CALCOLO DELLA DENSITA DI ALCUNI SOLIDI E ALCUNI

  • Slides: 10
Download presentation
CALCOLO DELLA DENSITA’ DI ALCUNI SOLIDI E ALCUNI LIQUIDI DI ZITO GIACOMO E CONSOLI

CALCOLO DELLA DENSITA’ DI ALCUNI SOLIDI E ALCUNI LIQUIDI DI ZITO GIACOMO E CONSOLI ANDREA

OSSERVAZIONE DEL FENOMENO: PER ESEGUIRE LE MISURAZIONI ABBIAMO USATO: -UNA BILANCIA -ACQUA DEL RUBINETTO

OSSERVAZIONE DEL FENOMENO: PER ESEGUIRE LE MISURAZIONI ABBIAMO USATO: -UNA BILANCIA -ACQUA DEL RUBINETTO -DEI CILINDRI GRADUATI -OLIO -ORECCHINI D’ORO -ACETO -SASSI DI MARE -VETRO PER ESEGUIRE LE MISURAZIONI NEI SOLIDI ABBIAMO PRIMA MISURATO LA MASSA ATTRAVERSO LA BILANCIA, POI IL LORO VOLUME IMMERGENDOLI IN UN BICCHIERE GRADUATO PRECEDENTEMENTE RIEMPITO CON DELL’ACQUA. PER MISURARE LA MASSA DEI LIQUIDI ABBIAMO PRIMA MISURATO UN BICCHIERE GRADUATO VUOTO, POI GLI ABBIAMO INSERITO IL LIQUIDO DA MISURARE E ABBIAMO ESEGUITO UNA SECONDA MISURAZIONE, LA TARA CI DAVA LA MASSA DEL LIQUIDO; PER MISURARE IL VOLUME È STATO SUFFICIENTE LEGGERE IL VOLUME DEL LIQUIDO NEL BICCHIERE GRADUATO.

FORMULAZIONE DELLE IPOTESI: GIA’ IN PRINCIPIO SAPEVAMO CHE LE MISURE CHE AVREMMO OTTENUTO NON

FORMULAZIONE DELLE IPOTESI: GIA’ IN PRINCIPIO SAPEVAMO CHE LE MISURE CHE AVREMMO OTTENUTO NON SAREBBERO STATE PERFETTAMENTE UGUALI A QUELLE DEL SISTEMA INTERNAZIONALE, SIA PER LA STRUMENTAZIONE NON TROPPO PRECISA SIA PERCHE’ I MATERIALI USATI NON SONO GLI STESSI USATI DAL SISTEMA INTERNAZIONALE (ESEMPIO L’ACQUA NON ERA DISTILLATA, L’ORO NON ERA DI 24 k……. )

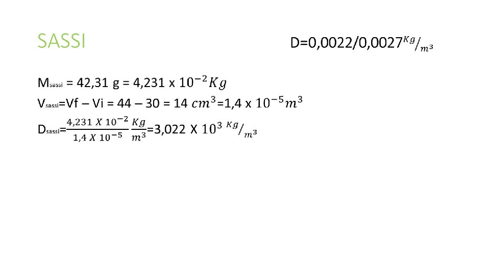
VERIFICA DELLE IPOTESI: •

VERIFICA DELLE IPOTESI: •

 • kg/m 3

• kg/m 3

FORMULAZIONE DELLA LEGGE: COME IPOTIZZATO DURANTE LA PRIMA FASE I VALORI DEGLI ELEMENTI DA

FORMULAZIONE DELLA LEGGE: COME IPOTIZZATO DURANTE LA PRIMA FASE I VALORI DEGLI ELEMENTI DA NOI MISURATI NON CORRISPONDONO A QUELLI STANDARD.