call option put option 31 1000041 NT 31000041

  • Slides: 30
Download presentation

外匯選擇權 買入選擇權 (call option) 賣出選擇權 (put option) 出口商: 3/1 接獲香蕉訂單一筆 $10000,4/1 出口並收款, 若該批香蕉成本 NT$

外匯選擇權 買入選擇權 (call option) 賣出選擇權 (put option) 出口商: 3/1 接獲香蕉訂單一筆 $10000,4/1 出口並收款, 若該批香蕉成本 NT$ 310000,4/1 可能匯率為 30. 5 或 31. 5 3/2 買入 put option, c = 31. 2 ,$10000 4/1 e = 30. 5 ⇒ put option ⇒ NT$ 312000 $10000 ⇒ NT$ 305000 e = 31. 5 ⇒ put option ⇒ NTS 312000 $10000 ⇒ NT$ 315000

進口商: 3/1 向美國訂購名牌服飾一套售價 $ 10000, 4/1 貨到並付款 3/2 買入 call option, c = 31.

進口商: 3/1 向美國訂購名牌服飾一套售價 $ 10000, 4/1 貨到並付款 3/2 買入 call option, c = 31. 2 ,$10000 4/1 e = 30. 5 ⇒ call option ⇒ NT$ 312000 $10000 ⇒ NT$ 305000 e = 31. 5 ⇒ call option ⇒ NTS 312000 $10000 ⇒ NT$ 315000

投資: 1/1 購買外國基金一筆 $ 20000, 7/1到期贖回獲得 $21000 3/2 買入 put option, c = 31.

投資: 1/1 購買外國基金一筆 $ 20000, 7/1到期贖回獲得 $21000 3/2 買入 put option, c = 31. 2 ,$21000 4/1 e = 30. 5 ⇒ put option ⇒ NT$ 655200 $21000 ⇒ NT$ 640500 e = 31. 5 ⇒ put option ⇒ NT$ 655200 $21000 ⇒ NT$ 661500

$ 100 NT$/$ 日 NT$ 30300 S 台 $ 30300/30. 2 NT$/$ S 30.

$ 100 NT$/$ 日 NT$ 30300 S 台 $ 30300/30. 2 NT$/$ S 30. 3 30. 2 D 美元

NT$ 100 台 $10/3 NT$ 100 日 Yen 340 Yen 1000/3 美 美 Yen/NT$

NT$ 100 台 $10/3 NT$ 100 日 Yen 340 Yen 1000/3 美 美 Yen/NT$ $3. 4 台 日 NT$ 98. 039 NT$ 102 $/Yen 日 美 S 3. 4 S 0. 01 D D NT$ Yen

NT$ 100 日 Yen 340 美 NT$/$ 台 S 30 D $ $3. 4

NT$ 100 日 Yen 340 美 NT$/$ 台 S 30 D $ $3. 4 台 NT$ 102

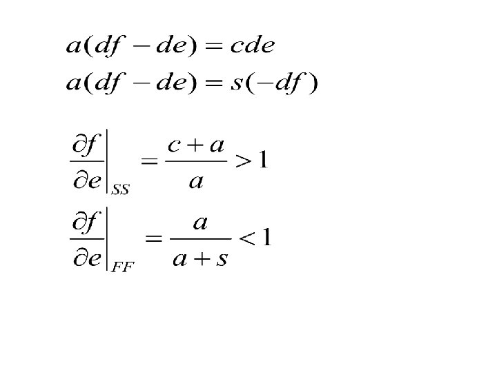
Uncovered interest rate parity (未拋補利率平價理論) Covered interest rate parity (拋補利率平價理論) f : 遠期匯率

Uncovered interest rate parity (未拋補利率平價理論) Covered interest rate parity (拋補利率平價理論) f : 遠期匯率

f SS FF e

f SS FF e