BUILDING THINKING CLASSROOMS Peter Liljedahl Judy Larsen Judy
BUILDING THINKING CLASSROOMS Peter Liljedahl + Judy Larsen
Judy Larsen Judy. Larsen@ufv. ca @Judy. Larsen 3 Peter Liljedahl liljedahl@sfu. ca @pgliljedahl www. peterliljedahl. com/presentations
PROBLEM 25
PROBLEM 25 = 12 + 13
PROBLEM 25 = 12 + 13 25 = 10 + 8 + 7
PROBLEM 25 = 12 + 13 25 = 10 + 8 + 7 25 = 10 + 5
PROBLEM 25 = 12 x 13 25 = 10 x 8 x 7 25 = 10 x 5
PROBLEM 25 = 12 x 13 = 156 25 = 10 x 8 x 7 = 560 25 = 10 x 5 = 500
PROBLEM 25 = 12 x 13 = 156 25 = 10 x 8 x 7 = 560 25 = 10 x 5 = 500 What is the biggest number you can get?
WHAT MORE DO TEACHERS NEED IN ORDER TO BE ABLE TO IMPLEMENT THE THINKING CLASSROOM FRAMEWORK? • make a list • steal from others • what do they need from YOU • circle three most important
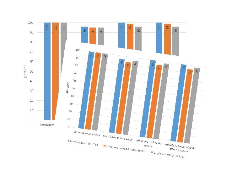
Percent UPTAKE (n=300) 100 90 80 70 60 50 40 30 20 100 intends to try 91 tries it 85 85 after 6 weeks intends to continue TEACHER UPTAKE (VNPS)
Percent UPTAKE (n=200) 100 90 80 70 60 50 40 30 20 10 0 93 91 90 88 73 intends to try tries it after 6 weeks intends to continue TEACHER UPTAKE (VRG) continues
Percent UPTAKE (n=124) 100 90 80 70 60 50 40 30 20 10 0 94 intends to try 90 90 92 tries it after 6 weeks intends to continue TEACHER UPTAKE (VNPS + VRG)
THANK YOU! Judy Larsen Judy. Larsen@ufv. ca @Judy. Larsen 3 Peter Liljedahl liljedahl@sfu. ca @pgliljedahl www. peterliljedahl. com/presentations
- Slides: 14