Calculus In Infinite dimensional spaces Integral for Banach
Calculus In Infinite dimensional spaces
Integral for Banach space valued continuous maps p. 1 E: Banach space continuous map is called the integral of over [0, 1] if Hahn-Banach Theorem implies that y is uniquely determined if it exists and is denoted
Property of Integrals p. 1 (i) (ii)
Property of Integrals (iii) E, F : Banach spaces continuous Then p. 2
Fréchlet Derivative X, Y : normed vector spaces f is called Fréchlet differentible at if there is i. e such that
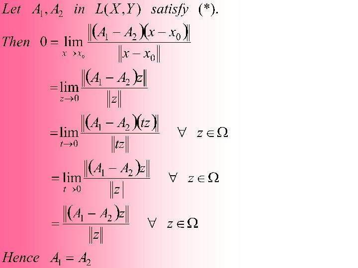
Remark If f is Fréchlet differentible at then in (*) is uniquely determined. A is denoted by is called F-differential of f at
C 1 map If f is Fréchlet differentible (F-differentible) at every point of , then f is called F-differentible on Further, is continuous from into L(X, Y) with uniform topology, then we say f is a C 1 map on Ω or
Chain Rule If and then and or is F-differentible at is F-differentible at
Example 1 If then
Example 2 Let Assume that on p. 1 be continuous. exists and continuous
Example 2 Let Define Then by p. 2
Example 3 Let X be a real Hilbert space and Define Then by
Example 4 Let X be a Banach space and be Then where we identify with T(1)
Exercise 1 Let X, Y be Banach spaces , and Suppose that Show that be open be with
Exercise 2 Let X be a Banach spaces , be continuous and let Show that g is and
VI. 1 Definition. Elementary Properties Adjoint
Lemma VI. 1 (Riesz-Lemma) Let For any fixed , apply Green’s second identity to u and then let in the domain we have
- Slides: 28