una diferencia en temperaturas entre una junta de dos metales diferentes y una junta de referencia, produce una fuerza electromotriz a través de la junta bimetálica. La cantidad de fuerza electromotriz producida depende del tipo de material, siendo pequeña para un solo termopar, lo cual dificulta su medición exacta. Lo anterior se puede solucionar si se aumenta el voltaje, por medio de conectar un número determinado de termopares en serie, produciendo una termopila, amplificando con esto la señal eléctrica producida. Bolómetros. La radiación incidente puede provocar un cambio en la resistencia eléctrica de un metal o de un semiconductor debido al incremento en la temperatura. Normalmente se cuenta con un circuito eléctrico formado por dos resistencias A y B, las cuales son los brazos de un puente de Wheanstone. Si la resistencia A se expone a la radiación y la resistencia B se sombrea, la diferencia relativa en temperatura entre ellas, provoca un desbalance en el puente. Por medio de un calibración este desbalance puede interpretarse en términos de flujo de energía radiante incidente sobre el elemento expuesto. Los diferentes tipos de bolómetros dependen del material de la resistencia eléctrica el cual puede ser un metal, un semiconductor o un superconductor. El cambio en la resistencia eléctrica con la temperatura es mas grande para materiales semiconductores que para los metales.
• Sensores piroeléctricos. La radiación absorbida por un cristal piroeléctrico produce calor, lo que altera los espaciamientos en el cristal, causando un cambio en la polaridad eléctrica espontánea del cristal. Si se conectan electrodos en la superficie del cristal a través de un circuito externo, la corriente generada es proporcional a la rapidez de cambio de la temperatura en el cristal. En este tipo de sensor es necesaria la modulación de la radiación incidente para poder operar el sistema. Se tiene una extremada alta sensibilidad espectral ( 0. 2 a 1000 m) y una rápida respuesta ( 0. 5 a 5 seg. ). • Sensores fotodetectores. Este principio de medición esta basado en la interacción fotón-materia. Existen tres tipos principales: los fotovoltaicos, los fotoconductivos y los fotoeléctricos.
• Sensores fotovoltaicos. Son los fotodetectores mas simples, los cuales producen voltajes medibles sin el suministro de potencia externa, cuando se iluminan por medio de radiación visible o cercano infrarrojo. Normalmente se utilizan materiales semiconductores como el silicio monocristalino, cristalino y amorfo, arsenuro de galio e indio, sulfuro de cadmio, etc. • Sensores fotoconductivos. Los sensores fotoconductivos son por lo general fotoceldas con una respuesta espectral correspondiente al infrarrojo y en las cuales la conductancia eléctrica del material varía con el flujo de la radiación incidente. En este caso se requiere de un enfriamiento y se tiene una cierta complejidad en los sistemas de medición.
Sensores de radiación • Sensores fotoeléctricos. En el caso de los sensores fotovoltaicos y fotoconductivos, los electrones se deslocalizan de las moléculas por medio de los impactos con fotones, permaneciendo dentro del material y produciendo un cambio en el voltaje o en la conductancia del material. En el caso del principio fotoeléctrico, los electrones son extraídos del material. En este efecto, los electrones están en el espacio libre y pueden colocarse en un ánodo produciendo un flujo de corriente a través del detector o subeyectando a altas intensidades de cambio magnético y ser acelerados a una segunda etapa para eyectar mas electrones. Estos segundos electrones pueden acelerar a un tercer nivel. Se puede contar con mas de 14 etapas, obteniéndose una cascada de electrones por cada fotón incidente ( 106 ), obteniéndose altas sensibilidades con un fotomultiplicador o foto tubo multiplicador de electrones con un factor de multiplicación de 106. Estos detectores sólo se aplican al dominio ultravioleta, visible y el muy cercano infrarrojo. A parte de la sensibilidad espectral y eficiencia cuántica, los tubos fotomultiplicadores varían en tamaño, orientación del cátodo, factor de amplificación y en el número de etapas.
• Instrumentos de medición de la radiación solar y terrestre Pirheliómetro. Instrumento para medir la intensidad de la radiación solar directa a incidencia normal, con o sin seguimiento de la trayectoria solar. • Piranómetro. Instrumento para la medición de la radiación solar global recibida sobre todo el hemisferio. El piranómetro puede utilizarse también para medir la cantidad de radiación solar que llega en forma difusa sobre un superficie. Para esto se coloca una banda que permite con cierta exactitud el sombreado permanente del elemento sensor. • Pirgéometro. Instrumento para medir la radiación neta emitida por la atmósfera sobre una superficie horizontal enegrecida viendo hacia arriba a temperatura ambiente. • Pirradiómetro neto. Instrumento para la medición del flujo de radiación total neto hacia arriba y hacia abajo ( radiación solar, radiación terrestre y radiación atmosférica) sobre una superficie horizontal. También se le conoce con el nombre de balanza pirradiométrica.
• Albedómetro. - Para medir la radiación difusa, o radiación del cielo, se adapta al piranómetro una pantalla destinada a ocultar la radiación solar directa, de forma que no se esconda una parte importante del cielo. Se puede utilizar un disco móvil dotado de un movimiento ecuatorial, en el que la sombra se proyecta permanentemente sobre la superficie sensible del piranómetro, o también se puede adaptar una banda parasol que se desplaza manualmente a lo largo del año. Se necesita una corrección para tener en cuenta la radiación difusa interceptada. • Pirradiómetro diferencial o bilanmetro. - Estos aparatos, muy delicados, miden la diferencia entre las radiaciones dirigidas hacia el suelo y hacia el espacio y permiten establecer dos balances radiativos. Poseen una doble superficie sensible, una vuelta hacia arriba y la otra hacia abajo. Están destinados a medir radiaciones de longitud de onda comprendidas entre 0, 3 μm y 100 μm, mediante detectores térmicos (termopilas de doble cara) protegidos por una cúpula de polietileno especial, transparente hasta 15 μm y barridos por una corriente de nitrógeno para evitar las condensaciones que falsearían las medidas a causa de la absorción de radiación infrarroja por el agua
Sensores de radiación
Radiación solar global y difusa: piranómetros El piranómetro es el instrumento más usado en la medición de la radiación solar semiesférica global y difusa sobre una superficie horizontal en un ángulo de 180 ° tiene instalado una cúpula de vidrio óptico transparente que protege el detector, permite la transmisión isotropica del componente solar y sirve para filtrar la radiación entre las longitudes de onda que oscilan aproximadamente entre 280 y 2. 800 nm. Un piranómetro acondicionado con una banda o disco parasol, que suprime la radiación directa, puede medir la radiación difusa.
Clasificación y características de los piranómetros Características Patrón Secundario 1ª Clase 2ª Clase Sensibilidad (W/m-2) 1 5 10 Estabilidad (% año) 0. 8 1. 8 3 Temperatura (%) 2 4 8 Selectividad (%) 2 5 10 Linearidad (%) 0. 5 1 3 Constante de tiempo. < 15 s < 30 s < 60 s Respuesta coseno (%) 0. 5 2 5
- Slides: 106