BUCKLING OF COLUMNS Critical Load The maximum axial
BUCKLING OF COLUMNS
Critical Load The maximum axial load that a column can support when it is on the verge of buckling.
Concept of Buckling �Consider a two-bar mechanism with pin connected �When the bars are in vertical position, the spring is unstretched with small amount of load P applied at the top �The bars with small load is in equilibrium
Ideal Column with Pin Supports �
Ideal Column with Pin Supports �
� Column will buckle about the principal axis of the cross section having the least moment of inertia (weakest axis) provided it is supported the same way about each axis
13_06
Columns Having Various Types of Supports �Euler load was derived for a column that is pin connected or free to rotate at its ends �However, columns may be supported in some other way
Critical Load
Critical Load Slenderness Ratio - r is the smallest radius of gyration of the cross section - A measure of the column’s flexibility - Buckling will occur about the axis where this ratio gives the greatest value
Effective �Effective length, Le is unsupported distance between zero-moments points �This is used for columns having other types of support
Relationship between σcr and L/r �Equations Pcr and σcr are valid only for critical stresses below the material’s yield point.
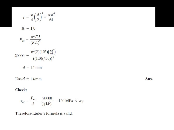
EXAMPLE 1 The A-36 steel W 200 46 member shown in Fig. 13– 8 is to be used as a pin-connected column. Determine the largest axial load it can support before it either begins to buckle or the steel yields. Copyright © 2014 Pearson Education, All Rights Reserved
EXAMPLE 1 (cont) Solutions � From Appendix B, � By inspection, buckling will occur about the y–y axis. � When fully loaded, the average compressive stress in the column is � Since this stress exceeds the yield stress, Copyright © 2014 Pearson Education, All Rights Reserved
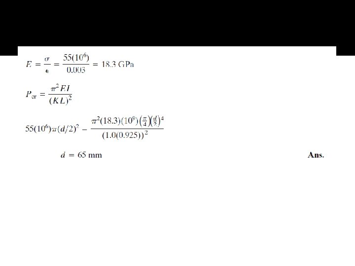
EXAMPLE 2 A W 150 24 steel column is 8 m long and is fixed at its ends as shown in Fig. 13– 11 a. Its load-carrying capacity is increased by bracing it about the y–y (weak) axis using struts that are assumed to be pin connected to its mid-height. Determine the load it can support so that the column does not buckle nor the material exceed the yield stress. Take Est = 200 GPa and σY = 410 MPa. Copyright © 2014 Pearson Education, All Rights Reserved
EXAMPLE 2 (cont) Solutions � Effective length for buckling about the x–x and y–y axis is � From the table in Appendix B, � Applying Eq. 13– 11, Copyright © 2014 Pearson Education, All Rights Reserved
EXAMPLE 2 (cont) Solutions � By comparison, buckling will occur about the y–y axis. � The average compressive stress in the column is � Since this stress is less than the yield stress, buckling will occur before the material yields. � Thus, � From Eq. 13– 12 it can be seen that buckling will always occur about the column axis having the largest slenderness ratio, since it will give a small critical stress Copyright © 2014 Pearson Education, All Rights Reserved
- Slides: 43